Modified Ammonium Polyphosphate and Its Application in Polypropylene Resins
Abstract
1. Introduction
2. Materials and Methods
2.1. Materials
2.2. Sample Preparation
- (1)
- Preparation of modified ammonium polyphosphate
- (2)
- Preparation of flame-retardant polypropylene composites
2.3. Characterization
3. Results and Discussion
3.1. Analysis of Extreme Difference Results
3.2. Effect of 3-Aminopropyltriethoxysilane on Properties of Ammonium Polyphosphate
3.2.1. Effect of 3-Aminopropyltriethoxysilane on Dispersibility of Ammonium Polyphosphate in Solvents
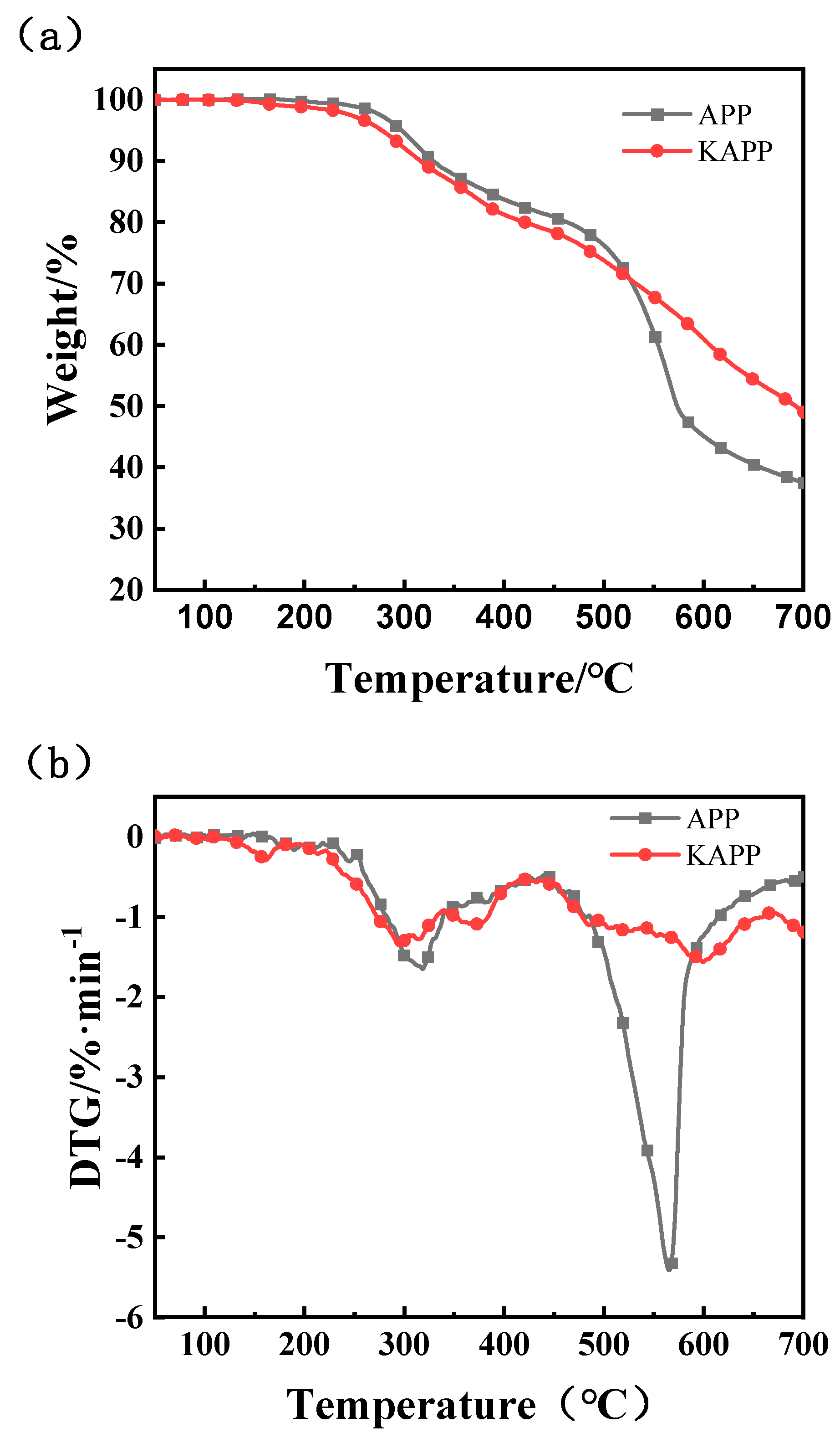
3.2.2. Effect of 3-Aminopropyltriethoxysilane on Thermal Stability of Ammonium Polyphosphate
3.2.3. Effect of 3-Aminopropyltriethoxysilane on Microscopic Morphology of Ammonium Polyphosphate
3.3. Modification Mechanism Analysish
3.3.1. Infrared Analysis
3.3.2. XRD Analysis
3.3.3. XPS Analysis
3.4. Application of 3-Aminopropyltriethoxysilane Modified Ammonium Polyphosphate in Flame Retardant PP
3.4.1. Analysis of Bending Properties of Flame Retardant PP
3.4.2. Microscopic Morphology of Flame Retardant PP
3.4.3. Thermal Stability
3.4.4. Flame Retardant Properties
4. Conclusions
Author Contributions
Funding
Institutional Review Board Statement
Informed Consent Statement
Data Availability Statement
Acknowledgments
Conflicts of Interest
References
- Zhou, K.; Jiang, S.; Wang, B.; Shi, Y.; Liu, J.; Hong, N.; Hu, Y.; Gui, Z. Combined effect of transition metal phosphide (MxPy, M = Ni, Co, and Cu) and intumescent flame retardant system on polypropylene. Polym. Adv. Technol. 2014, 25, 701–710. [Google Scholar] [CrossRef]
- Li, Q.; Jiang, P.; Wei, P. Studies on the properties of polypropylene with a new silicon-containing intumescent flame retardant. J. Polym. Sci. Part B Polym. Phys. 2005, 43, 2548–2556. [Google Scholar] [CrossRef]
- Ye, T.; Li, J. Effect of anion of polyoxometalate based organic-inorganic hybrid material on intumescent flame retardant polypropylene. Polym. Adv. Technol. 2016, 27, 1211–1219. [Google Scholar] [CrossRef]
- Huang, N.H.; Chen, Z.J.; Wang, J.Q.; Wei, P. Synergistic effects of sepiolite on intumescent flame retardant polypropylene. Express Polym. Lett. 2010, 4, 743–752. [Google Scholar] [CrossRef]
- Hassan, A.M.S.; Aly, R.M.; Alzahrani, A.M.Y.; El-Razik, M.M.A.; Shoukry, H. Improving fire resistance and energy performance of fast buildings made of hollow polypropylene blocks. J. Build. Eng. 2021, 46, 103830. [Google Scholar] [CrossRef]
- Gulrez, S.K.; Mohsin, M.A.; Shaikh, H.; Anis, A.; Pulose, A.M.; Yadav, M.K.; Qua, E.H.P.; Al-Zahrani, S. A review on electrically conductive polypropylene and polyethylene. Polym. Compos. 2013, 35, 900–914. [Google Scholar] [CrossRef]
- Patil, A.; Patel, A.; Purohit, R. An overview of Polymeric Materials for Automotive Applications. Mater. Today Proc. 2017, 4, 3807–3815. [Google Scholar] [CrossRef]
- Dai, J.; Li, B. Synthesis, thermal degradation, and flame retardance of novel triazine ring-containing macromolecules for intumescent flame retardant polypropylene. J. Appl. Polym. Sci. 2010, 116, 2157–2165. [Google Scholar] [CrossRef]
- Dittrich, B.; Wartig, K.-A.; Hofmann, D.; Mülhaupt, R.; Schartel, B. Flame retardancy through carbon nanomaterials: Carbon black, multiwall nanotubes, expanded graphite, multi-layer graphene and graphene in polypropylene. Polym. Degrad. Stab. 2013, 98, 1495–1505. [Google Scholar] [CrossRef]
- Dong, Q.; Ding, Y.; Wen, B.; Wang, F.; Dong, H.; Zhang, S.; Wang, T.; Yang, M. Improvement of thermal stability of polypropylene using DOPO-immobilized silica nanoparticles. Colloid Polym. Sci. 2012, 290, 1371–1380. [Google Scholar] [CrossRef] [PubMed]
- Lim, K.-S.; Bee, S.-T.; Sin, L.T.; Tee, T.-T.; Ratnam, C.T.; Hui, D.; Rahmat, A.R. A review of application of ammonium polyphosphate as intumescent flame retardant in thermoplastic composites. Compos. Part B Eng. 2016, 84, 155–174. [Google Scholar] [CrossRef]
- Dong, X.; Qin, R.; Nie, S.; Yang, J.; Zhang, C.; Wu, W. Fire hazard suppression of intumescent flame retardant polypropylene based on a novel Ni-containing char-forming agent. Polym. Adv. Technol. 2019, 30, 563–572. [Google Scholar] [CrossRef]
- Zhang, S.; Horrocks, A. A review of flame retardant polypropylene fibres. Prog. Polym. Sci. 2003, 28, 1517–1538. [Google Scholar] [CrossRef]
- Fang, Z.; Guo, Z.; Ma, H.; Chen, Q.; Wu, Y. Study of a halogen-free flame-retarded Polypropylene composition with balanced strength and toughness. Int. J. Mater. Prod. Technol. 2010, 37, 350. [Google Scholar] [CrossRef]
- Vahabi, H.; Paran, S.M.R.; Shabanian, M.; Dumazert, L.; Sonnier, R.; Movahedifar, E.; Zarrintaj, P.; Saeb, M.R. Triple-faced polypropylene: Fire retardant, thermally stable, and antioxidative. J. Vinyl Addit. Technol. 2019, 25, 366–376. [Google Scholar] [CrossRef]
- Yang, H.; Yu, B.; Song, P.; Maluk, C.; Wang, H. Surface-coating engineering for flame retardant flexible polyurethane foams: A critical review. Compos. Part B Eng. 2019, 176, 107185. [Google Scholar] [CrossRef]
- Peng, X.; Li, Z.; Wang, D.; Li, Z.; Liu, C.; Wang, R.; Jiang, L.; Liu, Q.; Zheng, P. A facile crosslinking strategy endows the traditional additive flame retardant with enormous flame retardancy improvement. Chem. Eng. J. 2021, 424, 130404. [Google Scholar] [CrossRef]
- Taib, M.N.A.M.; Antov, P.; Savov, V.; Fatriasari, W.; Madyaratri, E.W.; Wirawan, R.; Osvaldová, L.M.; Hua, L.S.; Ghani, M.A.A.; Al Edrus, S.S.A.O.; et al. Current progress of biopolymer-based flame retardant. Polym. Degrad. Stab. 2022, 205, 110153. [Google Scholar] [CrossRef]
- Shekarchi, M.; Farahani, E.M.; Yekrangnia, M.; Ozbakkaloglu, T. Mechanical strength of CFRP and GFRP composites filled with APP fire retardant powder exposed to elevated temperature. Fire Saf. J. 2020, 115, 103178. [Google Scholar] [CrossRef]
- Pallmann, J.; Ren, Y.; Mahltig, B.; Huo, T. Phosphorylated sodium alginate/APP/DPER intumescent flame retardant used for polypropylene. J. Appl. Polym. Sci. 2019, 136, 47794. [Google Scholar] [CrossRef]
- Lu, C.; Liu, L.; Chen, N.; Wang, X.; Yang, D.; Huang, X.-H.; Yao, D.-H. Influence of clay dispersion on flame retardancy of ABS/PA6/APP blends. Polym. Degrad. Stab. 2015, 114, 16–29. [Google Scholar] [CrossRef]
- Zhou, J.; Yang, L.; Wang, X.; Fu, Q.; Sun, Q.; Zhang, Z. Microencapsulation of APP-I and influence of microencapsulated APP-I on microstructure and flame retardancy of PP/APP-I/PER composites. J. Appl. Polym. Sci. 2013, 129, 36–46. [Google Scholar] [CrossRef]
- Zhang, J.; Wang, H.; Sun, W.; Zhang, Z.; Li, H.; Zhang, S.; Sun, J.; Gu, X. Surface modification on ammonium polyphosphate and its enhanced flame retardancy in thermoplastic polyurethane. Polym. Adv. Technol. 2021, 32, 2879–2886. [Google Scholar] [CrossRef]
- Yang, C.; Shao, S.; He, J.; Hu, Q.; Chen, Y. Rigid Polyurethane Foams Containing Modified Ammonium Polyphosphate Having Outstanding Charring Ability and Increased Flame Retardancy. Front. Mater. 2021, 8, 249. [Google Scholar] [CrossRef]
- Chen, Y.; Li, L.; Wang, W.; Qian, L. Preparation and characterization of surface-modified ammonium polyphosphate and its effect on the flame retardancy of rigid polyurethane foam. J. Appl. Polym. Sci. 2017, 134, 45369. [Google Scholar] [CrossRef]
- Shen, M.-Y.; Chen, W.-J.; Kuan, C.-F.; Kuan, H.-C.; Yang, J.-M.; Chiang, C.-L. Preparation, characterization of microencapsulated ammonium polyphosphate and its flame retardancy in polyurethane composites. Mater. Chem. Phys. 2016, 173, 205–212. [Google Scholar] [CrossRef]
- Wu, K.; Wang, Z.; Hu, Y. Microencapsulated ammonium polyphosphate with urea-melamine-formaldehyde shell: Preparation, characterization, and its flame retardance in polypropylene. Polym. Adv. Technol. 2008, 19, 1118–1125. [Google Scholar] [CrossRef]
- Zhu, H.; Xu, S. Preparation of Flame-Retardant Rigid Polyurethane Foams by Combining Modified Melamine–Formaldehyde Resin and Phosphorus Flame Retardants. ACS Omega 2020, 5, 9658–9667. [Google Scholar] [CrossRef]
- Katiyar, S.S.; Kushwah, V.; Dora, C.P.; Patil, R.Y.; Jain, S. Design and Toxicity Evaluation of Novel Fatty Acid-Amino Acid-Based Biocompatible Surfactants. AAPS PharmSciTech 2019, 20, 186. [Google Scholar] [CrossRef]
- Sarkar, N. Virtual Issue on Surfactants. J. Phys. Chem. B 2021, 125, 9917–9920. [Google Scholar] [CrossRef]
- Wang, T.; Yang, J.; Yan, J.; Xu, G.; Li, Z. Preparation of modified ammonium polyphosphate and its application in flame retardant air filter paper. Polym. Bull. 2021, 79, 3085–3098. [Google Scholar] [CrossRef]
- Wang, C.; Wang, Z.; Li, J. Synergistic effects of dual imidazolium polyoxometalates on intumescent flame retardant polypropylene. J. Appl. Polym. Sci. 2017, 134, 45491. [Google Scholar] [CrossRef]













| Product Name | Manufacturer | Remarks |
|---|---|---|
| Ammonium polyphosphate | China, Shandong Yusuo Chemical Technology Co. | Average degree of polymerisation (n) of 30–50, industrial grad |
| KH-550 | China, Shandong Yusuo Chemical Technology Co. | Analysis pure |
| KH-560 | China, Shandong Yusuo Chemical Technology Co. | Analysis pure |
| KH-570 | China, Shandong Yusuo Chemical Technology Co. | Analysis pure |
| Liquid paraffin | China, Sinopharm Group Chemical Actual Co. | Analysis pure |
| Polypropylene | China, Maoming Shihua Dongcheng Chemical Co. | Density 0.901 g/cm3; melt index 4 g/10 min, industrial grade |
| Antioxidant | China, Dongguan Dinghai Plastic Chemical Co. | B225, industrial grad |
| Maleic anhydride grafted polypropylene | China, Dongguan Dinghai Plastic Chemical Co. | grafting rate 0.6–0.8%, industrial grad |
| Internal and external compound lubricant | China, Dongguan Dinghai Plastic Chemical Co. | industrial grad |
| Distilled water | - | Laboratory homemade |
| Level | A | B | C | D |
|---|---|---|---|---|
| Coupling Agent Types | Amount Used (%) | Reaction Temperature (°C) | Reaction Time (h) | |
| 1 | KH-550 | 3 | 50 | 1 |
| 2 | KH-560 | 5 | 60 | 2 |
| 3 | KH-570 | 10 | 70 | 3 |
| Samples | Mass Fraction % | |||
|---|---|---|---|---|
| APP | KAPP | PP | ||
| PP | - | - | 100 | |
| 10% APP/PP | 10 | - | 90 | |
| 20% APP/PP | 20 | - | 80 | |
| 30% APP/PP | 30 | - | 70 | |
| 10% APP/PP | - | 10 | 90 | |
| 20% KAPP/PP | - | 20 | 80 | |
| 30% KAPP/PP | - | 30 | 70 | |
| No. | Factors | Solubility g/100 mL | Δ/% | |||
|---|---|---|---|---|---|---|
| A Coupling Agent Type | B Coupling Agent Dosage/% | C Reaction Temperature/°C | D Reaction Time /h | |||
| 1 | KH-550 | 3 | 50 | 1 | 2.4274 | 33.8 |
| 2 | KH-550 | 5 | 70 | 2 | 1.4602 | 60.2 |
| 3 | KH-550 | 10 | 60 | 3 | 1.1204 | 69.4 |
| 4 | KH-560 | 3 | 70 | 3 | 2.0074 | 45.2 |
| 5 | KH-560 | 5 | 60 | 1 | 1.7274 | 52.9 |
| 6 | KH-560 | 10 | 50 | 2 | 1.2904 | 65 |
| 7 | KH-570 | 3 | 60 | 2 | 3.174 | 13.4 |
| 8 | KH-570 | 5 | 50 | 3 | 3.4454 | 6 |
| 9 | KH-570 | 10 | 70 | 1 | 2.6554 | 27.6 |
| K1 | 1.67 | 2.54 | 2.39 | 2.27 | ||
| K2 | 1.68 | 2.21 | 2.01 | 1.97 | ||
| K3 | 3.09 | 1.69 | 2.04 | 2.19 | ||
| R | 1.42 | 0.85 | 0.38 | 0.3 | ||
| Order of priority of factors | Type of coupling agent > Dosage > Reaction temperature > Time | |||||
| Performance | Coupling Agent Types | Coupling Agent Dosage/% | Reaction Temperature/°C | Reaction Time /h |
|---|---|---|---|---|
| Water soluble | 1.67 | 2.54 | 2.39 | 2.27 |
| 1.68 | 2.21 | 2.01 | 1.97 | |
| 3.09 | 1.69 | 2.04 | 2.19 | |
| 1.42 | 0.85 | 0.38 | 0.3 |
| Samples | T5%/°C | Tmax/°C | Rmax/%·min−1 | Residiue/°C |
|---|---|---|---|---|
| APP | 296 | 568 | −5.49 | 37.6 |
| KAPP | 276 | 601 | −1.61 | 49.2 |
| Projects | O (wt%) | C (wt%) | N (wt%) | P (wt%) | Si (wt%) |
|---|---|---|---|---|---|
| APP | 20.29 ± 1.5 | 51.05 ± 1.5 | 10.46 ± 0.4 | 10.2 ± 0.2 | - |
| KAPP | 21.05 ± 1.5 | 49.72 ± 2.0 | 8.04 ± 0.5 | 8.21 ± 0.4 | 7.98 ± 0.1 |
| Samples | T5%/°C | Tmax/°C | Rmax/%·min−1 | Residiue/°C |
|---|---|---|---|---|
| PP | 387 | 452 | −22.1 | 4.08 |
| 10% APP/PP | 383 | 461 | −18.66 | 10.69 |
| 10% KAPP/PP | 379 | 463 | −18.33 | 12.69 |
| 20% KAPP/PP | 412 | 468 | −18.76 | 19.69 |
| 30% KAPP/PP | 314 | 469 | −18.21 | 17.72 |
| Samples | LOL/% | UL-94 | Dripping | Cotton Ignited |
|---|---|---|---|---|
| PP | 18.6 | NR | Yes | Yes |
| 10% APP/PP | 20.2 | NR | Yes | Yes |
| 20% APP/PP | 22 | NR | No | Yes |
| 30% APP/PP | 24.4 | V-2 | No | Yes |
| 10% APP/PP | 24.2 | V-2 | Yes | Yes |
| 20% KAPP/PP | 27.6 | V-0 | No | No |
| 30% KAPP/PP | 29.1 | V-0 | No | No |
Publisher’s Note: MDPI stays neutral with regard to jurisdictional claims in published maps and institutional affiliations. |
© 2022 by the authors. Licensee MDPI, Basel, Switzerland. This article is an open access article distributed under the terms and conditions of the Creative Commons Attribution (CC BY) license (https://creativecommons.org/licenses/by/4.0/).
Share and Cite
Meng, L.; Li, X.; Liu, M.; Li, C.; Meng, L.; Hou, S. Modified Ammonium Polyphosphate and Its Application in Polypropylene Resins. Coatings 2022, 12, 1738. https://doi.org/10.3390/coatings12111738
Meng L, Li X, Liu M, Li C, Meng L, Hou S. Modified Ammonium Polyphosphate and Its Application in Polypropylene Resins. Coatings. 2022; 12(11):1738. https://doi.org/10.3390/coatings12111738
Chicago/Turabian StyleMeng, Lingyu, Xiangrui Li, Mingli Liu, Chunfeng Li, Lipeng Meng, and Sen Hou. 2022. "Modified Ammonium Polyphosphate and Its Application in Polypropylene Resins" Coatings 12, no. 11: 1738. https://doi.org/10.3390/coatings12111738
APA StyleMeng, L., Li, X., Liu, M., Li, C., Meng, L., & Hou, S. (2022). Modified Ammonium Polyphosphate and Its Application in Polypropylene Resins. Coatings, 12(11), 1738. https://doi.org/10.3390/coatings12111738

