Micro-Structural Design of CoFe2O4/SWCNTs Composites for Enhanced Electromagnetic Properties
Abstract
1. Introduction
2. Materials and Methods
2.1. Chemicals
2.2. Functionalization of Single-Walled Carbon Nanotubes
2.3. Preparation of CoFe2O4/SWCNTs Necklace-like Structure
2.4. Characterization
2.5. Characterization of Absorption Properties
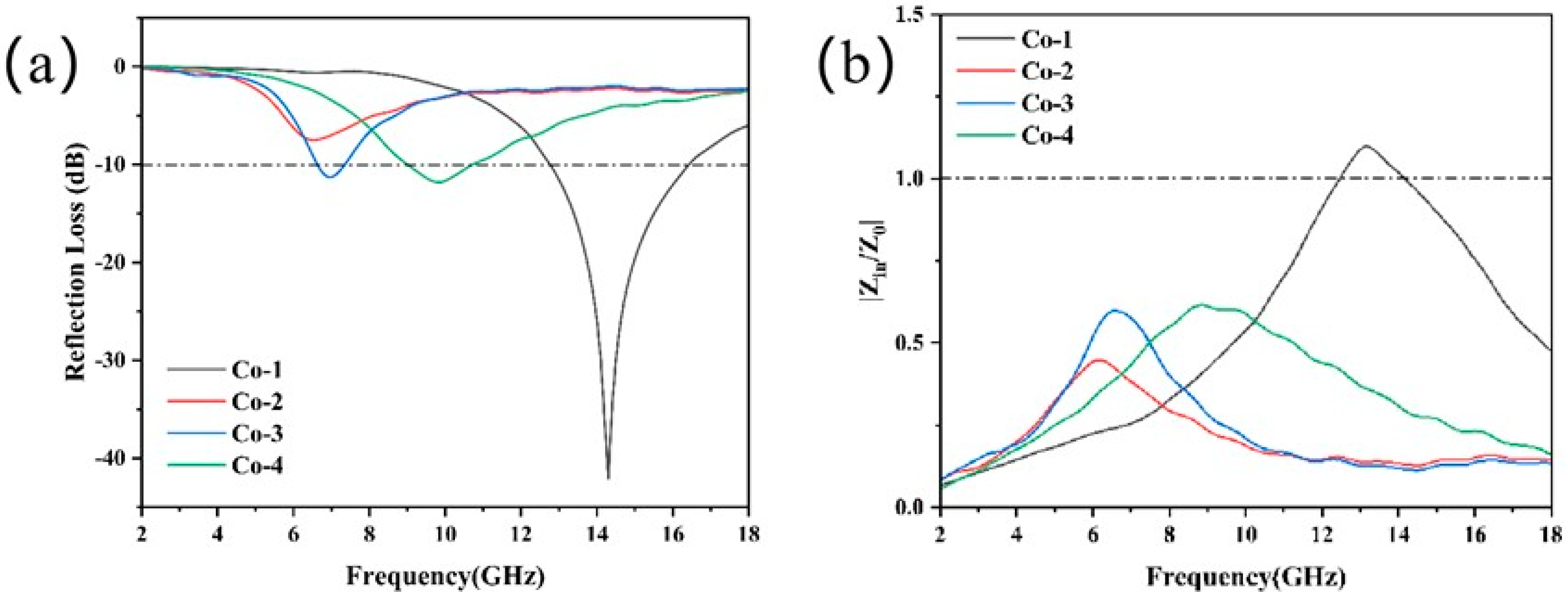
3. Results and Discussion

4. Conclusions
Author Contributions
Funding
Institutional Review Board Statement
Informed Consent Statement
Data Availability Statement
Conflicts of Interest
References
- Kong, L.-B.; Li, Z.-W.; Liu, L.; Huang, R.; Abshinova, M.; Yang, Z.-H.; Tang, C.-B.; Tan, P.-K.; Deng, C.-R.; Matitsine, S. Recent progress in some composite materials and structures for specific electromagnetic applications. Int. Mater. Rev. 2013, 58, 203–259. [Google Scholar] [CrossRef]
- Pan, H.-S.; Cheng, X.-Q.; Zhang, C.-H.; Gong, C.-H.; Yu, L.-G.; Zhang, J.; Zhang, Z. Preparation of Fe2Ni2N/SiO2 nanocomposite via a two-step route and investigation of its electromagnetic properties. Appl. Phys. Lett. 2013, 102, 012410. [Google Scholar] [CrossRef]
- Wang, B.-L.; Wu, Q.; Fu, Y.-G.; Liu, T. A review on carbon/magnetic metal composites for microwave absorption. J. Mater. Sci. Technol. 2021, 86, 91–109. [Google Scholar] [CrossRef]
- Yin, P.-F.; Zhang, L.-M.; Feng, X.; Wang, J.; Dai, J.; Tang, Y. Recent Progress in Ferrite Microwave Absorbing Composites. Integr. Ferroelectr. 2020, 211, 82–101. [Google Scholar] [CrossRef]
- Wang, G.-H.; Ong, S.J.H.; Zhao, Y.; Xu, Z.C.J.; Ji, G.-B. Integrated multifunctional macrostructures for electromagnetic wave absorption and shielding. J. Mater. Chem. A 2020, 8, 24368–24387. [Google Scholar] [CrossRef]
- Kozlovskiy, A.; Shlimas, D.-I.; Zdorovets, M.-V.; Popova, E.; Elsts, E.; Popov, A.-I. Investigation of the Efficiency of Shielding Gamma and Electron Radiation Using Glasses Based on TeO2-WO3-Bi2O3-MoO3-SiO to Protect Electronic Circuits from the Negative Effects of Ionizing Radiation. Materials 2022, 14, 6071. [Google Scholar] [CrossRef]
- Singh, S.; Kumar, A.; Singh, D. Enhanced Microwave Absorption Performance of SWCNT/SiC Composites. J. Electron. Mater. 2020, 49, 7279–7291. [Google Scholar] [CrossRef]
- Jian, H.; Du, Q.-R.; Men, Q.-Q.; Guan, L.; Li, R.-S.; Fan, B.-B.; Zhang, X.; Guo, X.-Q.; Zhao, B.; Zhang, R. Structure-dependent electromagnetic wave absorbing properties of bowl-like and honeycomb TiO2/CNT composites. J. Mater. Sci. Technol. 2022, 109, 105–113. [Google Scholar] [CrossRef]
- Liao, Q.; He, M.; Zhou, Y.; Nie, S.; Wang, Y.; Hu, S.; Yang, H.; Li, H.; Tong, Y. Highly Cuboid-Shaped Heterobimetallic Metal-Organic Frameworks Derived from Porous Co/ZnO/C Microrods with Improved Electromagnetic Wave Absorption Capabilities. ACS Appl. Mater. Interfaces 2018, 10, 29136–29144. [Google Scholar] [CrossRef]
- Zhang, F.; Jia, Z.-R.; Wang, Z.; Zhang, C.-H.; Wang, B.-B.; Xu, B.-H.; Liu, X.-H.; Wu, G.-L. Tailoring nanoparticles composites derived from metal-organic framework as electromagnetic wave absorber. Mater. Today Phys. 2021, 20, 100475. [Google Scholar]
- Cao, M.-S.; Yang, J.; Song, W.-L.; Zhang, D.-Q.; Wen, B.; Jin, H.-B.; Hou, Z.-L.; Yuan, J. Ferroferric oxide/multiwalled carbon nanotube vs polyaniline/ferroferric oxide/multiwalled carbon nanotube multiheterostructures for highly effective microwave absorption. ACS Appl. Mater. Interfaces 2012, 4, 6949–6956. [Google Scholar] [CrossRef]
- Zhao, D.-L.; Shen, Z.-M. Preparation and microwave absorbing properties of microwave absorbing materials containing carbon nanotubes. J. Inorg. Mater. 2005, 20, 608–612. [Google Scholar]
- Huo, J.; Wang, L.; Yu, H. Polymeric nanocomposites for electromagnetic wave absorption. J. Mater. Sci. 2009, 44, 3917–3927. [Google Scholar] [CrossRef]
- Wu, Y.; Zhao, Y.; Zhou, M.; Tan, S.-J.; Peymanfar, R.; Aslibeiki, B.; Ji, G.-B. Ultrabroad Microwave Absorption Ability and Infrared Stealth Property of Nano-Micro CuS@rGO Lightweight Aerogels. Nanomicro. Lett. 2022, 14, 171. [Google Scholar] [CrossRef] [PubMed]
- Peymanfar, R.; Mirkhan, A. Biomass-derived materials: Promising, affordable, capable, simple, and lightweight microwave absorbing structures. Chem. Eng. J. 2022, 446, 136903. [Google Scholar] [CrossRef]
- Peymanfar, R.; Moradi, F. Functionalized carbon microfibers (biomass-derived) ornamented by Bi2S3 nanoparticles: An investigation on their microwave, magnetic, and optical characteristics. Nanotechnology 2020, 32, 065201. [Google Scholar] [CrossRef]
- Odom, T.W.; Huang, J.L.; Kim, P.; Lieber, C.K. Atomic structure and electronic properties of single-walled carbon nanotubes. Nature 1998, 391, 62–64. [Google Scholar] [CrossRef]
- Thomassin, J.M.; Jérôme, C.; Pardoen, T.; Bailly, C.; Huynen, I.; Detrembleur, C. Polymer/carbon based composites as electromagnetic interference (EMI) shielding materials. Mater. Sci. Eng. R Rep. 2013, 74, 211–232. [Google Scholar] [CrossRef]
- Chen, S.-H.; Kuo, W.-S.; Yang, R.-B. Microwave absorbing properties of a radar absorbing structure composed of carbon nanotube papers/glass fabric composites. Int. J. Appl. Ceram. Technol. 2019, 16, 2065–2072. [Google Scholar] [CrossRef]
- Li, Q.; Xue, Q.-Z.; Zheng, Q.-B.; Hao, L.-Z.; Gao, X.-L. Large dielectric constant of the chemically purified carbon nanotube/polymer composites. Mater. Lett. 2008, 62, 4229–4231. [Google Scholar] [CrossRef]
- Tang, P.; Zhang, R.; Chen, Z.-Q.; Hu, Y.-P.; Gong, Z.-Z. Dielectric properties of carbon nanotubes-polyethylene composites. J. Funct.Polym. 2016, 29, 290–295. [Google Scholar]
- Wang, L.; Dang, Z.-M. Carbon nanotube composites with high dielectric constant at low percolation threshold. Appl. Phys. Lett. 2005, 87, 042903. [Google Scholar] [CrossRef]
- Lv, H.-L.; Ji, G.-B.; Zhang, H.-Q.; Du, Y.-W. Facile synthesis of a CNT@Fe@SiO2 ternary composite with enhanced microwave absorption performance. RSC Adv. 2015, 5, 76836–76843. [Google Scholar] [CrossRef]
- Xiang, C.-S.; Pan, Y.-B.; Liu, X.-J.; Sun, X.-W.; Shi, X.-M.; Guo, J.-K. Microwave attenuation of multiwalled carbon nanotube-fused silica composites. Appl. Phys. Lett. 2005, 87, 123103. [Google Scholar] [CrossRef]
- Li, J.-S.; Xie, Y.-Z.; Lu, W.-B.; Chou, T.-W. Flexible electromagnetic wave absorbing composite based on 3D rGO-CNT-Fe3O4 ternary films. Carbon 2018, 129, 76–84. [Google Scholar] [CrossRef]
- Wu, G.; He, Y.; Zhan, H.; Shi, Q.-Q.; Wang, J.-N. A novel Fe3O4/carbon nanotube composite film with a cratered surface structure for effective microwave absorption. J. Mater. Sci. Mater. Electron. 2020, 31, 11508–11519. [Google Scholar] [CrossRef]
- Zhang, M.; Song, S.-N.; Liu, Y.-M.; Hou, Z.-X.; Tang, W.-Y.; Li, S.-N. Microstructural Design of Necklace-Like Fe3O4/Multiwall Carbon Nanotube (MWCNT) Composites with Enhanced Microwave Absorption Performance. Materials 2021, 14, 4783. [Google Scholar] [CrossRef]
- Sharifianjazi, F.; Moradi, M.; Parvin, N.; Nemati, A.; Rad, A.J.; Sheysi, N.; Abouchenari, A.; Mohammadi, A.; Karbasi, S.; Ahmadi, Z.; et al. Magnetic CoFe2O4 nanoparticles doped with metal ions: A review. Ceram. Int. 2020, 46, 18391–18412. [Google Scholar] [CrossRef]
- Klym, H.; Karbovnyk, I.; Luchechko, A.; Kostiv, Y.; Pankratova, V.; Popov, A.-I. Evolution of Free Volumes in Polycrystalline BaGa2O4 Ceramics Doped with Eu3+ Ions. Crystals 2022, 11, 1515. [Google Scholar] [CrossRef]
- Zhao, D.; Wu, X.; Guan, H.; Han, E. Study on supercritical hydrothermal synthesis of CoFe2O4 nanoparticles. J. Supercrit. Fluids 2007, 42, 226–233. [Google Scholar] [CrossRef]
- Fu, M.; Jiao, Q.-Z.; Zhao, Y.; Li, H.-S. Vapor diffusion synthesis of CoFe2O4 hollow sphere/graphene composites as absorbing materials. J. Mater. Chem. A 2014, 2, 735–744. [Google Scholar] [CrossRef]
- Luo, J.-W.; Wang, Y.; Qu, Z.-J.; Wang, W.; Yu, D. Lightweight and robust cobalt ferrite/carbon nanotubes/waterborne polyurethane hybrid aerogels for efficient microwave absorption and thermal insulation. J. Mater. Chem. C 2021, 9, 12201–12212. [Google Scholar] [CrossRef]
- Zhang, S.-L.; Jiao, Q.-Z.; Zhao, Y.; Li, H.-S.; Wu, Q. Preparation of rugby-shaped CoFe2O4 particles and their microwave absorbing properties. J. Mater. Chem. A 2014, 2, 18033–18039. [Google Scholar] [CrossRef]
- Wu, M.; Darboe, A.K.; Qi, X.-S.; Xie, R.; Qin, S.-J.; Deng, C.-Y.; Wu, G.-L.; Zhong, W. Optimization, selective and efficient production of CNTs/CoxFe3-xO4 core/shell nanocomposites as outstanding microwave absorbers. J. Mater. Chem. C 2020, 8, 11936–11949. [Google Scholar] [CrossRef]
- Peymanfar, R.; Selseleh-Zakerin, E.; Ahmadi, A. Tailoring energy band gap and microwave absorbing features of graphite-like carbon nitride (g-C3N4). J. Alloys Compd. 2021, 867, 159039. [Google Scholar] [CrossRef]
- Chen, G.; Zhang, L.-M.; Luo, B.-C.; Wu, H.-J. Optimal control of the compositions, interfaces, and defects of hollow sulfide for electromagnetic wave absorption. J. Colloid Interf. Sci. 2021, 607, 24–33. [Google Scholar] [CrossRef]
- Chen, T.; Du, P.; Jiang, W.; Liu, J.; Hao, G.-Z.; Gao, H.; Xiao, L.; Ke, X.; Zhao, F.-Q.; Xuan, C.-L. A facile one-pot solvothermal synthesis of CoFe2O4/RGO and its excellent catalytic activity on thermal decomposition of ammonium perchlorate. RSC Adv. 2016, 6, 83838–83847. [Google Scholar] [CrossRef]
- Yu, M.; Feng, Z.-H.; Huang, Y.; Wang, K.; Liu, L. CoFe2O4 nanoparticles directly grown on carbon nanotube with coralline structure as anodes for lithium ion battery. J. Mater. Sci. Mater. Electron. 2019, 30, 4174–4183. [Google Scholar] [CrossRef]
- Wang, C.-X.; Wang, B.-B.; Cao, X.; Zhao, J.-W.; Chen, L.; Shan, L.-G.; Wang, H.-N.; Wu, G.-L. 3D flower-like Co-based oxide composites with excellent wideband electromagnetic microwave absorption. Compos. B. Eng. 2021, 205, 108529. [Google Scholar] [CrossRef]
- Zhou, C.-H.; Wu, C.; Yan, M. Hierarchical FeCo@MoS2 Nanoflowers with Strong Electromagnetic Wave Absorption and Broad Bandwidth. ACS Appl. Nano Mater. 2018, 1, 5179–5187. [Google Scholar] [CrossRef]
- Guo, D.-G.; Kang, H.-Z.; Wei, P.-K.; Yang, Y.; Hao, Z.-W.; Zhang, Q.-X.; Liu, L. A high-performance bimetallic cobalt iron oxide catalyst for the oxygen evolution reaction. CrystEngComm 2020, 22, 4317–4323. [Google Scholar] [CrossRef]
- Sun, X.; Zhu, X.-Y.; Yang, X.-F.; Sun, J.; Xia, Y.-Z.; Yang, D.-J. CoFe2O4/carbon nanotube aerogels as high performance anodes for lithium ion batteries. Green Energy Environ. 2017, 2, 160–167. [Google Scholar] [CrossRef]
- Hasar, U.C. A New Microwave Method Based on Transmission Scattering Parameter Measurements for Simultaneous Broadband and Stable Permittivity and Permeability Determination. Electromagn. Waves 2009, 93, 161–176. [Google Scholar] [CrossRef]
- Han, M.-Y.; Zhou, M.; Wu, Y.; Zhao, Y.; Cao, J.-M.; Tang, S.-L.; Zou, Z.-Q.; Ji, G.-B. Constructing angular conical FeSiAl/SiO2 composites with corrosion resistance for ultra-broadband microwave absorption. J. Alloys Compd. 2022, 902, 163792. [Google Scholar] [CrossRef]
- Wang, S.-S.; Zhu, H.-H.; Jiao, Q.-Z.; Jiao, X.-G.; Feng, C.-H.; Li, H.-S.; Shi, D.-X.; Wu, Q.; Zhao, Y. Controllable synthesis of multi-shelled SiO2@C@NiCo2O4 yolk–shell composites for enhancing microwave absorbing properties. New J. Chem. 2021, 45, 20928–20936. [Google Scholar] [CrossRef]
- Song, Q.; Zhang, Z.-J. Shape Control and Associated Magnetic Properties of Spinel Cobalt Ferrite Nanocrystals. J. Am. Chem. Soc. 2004, 126, 6164–6168. [Google Scholar] [CrossRef]
- Yuan, Y.; Wei, S.-C.; Liang, Y.; Wang, B.; Wang, Y.-J.; Xin, W.; Wang, X.-L.; Zhang, Y. Solvothermal assisted synthesis of CoFe2O4/CNTs nanocomposite and their enhanced microwave absorbing properties. J. Alloys Compd. 2021, 867, 159040. [Google Scholar] [CrossRef]
- Zhang, S.-L.; Qi, Z.-W.; Zhao, Y.; Jiao, Q.-Z.; Ni, X.; Wang, Y.-J.; Chang, Y.; Ding, C. Core/shell structured composites of hollow spherical CoFe2O4 and CNTs as absorbing materials. J. Alloys Compd. 2017, 694, 309–312. [Google Scholar] [CrossRef]
- Che, R.-C.; Zhi, C.-Y.; Liang, C.-Y.; Zhou, X.-G. Fabrication and microwave absorption of carbon nanotubes/CoFe2O4 spinel nanocomposite. Appl. Phys. Lett. 2006, 88, 033105. [Google Scholar] [CrossRef]











Publisher’s Note: MDPI stays neutral with regard to jurisdictional claims in published maps and institutional affiliations. |
© 2022 by the authors. Licensee MDPI, Basel, Switzerland. This article is an open access article distributed under the terms and conditions of the Creative Commons Attribution (CC BY) license (https://creativecommons.org/licenses/by/4.0/).
Share and Cite
Hou, Z.; Liu, C.; Gong, J.; Wu, J.; Sun, S.; Zhang, M.; Sun, X. Micro-Structural Design of CoFe2O4/SWCNTs Composites for Enhanced Electromagnetic Properties. Coatings 2022, 12, 1532. https://doi.org/10.3390/coatings12101532
Hou Z, Liu C, Gong J, Wu J, Sun S, Zhang M, Sun X. Micro-Structural Design of CoFe2O4/SWCNTs Composites for Enhanced Electromagnetic Properties. Coatings. 2022; 12(10):1532. https://doi.org/10.3390/coatings12101532
Chicago/Turabian StyleHou, Zaoxia, Chenyang Liu, Jialuo Gong, Junjie Wu, Shuchen Sun, Mu Zhang, and Xudong Sun. 2022. "Micro-Structural Design of CoFe2O4/SWCNTs Composites for Enhanced Electromagnetic Properties" Coatings 12, no. 10: 1532. https://doi.org/10.3390/coatings12101532
APA StyleHou, Z., Liu, C., Gong, J., Wu, J., Sun, S., Zhang, M., & Sun, X. (2022). Micro-Structural Design of CoFe2O4/SWCNTs Composites for Enhanced Electromagnetic Properties. Coatings, 12(10), 1532. https://doi.org/10.3390/coatings12101532
