Next Article in Journal
Preparation of Double-Layer Crossed Silver Nanowire Film and Its Application to OLED
Next Article in Special Issue
Verification of the Influence of Particle Shape on the Chemical Resistance of Epoxy Coating and Use of Waste Glass as the Filler
Previous Article in Journal
Outstanding Performance of a New Exfoliated Clay Impregnated with Rutile TiO2 Nanoparticles Composite for Dyes Adsorption: Experimental and Theoretical Studies
Previous Article in Special Issue
Magnetized Dissipative Soret Effect on Chemically Reactive Maxwell Fluid over a Stretching Sheet with Joule Heating
 
 
Font Type:
Arial Georgia Verdana
Font Size:
Aa Aa Aa
Line Spacing:
Column Width:
Background:
Article

The Coriolis Effect on Thermal Convection in a Rotating Sparsely Packed Porous Layer in Presence of Cross-Diffusion

by
Suman Shekhar
1,
Ravi Ragoju
1,*,
Gudala Janardhana Reddy
2 and
Mikhail A. Sheremet
3,*
1
Department of Applied Sciences, National Institute of Technology Goa, Ponda 403401, India
2
Department of Mathematics, Central University of Karnataka, Kalaburagi 585367, India
3
Laboratory on Convective Heat and Mass Transfer, Tomsk State University, 634050 Tomsk, Russia
*
Authors to whom correspondence should be addressed.
Coatings 2022, 12(1), 23; https://doi.org/10.3390/coatings12010023
Submission received: 20 November 2021 / Revised: 16 December 2021 / Accepted: 22 December 2021 / Published: 27 December 2021

Abstract

The effect of rotation and cross-diffusion on convection in a horizontal sparsely packed porous layer in a thermally conducting fluid is studied using linear stability theory. The normal mode method is employed to formulate the eigenvalue problem for the given model. One-term Galerkin weighted residual method solves the eigenvalue problem for free-free boundaries. The eigenvalue problem is solved for rigid-free and rigid-rigid boundaries using the BVP4c routine in MATLAB R2020b. The critical values of the Rayleigh number and corresponding wave number for different prescribed values of other physical parameters are analyzed. It is observed that the Taylor number and Solutal Rayleigh number significantly influence the stability characteristics of the system. In contrast, the Soret parameter, Darcy number, Dufour parameter, and Lewis number destabilize the system. The critical values of wave number for different prescribed values of other physical parameters are also analyzed. It is found that critical wave number does not depend on the Soret parameter, Lewis number, Dufour parameter, and solutal Rayleigh number; hence critical wave number has no impact on the size of convection cells. Further critical wave number acts as an increasing function of Taylor number, so the size of convection cells decreases, and the size of convection cells increases because of Darcy number.

1. Introduction

Rotating convection in a sparsely packed porous layer, which is heated from below, has important applications in geophysics and geophysical fluid dynamics. Horton and Rogers [1] and Lapwood [2] were the first who did the experimental analysis of convective instabilities in a porous layer in the absence of rotation. The effect of rotation on Rayleigh-Benard convection (RBC) is studied by Tagare [3], and it is observed that while limiting the case of Prandtl number, Hopf bifurcation is not present. Gupta et al. [4] studied the RBC with rotation and magnetic field. Tagare et al. [5] have studied linear analysis and non-linear stability analysis of RBC of rotating fluids. A normal mode approach has been used to get the critical Rayleigh number for the modulated case by Om et al. [6]. They concluded that in the presence of modulation, the Taylor number could reduce the onset of convection. Novi et al. [7] deduced the effect of rotation with the tilted axis on RBC numerically. King et al. [8] studied the RBC for open and closed rotating cavities. Bhadauria et al. [9] studied the weakly non-linear analysis in a rotating porous medium and showed that as the Taylor number increases, the Nusselt number decreases.
The thermo-diffusion effect or Soret contributes to mass fluxes due to temperature gradients. Similarly, the diffusion-thermal effect or Dufour effect contributes to thermal energy flux due to concentration gradients. There may be a small effect of cross-diffusion, but when it is present in double-diffusive convections, they are more important as they have a significant impact on hydrodynamics stability compared to their contributions to the buoyancy of fluids. Dufour and Soret parameters have been found to appreciably affect the flow field in the mixed convection boundaries layer where the vertical surface is embedded in the porous layer. Dufour and Soret parameters are explained in many practical applications, such as geoscience, bioengineering, and chemical engineering. Many people studied convection with cross-diffusion. For example, Venkatesh and Pranesh [10] observed the effect of Dufour and Soret parameters on double-diffusive convection and deduced that the system is unstable if the Soret parameter increases. Kim et al. [11] studied the convection of nanofluid in the presence of Soret and Dufour effects. They observed that if Soret and Dufour parameters are included in the analysis for the nanofluid behavior, the system becomes unstable and heat transfer in nanofluid with the presence of the Soret effect is more significant than normal nanofluid. Hu et al. [12] studied the effect of the Soret parameter on Poissullie–Rayleigh–Benard convection. Stevens et al. [13] observed heat transport in rotating RBC. Convection in rotating fluids with Soret and Dufour parameters is explained by Duba et al. [14], Lewis number and Dufour parameter increase the heat transport strength. In contrast, the Soret parameter decreases the mass transport rate. Khalid et al. [15] studied the effect of Soret and Dufour parameters on magneto-convection. They used the Galerkin weighted residual method for solving the Eigenvalue problem.
The Soret parameter is useful in isotopes separation [16]. Niche et al. [17] investigated the Dufour and Soret effects on unsteady double-diffusive natural convection using the finite volume method. They concluded that with the Dufour coefficient, heat and mass transport increases. Gaikwad and Kamble [18] studied the effects of cross-diffusion on rotating anisotropic porous layer and deduced that the Dufour parameter could stabilize the system. Non-linear convection in couple stress fluids and Soret parameter is discussed by Malashetty et al. [19]. It has been deduced that heat and mass transfer of the system can be suppressed if the value of the Soret parameter increases. So, it is quite clear from the above discussion that we should not neglect the Soret and Dufour effects in double-diffusive convection.
Rotation in the sparsely packed porous layer plays a vital role in convective instability in geophysics, especially in the analysis of the interior part of Earth where molten liquid iron and other metals are electrically conducting. Rotating convection with purely internal heating on the horizontal porous medium is studied by Yadav et al. [20] and it is observed that while increasing the value of rotating parameter inhibit the onset of convection. Ravi et al. [21] studied the effect of cross-diffusion parameters on primary and secondary thermo-convective instabilities using the NWS equation and Lorentz equation. The effect of rotation on the viscoelastic fluid in the porous layer is examined by Rana and Kango [22], and they noticed that viscoelasticity and rotation increase the oscillatory mode. However, compressibility delays the onset of thermal instability. Later many researchers such as Malashetty and Swamy [23], Malashetty et al. [24,25,26], Mahajan and Sharma [27], Chand et al. [28], Yadav [29], Rana et al. [30,31], and Mikhailenko et al. [32], Mikhailenko and Sheremet [33] studied the effect of rotation with a different physical model. The system can be unstable because of differential diffusion and cross-diffusion. It plays a more important role as the system is significantly influenced by hydrodynamic stability in comparison to the buoyancy of fluids. The effect of the cross-diffusion parameter is observed in many real-life applications such as geosciences, bioengineering [34,35,36,37,38], geothermal heating from below for oceans, and chemical engineering. The Soret effect can be seen in isotope separation and a mixture of light molecular weight of gases.
The study of the Soret and Dufour effect on rotating convection in a sparsely packed porous layer for the realistic boundary conditions is of tremendous importance because it may be used as a fundamental mechanism for contaminant transport in groundwater, biochemical engineering, petroleum industry, oceanography, chemical engineering or oceans experience geothermal heating from below. It is observed that different kinds of boundaries play a very significant role in the Rayleigh–Benard problems in the case of the onset of convection. However, attention has not been given to such issues with cross-diffusion and rotation in the sparsely packed porous layer. So, there is sufficient space for further study. There are numerous practical applications of such study: petroleum industry, and geophysics including rotating, biochemical engineering, oceans experience geothermal heating from below, and many others.
This literature analysis shows that no work has been examined to study the cross-diffusion effect on thermohaline rotating convection in a sparsely packed porous layer for the realistic boundary conditions. Therefore, this paper studied the effect of rotation and cross-diffusion on convection in a sparsely packed porous medium for the realistic boundary conditions (rigid–rigid and rigid–free boundaries) and free–free boundaries and made a mathematical model of system with rotating fluid salted and heated from below and cross-diffusion factors. In Section 2, the relevant governing equations are discussed. Section 3 deals with linear stability analysis. The method of solution is described in Section 4. The results and discussion of obtained data are written in Section 5. Furthermore, finally, the conclusions are listed in Section 6.

2. Governing Equations

We consider thermally conducting fluid in a sparsely packed porous medium, which is placed between two infinitely parallel horizontal layers at z = 0 and z = d and kept rotating at a constant angular velocity, as shown in Figure 1. We used Cartesian coordinates (x, y, z) where x and y are horizontal coordinate and z is vertical coordinate. All the fluid physical properties are assumed to be constant, except for the density in the buoyancy term. The governing equations in the presence of cross-diffusion parameters for rotating fluid in a sparsely packed porous medium are considered such that the Oberbeck–Boussinesq approximation is valid.
First let us assume that
  • Brinkman’s law holds;
  • Viscous dissipation can be neglected;
  • Local thermal equilibrium between solid phase and fluid phase holds;
  • The Oberbeck–Boussinesq approximation can be applied.
The governing equations with Boussinesq approximation, are:
V ¯ = 0
ρ 0 ϕ ( V ¯ t + 1 ϕ ( V ¯ ) V ¯ + 2 ( Ω ¯ × V ¯ ) ) = P + ρ g ¯ μ K V ¯ + μ e 2 V ¯
M T t + ( V ¯ ) T = k 11 2 T + k 12 2 S
ϕ S t + ( V ¯ ) S = k 22 2 S + k 21 2 T
ρ = ρ 0 ( 1 α ( T T 0 ) + β s ( S S 0 ) )
where, V ¯ is velocity vector, ρ is density, ϕ is porosity, t is time, µ is viscosity of fluid, K is permeability of porous medium, μe is effective fluid viscosity, M is dimensionless heat capacity, g is acceleration due to gravity, T is temperature, P is pressure, k11 is thermal diffusivity, k12 and k21 are Dufour and Soret coefficient, k22 is mass diffusivity, S is solutal concentration, βs is solutal expansion coefficient, α is thermal expansion coefficient. The density of fluid depends linearly on salinity and temperature. The thermal boundary conditions and solutal boundary conditions are given by:
T = T 0 , S = S 0 , on   z = d , T = T 0 + Δ T , S = S 0 + Δ S , on   z = 0 . }

2.1. Basic State

Let us assume that basic state solution is time independent and only dependent on z−direction, hence basic state solutions can be written in form of
V ¯ b = 0 , P = P b ( z ) , ρ = ρ b ( z ) , S = S b ( z ) , T = T b ( z )
Putting the value of Equation (7) into Equations (1)–(4), we get
V ¯ b = 0
P b ( z ) ρ b g ¯ = 0
k 11 2 T b ( z ) + k 12 2 S b ( z ) = 0
k 22 2 S b ( z ) + k 21 2 T b ( z ) = 0
Substituting Equation (6) in Equations (10) and (11), we get the solution of basic temperature state and basic concentration state are
T b = T 0 + Δ T ( 1 z d )
S b = S 0 + Δ S ( 1 z d )

2.2. Perturbed State

We now superpose small perturbations in the form
V ¯ = V ¯ b + V ¯ , P = P b ( z ) + P , T = T b ( z ) + T , S = S b ( z ) + S , ρ = ρ b ( z ) + ρ
Here primes indicate the perturbations. Now substituting Equation (14) into Equations (1)–(5), we obtain
V ¯ = 0
ρ 0 ( 1 ϕ V ¯ t + 1 ϕ 2 ( V ¯ ) V ¯ + 2 ϕ ( Ω ¯ × V ¯ ) ) = P + ( α T β S S ) ρ 0 g ¯ μ K V ¯ + μ e 2 V ¯
M T t + ( V ¯ ) T + w T b z = k 11 2 T + k 12 2 S
ϕ S t + ( V ¯ ) S + w S b z = k 22 2 S + k 21 2 T
We are introducing dimensionless variables as follows
x * = x d ,   y * = y d ,   z * = z d ,   t * = t M d 2   k 11 ,   V * = V k 11 M d ,   T * = T Δ T ,   S * = S Δ S ,   P * = P ρ 0 k 11 2 M 2 d 2
The non-dimensional (after omitting the asterisk*) system of governing equations are
( 1 M 2 ϕ Pr t + 1 M D a Λ M 2 ) V ¯ T a M ϕ ( V ¯ × e ¯ z ) ( R a T R s S ) e ¯ z = P M 2 Pr 1 M 2 ϕ 2 Pr ( V ¯ ) V ¯
(   t 2 ) T D u R s R a 2 S w M = 1 M ( V ¯ ) T
( ϕ M   t 1 L e 2 ) S S r R a R s 2 T w M = 1 M ( V ¯ ) S
Here Pr = μ ρ 0 k 11 is Prandtl number, T a = ( 2 ρ 0 Ω d 2 μ ) 2 is Taylor number, R a = ρ 0 α g Δ T d 3 μ k 11 is Rayleigh number, L e = k 11 k 22 is Lewis number, R s = ρ 0 β s Δ S d 3 μ k 11 is solutal Rayleigh number, D a = K d 2 is Darcy number, Λ = μ e μ ,   D u = k 12 α k 11 β s is Dufour parameter, S r = k 21 β s k 11 α is Soret parameter, w is z-component of velocity vector, and 2 is Laplacian operator.
Operating curl on Equation (19), we get
( 1 M 2 ϕ Pr   t + 1 M D a Λ M 2 ) × V ¯ T a M ϕ × ( V ¯ × e ¯ z ) × ( R a T R s S ) e ¯ z = 1 M 2 ϕ 2 Pr ( × ( V ¯ ) V ¯ )
where, × V ¯ = ω (vorticity).
Again applying curl to above resultant Equation (22), we obtain
( 1 M 2 ϕ Pr   t + 1 M D a Λ M 2 )   2 V ¯ + T a M ϕ ω z + × × ( R a T R s S ) e ¯ z = 1 M 2 ϕ 2 Pr ( × × ( V ¯ ) V ¯ )
Now collecting z-components of Equations (22) and (23) we get the equations as
( 1 M 2 ϕ Pr   t + 1 M D a Λ M 2 ) ω z T a M ϕ w z = 1 M 2 ϕ 2 Pr e ¯ z ( × ( V ¯ ) V ¯ )
( 1 M 2 ϕ Pr   t + 1 M D a Λ M 2 ) 2 w + T a M ϕ ω z z R a h 2 T + R s h 2 S = 1 M 2 ϕ 2 Pr e ¯ z ( × × ( V ¯ ) V ¯ )
where ωz and w are z-components of vorticity and velocity, respectively, and h 2 is horizontal Laplacian operator.

3. Linear Stability Analysis

Let us introduce the normal modes by writing the perturbations in the form of
( w , ω z , T , S ) = ( w ( z ) , Φ ( z ) , T ( z ) , S ( z ) ) e   ( i ( l 1 x + l 2 y ) + σ t )
here l1 and l2 are wave numbers in directions x and y, respectively, and σ is the growth rate. We substitute Equation (26) into Equations (20), (21), (24) and (25) and neglect the nonlinear term, which gives us the following equations as
( σ M 2 ϕ P r + 1 M D a Λ M ( D 2 a 2 ) ) ( D 2 a 2 ) w ( z ) + T a M ϕ Φ ( z ) z + a 2 R a T ( z ) a 2 R s S ( z ) = 0
( σ M 2 ϕ P r + 1 M D a Λ M ( D 2 a 2 ) ) Φ ( z ) T a M ϕ w ( z ) z = 0
( σ ( D 2 a 2 ) ) T ( z ) w M D u R s R a ( D 2 a 2 ) S ( z ) = 0
( σ ϕ M 1 L e ( D 2 a 2 ) ) S ( z ) w M S r R a R s ( D 2 a 2 ) T ( z ) = 0
where D = d d z and a 2 = l 1 2 + l 2 2 .
In general σ is a complex number and in form of σ = σ r + i σ i . For σr < 0, system is always stable, and for σr > 0, system becomes unstable and for neutral stability of system σr = 0.
The above eigenvalue problem can be solved for the following boundary conditions:
Case (i) Free–Free boundary conditions:
w = D 2 w = D Φ = T = S = 0   at   z = 0 , 1
Case (ii) Rigid–Free boundary conditions:
w = D 2 w = Φ = T = S = 0 at   z = 0 , w = D w = D Φ = T = S = 0 at   z = 1 }
Case (iii) Rigid–Rigid boundary conditions:
w = D w = Φ = T = S = 0   at   z = 0 , 1

4. Method of Solution

4.1. Exact Analytical Solution for Free–Free Boundary

Let us assume that solution is in the form of
w = w 0 sin ( π z ) ,   Φ = Φ 0 cos ( π z ) ,   T = T 0 sin ( π z ) ,   S = S 0 sin ( π z )
which satisfies the free–free boundary condition Equation (31). On substituting Equation (34) in Equations (27)–(30) we get system of equation in matrix form as
[ ( σ δ 2 M 2 ϕ P r δ 2 M D a Λ δ 4 M ) T a M ϕ π a 2 R a a 2 R s T a M ϕ π ( σ M 2 ϕ P r + 1 M D a + Λ δ 2 M ) 0 0 1 M 0 σ + δ 2 D u R s R a δ 2 1 M 0 S r R a R s δ 2 ( σ ϕ M + δ 2 L e ) ] × [ w 0 Φ 0 T 0 S 0 ] = [ 0 0 0 0 ]
where δ 2 = π 2 + a 2 and solving the above matrix for non-trivial solution, we get value of stationary Rayleigh number, oscillatory Rayleigh number and frequency of oscillation ω, as
R a s c = χ 1 L e χ 2 R s + δ s c 2 χ 3 a s c 2 χ 2 ( δ s c 4 Λ + δ s c 2 D a + M π 2 T a ϕ 2 χ 4 )
R a o c = I 1 K , ω 2 = I 3 + I 3 2 4 I 2 I 4 I 2
where, expressions of Equations (36) and (37) are given in the Appendix A.
When rotation is not present (i.e., Ta = 0) and limiting case of sparsely packed porous medium in Equation (36), we obtain
R a s c = χ 1 L e χ 2 R s + δ s c 6 χ 3 a s c 2 χ 2
which is the same as obtained by Ravi et al. [39].
In the absence of cross-diffusion i.e., Soret parameter Sr = 0, Dufour parameter Du = 0 and Solutal Rayleigh number Rs = 0 in Equation (36), we obtain
R a s c = M a s c 2 ( δ s c 4 ( 1 M D a + Λ M δ s c 2 ) 2 + δ s c 2 π 2 T a ϕ 2 ( 1 M D a + δ s c 2 Λ M ) )
which is the same as obtained by Babu et al. [40].
Further, when rotation is not present (i.e., Ta = 0) and limiting case of sparsely packed porous layer in Equation (39) we get the classical result of Rayleigh number given in Chandrasekhar [41].
R a s c = δ s c 6 a s c 2

4.2. Numerical Solution for Rigid–Free and Rigid–Rigid Boundaries

The analytical solution is not possible for the eigenvalue problem for the realistic boundary conditions. So, we had solved eigenvalue problem numerically. Therefore, we use the bvp4c routine in MATLAB R2020b to solve the eigenvalue problem for rigid–free and rigid–rigid boundaries. We reduced the system of higher order ordinary differential Equations (27)–(30) into a system of first-order ordinary differential equations and put σ = 0. For non-trivial solutions and determining the eigenvalue Ra, we used the normalization condition w ( 0 ) = 1 . To calculate the value of critical Rayleigh number Rac and corresponding wave number ac, we have used the indexmin command in MATLAB R2020b. To gain higher-order accuracy, the absolute and relative tolerance has been taken as 10−9 and 10−6 respectively.
To validate our solution method, we have compared the obtained results with those existing in the literature. The current problem can be changed to Chandrasekhar [41] in the absence of a cross-diffusion effect and sparsely packed porous medium. Table 1 and Table 2 show an excellent agreement of our numerical results with the critical Rayleigh number, Rac, and corresponding critical wave number, ac, given in Chandrasekhar [41].

5. Results and Discussion

The numerical results and discussion are presented in this section. In the present analysis, the linear stability analysis has modeled rotating RBC of a sparsely packed porous medium in the presence of the cross-diffusion effect. Most of the previous studies are based on the Darcy model. Therefore, they are relatively well packed with low permeability of porous layer. However, in the medium of sparsely packed, we cannot apply Darcy’s law in its usual form. In a sparsely packed medium, they involve big void spaces giving rise to viscous shear and the Darcy resistance. Physically, one can consider the application of convection in the case of disposal of nuclear waste material in the underground soil below the surface of the sedimentary layer, where the porosity is expected to be 40%−50%, so Darcy’s law in its present form is not correct form to explain the flow field as medium having big void spaces. One-term Galerkin weighted residual method solves the eigenvalue problem with free–free boundaries. Eigenvalue problems with rigid–rigid and free–rigid boundaries are solved with the help of bvp4c in MATLAB R2020b. The linear instability threshold parameters consisting of Rayleigh number, Ra. and corresponding wave number, a, depend on Soret parameter, Sr., Dufour parameter, Du., Solutal Rayleigh number, Rs., Taylor number, Ta., Lewis number, Le. and Darcy number, Da. are shown in Figure 2, Figure 3, Figure 4, Figure 5, Figure 6, Figure 7, Figure 8, Figure 9, Figure 10 and Figure 11, and Table 3, Table 4, Table 5, Table 6 and Table 7.
Let us fix the values Λ = 8 (see Nield and Bejan [41]), M = 0.9 and ϕ = 0.9. Table 3 shows the critical values of Rayleigh number and wave number for the different values of Ta and Sr and for the fixed values of Du = 0.02, Rs = 200, Le = 5 and Da = 0.01.
Thermo-diffusion effect or Soret effect contributes to mass fluxes, and diffusion-thermal effect or Dufour effect contribute to thermal energy flux, which has a direct impact on the stability of the system of rotating fluid, so we draw the graph between critical Rayleigh number and Taylor number for different values of Soret and Dufour numbers. Similarly, the Lewis number is also an important parameter because it relates to thermal diffusivity and mass diffusivity. For example, salt diffuses 100 times less in the ocean than does heat diffuses. Therefore, mass diffusivity plays a significant role in governing the system, so we plotted the graph for critical Rayleigh number for different values of Lewis number. Solutal Rayleigh number depends on the difference between concentrations of two plates. Therefore, the Solutal Rayleigh number also plays a vital role on the onset of convection. Since the Darcy number depends on the geometry of the parallel plate, the Darcy number affects the onset of convection because the geometry of the similar plate plays its role in governing the equations. Therefore, a graph is plotted for the critical Rayleigh number and the different values of Darcy number. Graphical representation of these values has been given in Figure 2 and Figure 3. Figure 2 provides a visual representation of Rac versus Ta for the fixed values of all other given parameters. From this figure, it is clear that the critical Rayleigh number increases as Ta increases, and hence the Taylor number has a stabilizing effect on the system. The same results were obtained for rotating parameters from Yadav et al. [42]. This effect can be attributed to the fact that Coriolis force, which arises due to rotation, enhances the horizontal motions, simultaneously limiting the vertical activity in the system. Overall, this leads to suppressed convective motion hence stabilizing the system. Furthermore, the behavior of the Soret parameter, i.e., S r = k 21 β s k 11 α on the onset of convection, is made clear in Figure 2. From Figure 2, it is clear that the critical Rayleigh number decreases as Sr increases, which means that Sr has a destabilizing effect. This happens because the Soret coefficient k21 or thermo-diffusion coefficient increases for the fixed value of thermal diffusivity. So, the Soret number makes a stronger disturbance in the system, and hence it becomes unstable. So, the onset of convection is in advance because of the Soret parameter. Figure 3 depicts a relation between critical wave number, ac, and Ta. One can observe from this figure that ac is an increasing function of Ta. Thus we conclude that the size of convection cells is reduced. However, critical wave number ac is not changed with an increase in the Soret number, so critical wave number is not dependent on Soret number. These results are confirmed by Yadav et al. [20], where the rotating parameter, Ta, has a stabilizing effect. Therefore, the onset of convection is delayed.
In Table 4, the critical values of Ra and a are represented for the different values of Taylor number and Du and the fixed values of Sr = 0.2, Rs = 200, Le = 5, and Da = 0.01. Visual representation of these values is given in Figure 4 and Figure 5. The critical value of Ra increases as Ta increases and decreases as Du increases (as shown in Figure 4). Hence, an increase in Ta causes stabilization of the system, whereas the behavior of the Dufour parameter, i.e., D u = k 12 α k 11 β s on the onset of convection, is made clear in Figure 4. From Figure 4, it is clear that the critical Rayleigh number decreases as Du increases, which means that Du has a destabilizing effect. This happens because the Dufour coefficient k12 or diffusion-thermal coefficient increases for the fixed value of thermal diffusivity. So, the Dufour number makes a stronger disturbance in the system, and hence it becomes unstable. This indicates that the onset of convection enhances due to Du. Parameter ac is an increasing function of Ta (see Figure 5). Thus we conclude that the size of convection cells reduces. When the Taylor number increases, Yadav et al. [43] obtain the same type of observation for critical wavenumbers were the size of convection cells contracts. However, ac is not changed with an increase in Du, which means that ac does not depend on Du, so the size of convection cells is independent on the Dufour parameter.
The graph of Rac and ac for different values of Ta and Rs is shown in Table 5 or Figure 6 and Figure 7. Figure 6 shows that the critical value of Ra increases as Rs increases; therefore, the onset of convection is delayed with the solutal Rayleigh number, hence system is stable. This may be interpreted from the definition of solutal Rayleigh number that the value of solutal Rayleigh number directly depends upon the difference between concentration at upper and lower plates. Hence, the difference between concentrations plays a role in determining the system’s stability; therefore, the solutal Rayleigh number helps for delaying the onset of convection. As Ta increases, the critical value of Ra increases (see Figure 6). Hence, Ta also has a stabilizing effect on the system. As we observed in Figure 3 and Figure 5, ac is an increasing function of Ta (see Figure 7), whereas critical wave number ac is not changed as Rs increases. So, the size of convection cells does not depend upon the solutal Rayleigh number.
The variation of critical values of Ra and wave number as a function of Taylor number for different values of Le is given in Table 6 or Figure 8 and Figure 9. Figure 8 indicates that Rac decreases as Le increases. This shows that Le causes a strong destabilization in the system. The interplay may be explained as the ratio of thermal diffusivity to mass diffusivity is defined as Lewis number. It comes into a fixture when we characterize the fluid flow where heat and mass transfer simultaneously happen. For example, Le >> 1 for fluid flow and gases around 1. For a given thermal diffusivity, a higher Lewis number corresponds to a lower molecular diffusivity, hence the critical Rayleigh number decreases, and therefore Le shows destabilization in the system. Alternately, the fixed value of molecular diffusivity Lewis number directly depends on thermal diffusivity. So thermal diffusivity causes a destabilization effect. Taylor number can stabilize the system as expected from Figure 2, Figure 4 and Figure 6. The critical value of a is not changed as the value of Le increases (see Figure 9). So the size of convection cells is independent on the Lewis number.
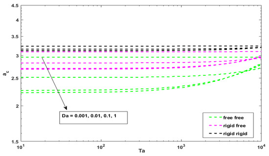
Variation of Rac and ac is defined as a function of Ta for the different values of Da as given in Table 7 or Figure 10 and Figure 11. The Darcy number is defined as the permeability ratio of the porous layer to the square of the distance between two parallel plates. The Darcy number increases when permeability is more than the square of the distance. From Figure 10, we observed an increase in the value of Da tends to decrease in the value of Rac, so the system is unstable, and the onset of convection enhances for the Darcy number. Moreover, as we observed in Figure 2, Figure 4, Figure 6 and Figure 8, Taylor number Ta can stabilize the system (see Figure 10). Figure 11 shows that the critical value of wave number decreases as Da increases, so the size of convection cells increases when the value of Da increases. These results are the same as the result of Yadav et al. [20], where the size of convection cells increases with an increase in the value of Darcy number Da.
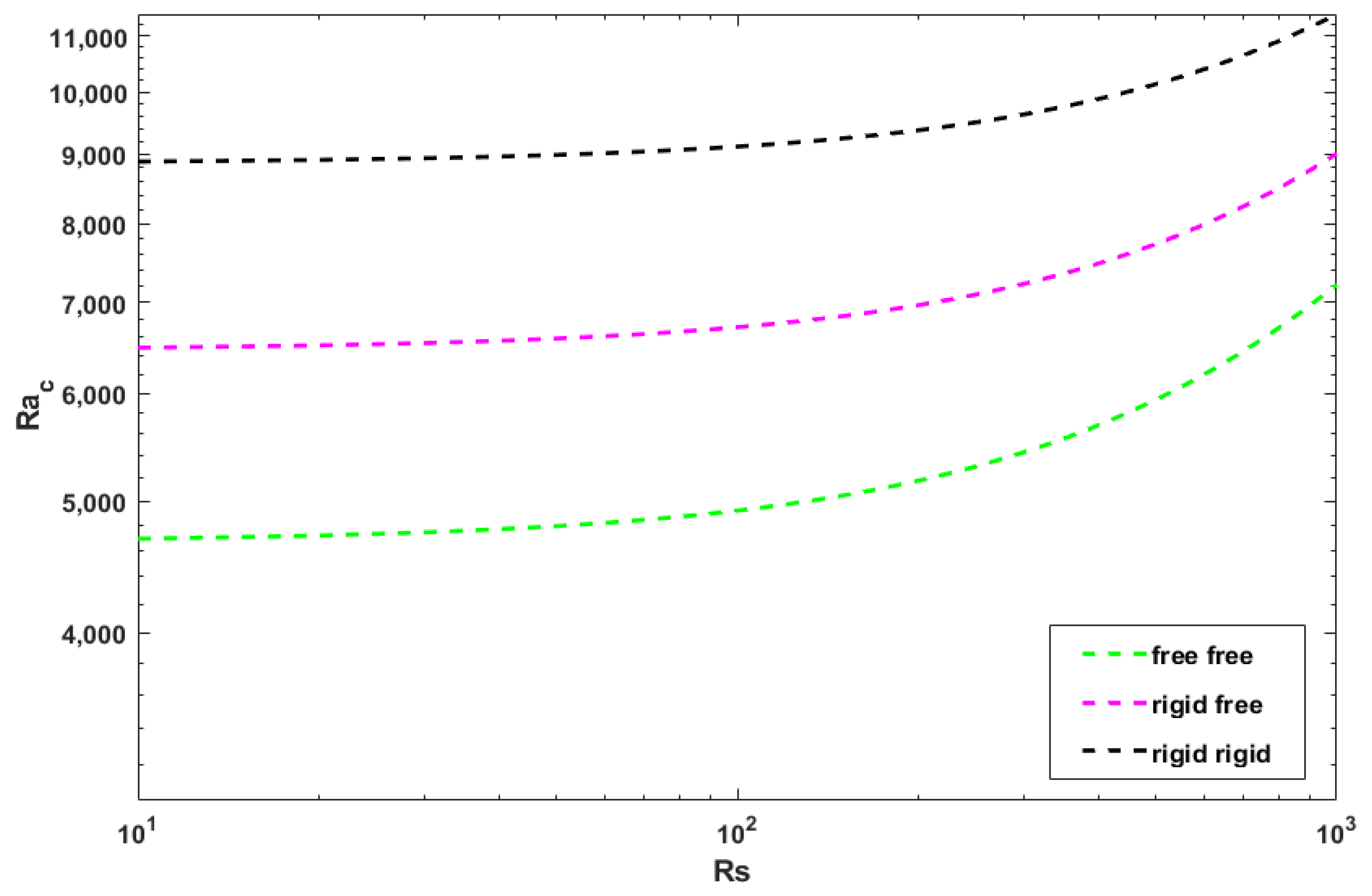
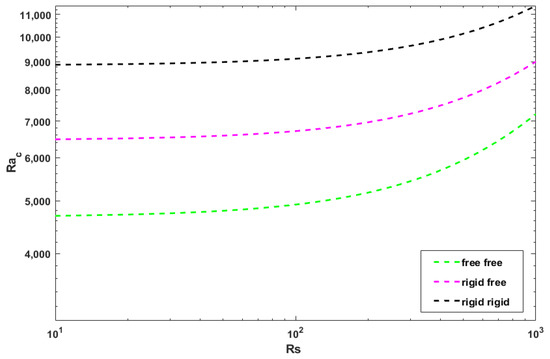
Figure 12 is plotted between critical Rayleigh number Rac and solutal Rayleigh number Rs with fixed value of Du = 0.02, Sr = 0.2, Le = 5, Da = 0.01, Λ = 8, ϕ = 0.9, M = 0.9 and Ta = 10. The impact of the solutal Rayleigh number on the onset of convection is plotted in Figure 12. It shows that critical Rayleigh number Rac increases when the solutal Rayleigh number Rs increases, so the system is stabilized with an increase in solutal Rayleigh number Rs. This may be interpreted from the definition of solutal Rayleigh number that the value of solutal Rayleigh number directly depends upon the difference between concentration at upper and lower plates. Hence, the difference between concentrations plays a role in determining the system’s stability. The system becomes more stable if the solutal Rayleigh number increases.

6. Conclusions

This paper shows the effect of cross-diffusion on rotating convection in a sparsely packed porous medium. One-term Galerkin weighted residual method solves the eigenvalue problem for free–free boundaries. The eigenvalue problem is solved for rigid–free and rigid–rigid boundaries using the BVP4c routine in MATLAB R2020b. Using the results discussed in the previous section, we now draw general conclusions of the problem:
  • The solutal Rayleigh number and Taylor number have stabilizing effect;
  • The Soret number, Lewis number, Dufour number and Darcy number have destabilizing influence on the system;
  • The critical wave number is an increasing function of Taylor number, so the size of convection cells decreases, and critical wave number is a decreasing function of the Darcy number; hence the size of convection cells increases;
  • The critical wave number does not depend on the Soret parameter, Lewis number, Dufour parameter and solutal Rayleigh number;
  • From the above obtained results, the system of rigid–rigid boundary is found to be most stable whereas the free–free boundary is found to be least stable.

Author Contributions

Conceptualization, R.R. and G.J.R.; methodology, S.S., R.R., and G.J.R.; software, R.R.; writing—original draft preparation, S.S., R.R., G.J.R., and M.A.S.; writing—review and editing, S.S., R.R., G.J.R., and M.A.S.; visualization, S.S. and R.R. All authors have read and agreed to the published version of the manuscript.

Funding

The second author acknowledges the support given by “SERB”, Department of Science & Technology, India, for this research work under the Grant No: ECR/2017/000357 and this research of the forth author was supported by the Grants Council (under the President of the Russian Federation), Grant No. MD-5799.2021.4.

Institutional Review Board Statement

Not applicable.

Informed Consent Statement

Not applicable.

Data Availability Statement

Not applicable.

Conflicts of Interest

The authors declare no conflict of interest.

Appendix A

The expressions given in Equations (36) and (37) are defined as:
I 1 = ( M 3 Pr 3 δ o c 4 ϕ 3 ( M 2 ( 1 + L e S r ) ( 1 + D u L e S r ) δ o c 4 + L e 2 ϕ ( M S r + ϕ ) σ 2 ) + D a 2 M Pr δ o c 2 ϕ × × ( M 4 Pr 2 ( 1 + L e S r ) δ o c 4 ( π 2 ( 1 + D u L e S r ) T a + Λ ( 2 a o c 2 ( 1 + D u ) L e R s + + 3 ( 1 + D u L e S r ) δ o c 6 Λ ) ϕ 2 M 3 Pr ϕ ( 2 δ o c 6 Λ + 2 L e S r δ o c 6 Λ + L e 2 Pr ( π 2 S r T a + + Λ ( 2 a o c 2 R s + 3 S r δ o c 6 Λ ) ϕ 2 σ 2 + M 2 ( L e 2 π 2 Pr 2 T a ϕ 2 + δ o c 6 ( 1 + L e ( S r ( 1 + D u + D u L e S r ) 2 ( 1 + D u ) L e Pr S r Λ ϕ 2 + 3 L e Pr 2 Λ 2 ϕ 4 σ 2 + L e 2 δ o c 2 ϕ 2 σ 4 L e 2 M δ o c 2 ϕ ( S r + 2 Pr Λ ϕ 2 ) σ 4 + + D a 3 ( M 5 Pr 3 ( 1 + L e S r ) δ o c 8 Λ ϕ ( π 2 ( 1 + D u L e S r ) T a + Λ ( a o c 2 ( 1 + D u ) L e R s + + ( 1 + D u L e S r ) δ o c 6 Λ ϕ 2 + M 3 Pr δ o c 4 ϕ ( δ o c 6 Λ + L e ( a o c 2 ( 1 + D u ) R s ( 1 + L e S r ) + + ( 1 + D u ) L e π 2 Pr S r T a S r ( 1 + D u + D u L e S r ) δ o c 6 Λ + L e Pr Λ ( π 2 Pr T a ( 1 + D u ) Λ S r δ o c 6 ϕ 2 + + L e Pr 2 δ o c 6 Λ 3 ϕ 4 σ 2 M 4 Pr 2 δ o c 4 ( Λ 2 ϕ 2 ( ( 1 + L e S r ) δ o c 6 + L e 2 Pr ( a o c 2 R s + S r δ o c 6 Λ ) ϕ 2 + π 2 T a ( 1 + + L e S r ( 1 + L e Pr Λ ϕ 2 ) σ 2 + L e 2 M δ o c 6 ϕ ( ( 1 + D u ) S r + Pr Λ ϕ 2 ) σ 4 M 2 ( L e 2 Pr ( a o c 2 R s + π 2 Pr T a ) ϕ 2 + δ o c 6 ( 1 + L e S r + L e 2 Pr Λ ϕ 2 ( S r + Pr Λ ϕ 2 ) σ 4 L e 2 δ o c 2 ϕ 2 σ 6 + D a M 2 Pr 2 ϕ 2 ( a o c 2 L e M 2 Pr R s ϕ ( ( 1 + D u ) M ( 1 + L e S r ) δ o c 4 + L e ϕ σ 2 ) δ o c 2 ( 3 M 3 Pr ( 1 + L e S r ) ( 1 + D u L e S r ) δ o c 8 Λ ϕ + M δ o c 4 ( M + L e 2 ϕ ( S r + D u S r 3 Pr Λ ϕ 2 ) + + L e M S r ( 1 + 3 L e Pr Λ ϕ 2 ) ) σ 2 + L e 2 ϕ 2 σ 4 ) ) ) / ( a o c 2 D a K M Pr ϕ )
I 2 = D a L e 2 δ o c 2 ( M Pr ϕ 2 + D a δ o c ( M S r + ϕ + M Pr Λ ϕ 2 ) ) / ( a o c 2 M Pr )
I 3 = M ( D a 3 ( 1 + L e S r ) ( 1 + D u L e S r ) δ o c 8 + D a 2 M Pr δ o c 2 ( a o c 2 D a L e R s ( 1 + L e S r ) + δ o c 4 + + L e S r ( D a L e π 2 Pr T a + δ o c 4 ) + D a ( 1 + L e S r ) δ o c 6 Λ ) ϕ + D a 2 L e 2 Pr δ o c 2 ( a o c 2 D a ( 1 + D u ) R s D a π 2 Pr T a + ( 1 + D u ) S r δ o c 4 + D a ( 1 + D u ) S r δ o c 6 Λ ) ϕ 2 + D a L e 2 M Pr 2 ( 1 + D a δ o c 2 Λ ) × × ( D a π 2 Pr T a S r δ o c 4 D a S r δ o c 6 Λ ) ϕ 3 + D a L e 2 Pr 2 δ o c 4 ( 1 + Λ D a δ o c 2 ) 2 ϕ 4 + L e 2 M δ o c 2 ( Pr + + D a Pr δ o c 2 Λ ) 3 ϕ 5 ) / ( a o c 2 D a Pr ϕ ) ,
I 4 = M 3 Pr δ o c 2 ( D a 3 π 2 ( 1 + L e S r ) ( 1 + D u L e S r ) T a δ o c 4 + + D a 2 M π 2 Pr ( 1 + L e S r ) T a δ o c 2 ( 1 + D a δ o c 2 Λ ) ϕ + D a δ o c 2 ( 1 + Λ D a δ o c 2 ) ( D a ( 1 + D u ) L e 2 π 2 Pr S r T a ( 1 + L e S r ) ( 1 + D u L e S r ) δ o c 4 D a ( 1 + L e S r ) ( 1 + D u L e S r ) δ o c 6 Λ ) ϕ 2 + M Pr ( 1 + L e S r ) ( 1 + D a δ o c 2 Λ ) 2 ( a o c 2 D a L e R s + δ o c 4 + D a δ o c 6 Λ ) ϕ 3 + ( 1 + D u ) Pr ( L e + D a L e δ o c 2 Λ ) 2 ( a o c 2 D a R s + S r δ o c 4 + D a S r δ o c 6 Λ ) ϕ 4 ) / ( a o c 2 D a ϕ )
K = ( ( M Pr ϕ + D a M Pr δ o c 2 Λ ϕ ) 2 + D a 2 σ 2 ) ( ( M δ o c 2 + L e M S r δ o c 2 ) 2 + L e 2 ϕ 2 σ 2 )
δ s c 2 = π 2 + a s c 2 ,   δ o c 2 = π 2 + a o c 2 ,   χ 1 = ( 1 + D u ) ,   χ 2 = ( 1 + L e S r ) , χ 3 = ( 1 D u L e S r ) ,   χ 4 = ( 1 D a + Λ δ s c 2 )

References

  1. Horton, C.W.; Rogers, F.T. Convection currents in a porous medium. J. Appl. Phys. 1945, 16, 367–370. [Google Scholar] [CrossRef]
  2. Lapwood, E.R. Convection of a fluid in a porous medium. Proc. Camb. Philos. Soc. 1948, 44, 508–521. [Google Scholar] [CrossRef]
  3. Tagare, S.G. Effect of rotation on Rayleigh-Benard convection with large Prandtl number. J. Phys. Soc. Jpn. 1994, 63, 1351–1357. [Google Scholar] [CrossRef]
  4. Gupta, J.R.; Sood, S.K.; Bhardwaj, U.D. On Rayleigh-Benard convection with rotation and magnetic field. Z. Angew. Math. Und Phys. ZAMP 1984, 35, 252–256. [Google Scholar] [CrossRef]
  5. Tagare, S.G.; Babu, A.B.; Rameshwar, Y. Rayleigh–Benard convection in rotating fluids. Int. J. Heat Mass Transf. 2008, 51, 1168–1178. [Google Scholar] [CrossRef]
  6. Om Bhadauria, B.S.; Khan, A. Rotating Brinkman–Lapwood convection with modulation. Transp. Porous Media 2011, 88, 369–383. [Google Scholar]
  7. Novi, L.; Hardenberg, J.; Hughes, D.W.; Provenzale, A.; Spiegel, E.A. Rapidly rotating Rayleigh-Benard convection with a tilted axis. Phys. Rev. E 2019, 99, 053116. [Google Scholar] [CrossRef] [PubMed]
  8. King, M.P.; Wilson, M.; Owen, J.M. Rayleigh-Benard convection in open and closed rotating cavities. J. Eng. Gas Turbines Power 2007, 129, 305–311. [Google Scholar] [CrossRef]
  9. Bhadauria, B.S.; Siddheshwar, P.G.; Kumar, J.; Suthar, O.P. Weakly nonlinear stability analysis of temperature/gravity-modulated stationary Rayleigh-Benard convection in a rotating porous medium. Transp. Porous Media 2012, 92, 633–647. [Google Scholar] [CrossRef]
  10. Venkatesh, B.K.P.; Pranesh, S. Linear and non linear analysis of double diffusive convection in a vertically oscillating couple stress fluid with cross diffusion effects. Int. J. Appl. Eng. Res. 2018, 13, 16498–16508. [Google Scholar]
  11. Kim, J.; Kang, Y.T.; Choi, C.K. Soret and Dufour effects on convective instabilities in binary nanofluids for absorption application. Int. J. Refrig. 2007, 30, 323–328. [Google Scholar] [CrossRef]
  12. Hu, J.; Hadid, H.B.; Henry, D. Linear stability analysis of Poiseuille-Rayleigh-Benard flows in binary fluids with Soret effect. Phys. Fluids 2007, 19, 034101. [Google Scholar] [CrossRef]
  13. Stevens, R.J.A.M.; Clercx, H.J.H.; Lohse, D. Heat transport and flow structure in rotating Rayleigh-Benard convection. Eur. J. Mech. B Fluids 2013, 40, 14–49. [Google Scholar] [CrossRef]
  14. Duba, C.T.; Shekar, M.; Narayana, M.; Sibanda, P. Soret and Dufour effects on thermohaline convection in rotating fluids. Geophys. Astrophys. Fluid Dyn. 2016, 110, 317–347. [Google Scholar] [CrossRef]
  15. Khalid, I.K.; Mokhtar, N.F.M.; Siri, Z.; Ibrahim, Z.B.; Abd Gani, S.S. Magnetoconvection on the double-diffusive nanofluids layer subjected to internal heat generation in the presence of Soret and Dufour effects. Malays. J. Math. Sci. 2019, 13, 397–418. [Google Scholar]
  16. Eckert, E.R.G.; Drake, R.M. Analysis of Heat and Mass Transfer; McGraw-Hill: New York, NY, USA, 1972. [Google Scholar]
  17. Niche, H.B.; Bouabdallah, S.; Ghernaout, B.; Teggar, M. Unsteady double diffusive natural convection with Dufour and Soret effects. Int. J. Heat Technol. 2016, 34, 39–46. [Google Scholar] [CrossRef]
  18. Gaikwad, S.N.; Kamble, S. Cross-diffusion effects on the onset of double diffusive convection in a couple stress fluid saturated rotating anisotropic porous layer. J. Appl. Fluid Mech. 2016, 9, 1645–1654. [Google Scholar] [CrossRef]
  19. Malashetty, M.S.; Gaikwad, S.N.; Swamy, M. An analytical study of linear and non-linear double diffusive convection with Soret effect in couple stress liquids. Int. J. Therm. Sci. 2006, 45, 897–907. [Google Scholar] [CrossRef]
  20. Yadav, D.; Wang, J.; Lee, J. Onset of Darcy-Brinkman convection in a rotating porous layer induced by purely internal heating. J. Porous Media 2017, 20, 691–706. [Google Scholar] [CrossRef]
  21. Ravi, R.; Kanchana, C.; Siddheshwar, P.G. Effects of second diffusing component and cross diffusion on primary and secondary thermoconvective instabilities in couple stress liquids. Appl. Math. Mech. 2017, 38, 1579–1600. [Google Scholar] [CrossRef]
  22. Rana, G.C.; Kango, S.K. Effect of rotation on thermal instability of compressible Walters’ (Model B) fluid in porous medium. J. Adv. Res. Appl. Math. 2011, 3, 44–57. [Google Scholar] [CrossRef]
  23. Malashetty, M.S.; Swamy, M. The effect of rotation on the onset of convection in a horizontal anisotropic porous layer. Int. J. Therm. Sci. 2007, 46, 1023–1032. [Google Scholar] [CrossRef]
  24. Malashetty, M.S.; Swamy, M.; Kulkarni, S. Thermal convection in a rotating porous layer using a thermal nonequilibrium model. Phys. Fluids 2007, 19, 054102. [Google Scholar] [CrossRef]
  25. Malashetty, M.S.; Swamy, M.S.; Sidram, W. Thermal convection in a rotating viscoelastic fluid saturated porous layer. Int. J. Heat Mass Transf. 2010, 53, 5747–5756. [Google Scholar] [CrossRef]
  26. Malashetty, M.S.; Swamy, M.S.; Sidram, W. Double diffusive convection in a rotating anisotropic porous layer saturated with viscoelastic fluid. Int. J. Therm. Sci. 2011, 50, 1757–1769. [Google Scholar] [CrossRef]
  27. Mahajan, A.; Sharma, M.K. Penetrative convection in a rotating internally heated magnetic nanofluid layer. J. Nanofluids 2019, 8, 187–198. [Google Scholar] [CrossRef]
  28. Chand, R.; Yadav, D.; Rana, G.C. Thermal instability of couple-stress nanofluid with vertical rotation in a porous medium. J. Porous Media 2017, 20, 635–648. [Google Scholar] [CrossRef]
  29. Yadav, D. The density-driven nanofluid convection in an anisotropic porous medium layer with rotation and variable gravity field: A numerical investigation. J. Appl. Comput. Mech. 2020, 6, 699–712. [Google Scholar]
  30. Rana, G.C.; Kumar, S. Effect of rotation and suspended particles on the stability of an incompressible Walters’ (Model B) fluid heated from below under a variable gravity field in a porous medium. Eng. Trans. 2012, 60, 55–68. [Google Scholar]
  31. Rana, G.C.; Chand, R.; Sharma, V. The effect of rotation on the onset of electrohydrodynamic instability of an elastico-viscous dielectric fluid layer. Bull. Pol. Acad. Sci. Tech. Sci. 2016, 64, 143–149. [Google Scholar] [CrossRef][Green Version]
  32. Mikhailenko, S.A.; Sheremet, M.A.; Mahian, O. Effects of uniform rotation and porous layer on free convection in an enclosure having local heat source. Int. J. Therm. Sci. 2019, 138, 276–284. [Google Scholar] [CrossRef]
  33. Mikhailenko, S.A.; Sheremet, M.A. Impacts of rotation and local element of variable heat generation on convective heat transfer in a partially porous cavity using local thermal non-equilibrium model. Int. J. Therm. Sci. 2020, 155, 106427. [Google Scholar] [CrossRef]
  34. Bhatti, M.M.; Zeeshan, A.; Ellahi, R.; Shit, G.C. Mathematical modeling of heat and mass transfer effects on MHD peristaltic propulsion of two-phase flow through a Darcy-Brinkman-Forchheimer porous medium. Adv. Powder Technol. 2018, 29, 1189–1197. [Google Scholar] [CrossRef]
  35. Vazifehshenas, F.H.; Bahadori, F. Investigation of Soret effect on drug delivery in a tumor without necrotic core. J. Taiwan Inst. Chem. Eng. 2019, 102, 17–24. [Google Scholar] [CrossRef]
  36. Iasiello, M.; Vafai, K.; Andreozzi, A.; Bianco, N. Hypo-and hyperthermia effects on LDL deposition in a curved artery. Comput. Therm. Sci. Int. J. 2019, 11, 95–103. [Google Scholar] [CrossRef]
  37. Singh, S.; Melnik, R. Fluid–structure interaction and non-fourier effects in coupled electro-thermo-mechanical models for cardiac ablation. Fluids 2021, 6, 294. [Google Scholar] [CrossRef]
  38. Iasiello, M.; Vafai, K.; Andreozzi, A.; Bianco, N. Low-density lipoprotein transport through an arterial wall under hyperthermia and hypertension conditions–An analytical solution. J. Biomech. 2016, 49, 193–204. [Google Scholar] [CrossRef] [PubMed]
  39. Ravi, R.; Kanchana, C.; Reddy, G.J.; Basha, H. Study of Soret and Dufour effects and secondary instabilities on Rayleigh-Benard convection in a couple stress fluid. Eur. Phys. J. Plus 2018, 133, 513. [Google Scholar] [CrossRef]
  40. Babu, A.B.; Ravi, R.; Tagare, S.G. Nonlinear rotating convection in a sparsely packed porous medium. Commun. Nonlinear Sci. Numer. Simul. 2012, 17, 5042–5063. [Google Scholar] [CrossRef]
  41. Chandrasekhar, S. Hydrodynamic and Hydromagnetic Stability; Dover: New York, NY, USA, 1961. [Google Scholar]
  42. Yadav, D.; Bhargava, R.; Agrawal, G.S.; Hwang, G.S.; Lee, J.; Kim, M.C. Magneto-convection in rotating layer of nanofluid. Asia-Pac. J. Chem. Eng. 2014, 9, 663–677. [Google Scholar] [CrossRef]
  43. Yadav, D.; Bhargava, R.; Agrawal, G.S. Numerical solution of a thermal instability problem in a rotating nanofluid layer. Int. J. Heat Mass Transf. 2013, 63, 313–322. [Google Scholar] [CrossRef]
Figure 1. Schematic of the problem.
Figure 1. Schematic of the problem.
Coatings 12 00023 g001
Figure 2. Variation of Rac with Ta for Da = 0.01, Du = 0.02, Rs = 200, Le = 5, Λ = 8, M = 0.9, ϕ = 0.9.
Figure 2. Variation of Rac with Ta for Da = 0.01, Du = 0.02, Rs = 200, Le = 5, Λ = 8, M = 0.9, ϕ = 0.9.
Coatings 12 00023 g002
Figure 3. Variation of ac with Ta for Da = 0.01, Du = 0.02, Rs = 200, Le = 5, Λ = 8, M = 0.9, ϕ = 0.9.
Figure 3. Variation of ac with Ta for Da = 0.01, Du = 0.02, Rs = 200, Le = 5, Λ = 8, M = 0.9, ϕ = 0.9.
Coatings 12 00023 g003
Figure 4. Variation of Rac with Ta for Da = 0.01, Sr = 0.2, Rs = 200, Le = 5, Λ = 8, M = 0.9, ϕ = 0.9.
Figure 4. Variation of Rac with Ta for Da = 0.01, Sr = 0.2, Rs = 200, Le = 5, Λ = 8, M = 0.9, ϕ = 0.9.
Coatings 12 00023 g004
Figure 5. Variation of ac with Ta for Da = 0.01, Sr = 0.2, Rs = 200, Le = 5, Λ = 8, M = 0.9, ϕ = 0.9.
Figure 5. Variation of ac with Ta for Da = 0.01, Sr = 0.2, Rs = 200, Le = 5, Λ = 8, M = 0.9, ϕ = 0.9.
Coatings 12 00023 g005
Figure 6. Variation of Rac with Ta for Da = 0.01, Du = 0.02, Sr = 0.2, Le = 5, Λ = 8, M = 0.9, ϕ = 0.9.
Figure 6. Variation of Rac with Ta for Da = 0.01, Du = 0.02, Sr = 0.2, Le = 5, Λ = 8, M = 0.9, ϕ = 0.9.
Coatings 12 00023 g006
Figure 7. Variation of ac with Ta for Da = 0.01, Du = 0.02, Sr = 0.2, Le = 5, Λ = 8, M = 0.9, ϕ = 0.9.
Figure 7. Variation of ac with Ta for Da = 0.01, Du = 0.02, Sr = 0.2, Le = 5, Λ = 8, M = 0.9, ϕ = 0.9.
Coatings 12 00023 g007
Figure 8. Variation of Rac with Ta for Da = 0.01, Du = 0.02, Rs = 200, Sr = 0.2, Λ = 8, M = 0.9, ϕ = 0.9.
Figure 8. Variation of Rac with Ta for Da = 0.01, Du = 0.02, Rs = 200, Sr = 0.2, Λ = 8, M = 0.9, ϕ = 0.9.
Coatings 12 00023 g008
Figure 9. Variation of ac with Ta for Da = 0.01, Du = 0.02, Rs = 200, Sr = 0.2, Λ = 8, M = 0.9, ϕ = 0.9.
Figure 9. Variation of ac with Ta for Da = 0.01, Du = 0.02, Rs = 200, Sr = 0.2, Λ = 8, M = 0.9, ϕ = 0.9.
Coatings 12 00023 g009
Figure 10. Variation of Rac with Ta for Sr = 0.2, Du = 0.02, Rs = 200, Le = 5, Λ = 8, M = 0.9, ϕ = 0.9.
Figure 10. Variation of Rac with Ta for Sr = 0.2, Du = 0.02, Rs = 200, Le = 5, Λ = 8, M = 0.9, ϕ = 0.9.
Coatings 12 00023 g010
Figure 11. Variation of ac with Ta for Sr = 0.2, Du = 0.02, Rs = 200, Le = 5, Λ = 8, M = 0.9, ϕ = 0.9.
Figure 11. Variation of ac with Ta for Sr = 0.2, Du = 0.02, Rs = 200, Le = 5, Λ = 8, M = 0.9, ϕ = 0.9.
Coatings 12 00023 g011
Figure 12. Effect of solutal Rayleigh number on Rac.
Figure 12. Effect of solutal Rayleigh number on Rac.
Coatings 12 00023 g012
Table 1. Comparison between the present article’s results with existing results for Rigid–Free boundary conditions for limiting case of sparsely packed porous medium.
Table 1. Comparison between the present article’s results with existing results for Rigid–Free boundary conditions for limiting case of sparsely packed porous medium.
TaChandrasekhar [41]Present Study
Rigid–FreeRigid–Free
RacacRacac
01100.62.681100.6592.687
6.251108.52.681107.7342.697
31.251135.92.701135.6882.737
62.51169.52.791168.7272.798
187.51291.72.971290.8082.975
6251637.63.401637.4083.394
18752360.34.002358.3374.006
62504047.74.924044.9444.930
Table 2. Comparison between the present article’s results with existing results for Rigid–rigid boundary conditions for limiting case of sparsely packed porous medium.
Table 2. Comparison between the present article’s results with existing results for Rigid–rigid boundary conditions for limiting case of sparsely packed porous medium.
TaChandrasekhar [41]Present Study
Rigid–RigidRigid–Rigid
RacacRacac
01707.73.111707.7673.115
101713.03.101712.6793.121
1001756.63.151756.3523.162
5001940.33.301940.2043.318
10002151.73.502151.3453.484
20002530.53.752530.1293.746
50003469.24.253468.5004.263
10,0004713.14.804712.0474.788
30,0008326.45.808324.6145.797
Table 3. Critical values of Ra and a for Da = 0.01, Du = 0.02, Rs = 200, Le = 5, Λ = 8, M = 0.9, ϕ = 0.9.
Table 3. Critical values of Ra and a for Da = 0.01, Du = 0.02, Rs = 200, Le = 5, Λ = 8, M = 0.9, ϕ = 0.9.
TaSrFree–FreeRigid–FreeRigid–Rigid
RacacRacacRacac
100.25174.7442.5126968.2682.8249372.5953.156
0.43386.3632.5124557.6442.8246127.8173.156
0.62492.1732.5123352.3332.8244505.4283.156
0.81955.6592.5122629.1462.8243531.9953.156
1000.25180.7442.5146972.6042.8259375.1753.156
0.43390.2822.5144560.4762.8256129.5023.156
0.62495.0512.5143354.4122.8254506.6653.156
0.81957.9122.5142630.7742.8253532.9643.156
10000.25240.3032.5357015.7942.8369400.9343.161
0.43429.1782.5354588.6822.8366146.3243.161
0.62523.6152.5353375.1262.8364519.0193.161
0.81980.2772.5352646.9922.8363542.6363.161
Table 4. Critical values of Ra and a for Da = 0.01, Sr = 0.2, Rs = 200, Le = 5, Λ = 8, M = 0.9, ϕ = 0.9.
Table 4. Critical values of Ra and a for Da = 0.01, Sr = 0.2, Rs = 200, Le = 5, Λ = 8, M = 0.9, ϕ = 0.9.
TaDuFree–FreeRigid–FreeRigid–Rigid
RacacRacacRacac
100.025174.7442.5126968.2682.8249372.5953.156
0.045089.5452.5126846.4672.8249201.7263.156
0.065004.3462.5126724.6652.8249030.8573.156
0.084919.1472.5126602.8642.8248859.9873.156
1000.025180.7442.5146972.6042.8259375.1753.156
0.045095.4232.5146850.7142.8259204.2533.156
0.065010.1012.5146728.8242.8259033.3313.156
0.084924.7802.5146606.9342.8258862.4093.156
10000.025240.3032.5357015.7942.8369400.9343.161
0.045153.7672.5356893.0232.8369229.4863.161
0.065067.2302.5356770.2522.8369058.0383.161
0.084980.6932.5356647.4802.8368886.5913.161
Table 5. Critical values of Ra and a for Da = 0.01, Du = 0.02, Sr = 0.2, Le = 5, Λ = 8, M = 0.9, ϕ = 0.9.
Table 5. Critical values of Ra and a for Da = 0.01, Du = 0.02, Sr = 0.2, Le = 5, Λ = 8, M = 0.9, ϕ = 0.9.
TaRsFree–FreeRigid–FreeRigid–Rigid
RacacRacacRacac
101004919.7442.5126713.2682.8249117.5953.156
1505047.2442.5126840.7682.8249245.0953.156
2005174.7442.5126968.2682.8249372.5953.156
2505302.2442.5127095.7682.8249500.0953.156
1001004925.7442.5146717.6042.8259120.1753.156
1505053.2442.5146845.1042.8259247.6753.156
2005180.7442.5146972.6042.8259375.1753.156
2505308.2442.5147100.1042.8259502.6753.156
10001004985.3032.5356760.7942.8369145.9343.161
1505112.8032.5356888.2942.8369273.4343.161
2005240.3032.5357015.7942.8369400.9343.161
2505367.8032.5357143.2942.8369528.4343.161
Table 6. Critical values of Ra and a for Da = 0.01, Du = 0.02, Rs = 200, Sr = 0.2, Λ = 8, M = 0.9, ϕ = 0.9.
Table 6. Critical values of Ra and a for Da = 0.01, Du = 0.02, Rs = 200, Sr = 0.2, Λ = 8, M = 0.9, ϕ = 0.9.
TaLeFree–FreeRigid–FreeRigid–Rigid
RacacRacacRacac
1036261.0292.5128521.2362.82411,551.1793.156
45657.5372.5127658.4762.82410,340.8543.156
55174.7442.5126968.2682.8249372.5953.156
64779.7312.5126403.5532.8248580.3833.156
10036268.5912.5148526.7002.82511,554.4293.156
45664.2312.5147663.3132.82510,343.7323.156
55180.7442.5146972.6042.8259375.1753.156
64785.1632.5146407.4782.8258582.7183.156
100036343.6482.5358581.1292.83611,586.8913.161
45730.6792.5357711.4982.83610,372.4703.161
55240.3032.5357015.7942.8369400.9343.161
64839.0872.5356446.5822.8368606.0403.161
Table 7. Critical values of Ra and a for Sr = 0.2, Du = 0.02, Rs = 200, Le = 5, Λ = 8, M = 0.9, ϕ = 0.9.
Table 7. Critical values of Ra and a for Sr = 0.2, Du = 0.02, Rs = 200, Le = 5, Λ = 8, M = 0.9, ϕ = 0.9.
TaDaFree–FreeRigid–FreeRigid–Rigid
RacacRacacRacac
100.00122,816.6662.95525,371.4343.09428,350.4733.237
0.015174.7442.5126968.2682.8249372.5953.156
0.13304.9912.2645042.8152.7057422.5873.126
13110.6852.2274847.1882.6847226.5863.116
1000.00122,817.6622.95525,372.3593.09428,351.2963.237
0.015180.7442.5146972.6042.8259375.1753.156
0.13317.0222.2735049.9362.7057425.8303.126
13124.0632.2364854.8612.6917229.9243.116
10000.0016343.6482.5358581.1293.09428,359.5303.237
0.015730.6792.5357711.4982.8369400.9343.161
0.15240.3032.5357015.7942.7337458.2523.126
14839.0872.5356446.5822.7197263.2093.126
Publisher’s Note: MDPI stays neutral with regard to jurisdictional claims in published maps and institutional affiliations.

Share and Cite

MDPI and ACS Style

Shekhar, S.; Ragoju, R.; Reddy, G.J.; Sheremet, M.A. The Coriolis Effect on Thermal Convection in a Rotating Sparsely Packed Porous Layer in Presence of Cross-Diffusion. Coatings 2022, 12, 23. https://doi.org/10.3390/coatings12010023

AMA Style

Shekhar S, Ragoju R, Reddy GJ, Sheremet MA. The Coriolis Effect on Thermal Convection in a Rotating Sparsely Packed Porous Layer in Presence of Cross-Diffusion. Coatings. 2022; 12(1):23. https://doi.org/10.3390/coatings12010023

Chicago/Turabian Style

Shekhar, Suman, Ravi Ragoju, Gudala Janardhana Reddy, and Mikhail A. Sheremet. 2022. "The Coriolis Effect on Thermal Convection in a Rotating Sparsely Packed Porous Layer in Presence of Cross-Diffusion" Coatings 12, no. 1: 23. https://doi.org/10.3390/coatings12010023

APA Style

Shekhar, S., Ragoju, R., Reddy, G. J., & Sheremet, M. A. (2022). The Coriolis Effect on Thermal Convection in a Rotating Sparsely Packed Porous Layer in Presence of Cross-Diffusion. Coatings, 12(1), 23. https://doi.org/10.3390/coatings12010023

Note that from the first issue of 2016, this journal uses article numbers instead of page numbers. See further details here.

Article Metrics

Back to TopTop