Stress Analysis of Multilayered Coatings Subjected to Surface Point Contact Loading Based on Its Three-Dimensional Elastic Field Solution
Abstract
1. Introduction
2. Theoretical Formulation
2.1. Problem Description
2.2. General Solution of the Elastic Field Governing Equation
2.3. General Solution of the Elastic Field Governing Equation
2.4. Determination of the Undetermined Constants
2.5. 2D IFFT Based Numerical Conversion Algorithm
- A rectangular area is selected as the calculation domain and divided uniformly into elements. Both and should be a positive integer power of 2. Usually and are , and are . and are the discretization size in x and y direction respectively.
- The grid in frequency domain is refined into elements, where , and should be a non-negative integer to the power 2.
- A two-dimensional matrix is constructed by using the solution of in frequency domain:where , and is an aliasing phenomenon control parameter.
- Another two-dimensional matrix is established by applying wrap-order operation to the two-dimensional as follows:
- Apply 2D IFFT to the matrix :
- On each element, the stress in the discrete space domain are:
3. Validation of the Present Method
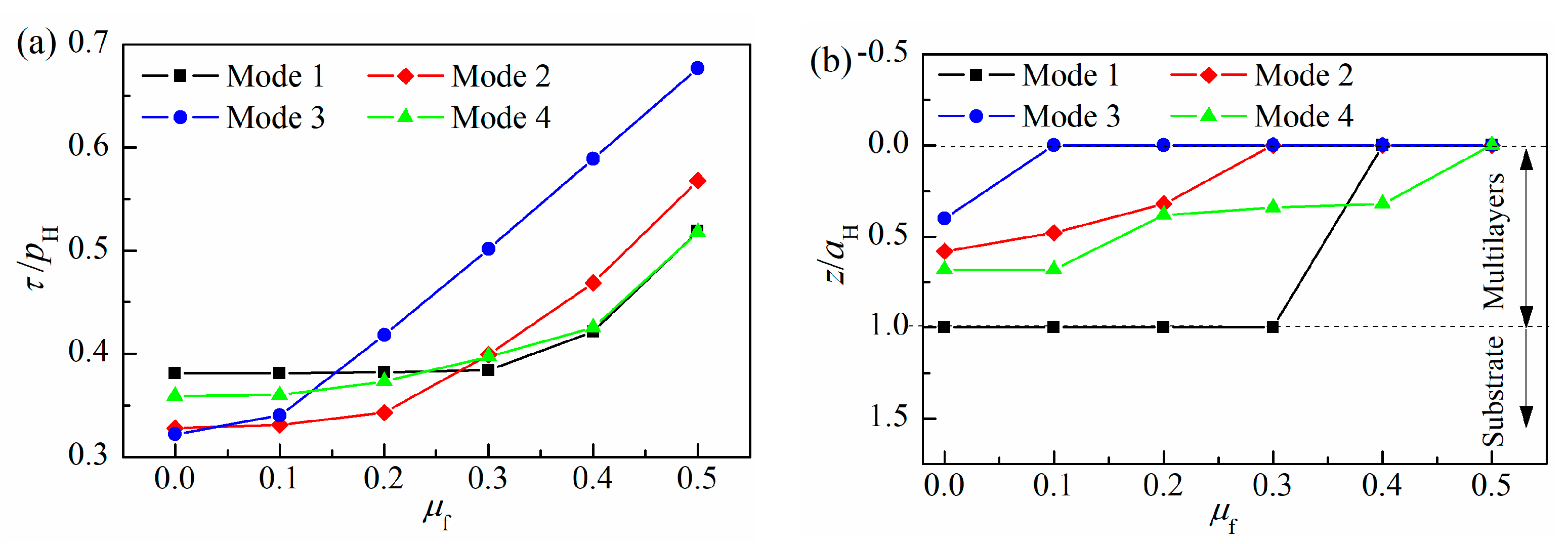
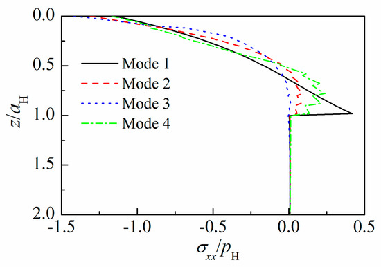
4. Numerical Investigation and Discussion
5. Conclusions
- A 3D elastic field solution of multilayered solids which has no limit on the layer number of multilayered coatings is developed and validated.
- The disadvantages of homogeneous hard coatings can be effectively overcome by adopting a proper gradient structural layout of multilayered coatings.
- The preferable structural layout of multilayered coatings subjected to surface point contact loading for specific friction coefficient is different from that of multilayered coatings subjected to surface line contact loading. For multilayered solids subjected to surface point contact loading, the gradient structural layout with elasticity modulus decreasing gradually from the top layer to the substrate is preferable for a friction coefficient smaller than 0.1 and the gradient structural layout with elasticity modulus increasing first in the top layers and then decreasing in the bottom layers is preferable for a friction coefficient larger than 0.2.
Author Contributions
Funding
Conflicts of Interest
Appendix A
Appendix B
References
- Holmberg, K.; Matthews, A.; Ronkainen, H. Coatings tribology—Contact mechanisms and surface design. Tribol. Int. 1998, 31, 107–120. [Google Scholar] [CrossRef]
- Li, J.; Zheng, H.; Sinkovits, T.; Hee, A.C.; Zhao, Y. Mono- and multiple Tin(/Ti) coating adhesion mechanism on a Ti–13nb–13zr alloy. Appl. Surf. Sci. 2015, 355, 502–508. [Google Scholar]
- He, D.; Li, X.; Pu, J.; Wang, L.; Zhang, G.; Lu, Z.; Li, W.; Xue, Q. Improving the mechanical and tribological properties of TiB2 /a-C nanomultilayers by structural optimization. Ceram. Int. 2018, 44, 3356–3363. [Google Scholar] [CrossRef]
- Zhang, J.; Wang, T.; Zhang, C.; Wang, L.; Ma, X.; Yin, L.; Zhan, L.; Sun, D. A two-dimensional contact model between a multilayered solid and a rigid cylinder. Surf. Coat. Technol. 2019, 360, 382–390. [Google Scholar]
- Zhang, J.; Wang, T.; Zhang, C.; Yin, L.; Wu, Y.; Zhao, Y.; Ma, X.; Gu, L.; Wang, L. Two-dimensional mechanical behavior analysis of multilayered solids subjected to surface contact loading based on a semi-analytical method. Coatings 2020, 10, 429. [Google Scholar]
- Tranter, C.J.; Sneddon, I.N. Fourier transforms. Math. Gaz. 1952, 36, 290. [Google Scholar]
- Gupta, P.K.; Walowit, J.A. Contact stresses between an elastic cylinder and a layered elastic solid. J. Lubr. Technol. 1974, 96, 250–257. [Google Scholar]
- King, R.B.; O’sullivan, T.C. Sliding contact stresses in a two-dimensional layered elastic half-space. Int. J. Solids Struct. 1987, 23, 581–597. [Google Scholar]
- Elsharkawy, A.A. Effect of friction on subsurface stresses in sliding line contact of multilayered elastic solids. Int. J. Solids Struct. 1999, 36, 3903–3915. [Google Scholar]
- Wang, T.-J.; Wang, L.-Q.; Gu, L.; Zhao, X.-L. Numerical analysis of elastic coated solids in line contact. J. Cent. South Univ. 2015, 22, 2470–2481. [Google Scholar]
- O’Sullivan, T.C.; King, R.B. Sliding contact stress field due to a spherical indenter on a layered elastic half-space. J. Tribol. 1988, 110, 235–240. [Google Scholar] [CrossRef]
- Nogi, T.; Kato, T. Influence of a hard surface layer on the limit of elastic contact—Part I: Analysis using a real surface model. J. Tribol. 1997, 119, 493–500. [Google Scholar] [CrossRef]
- Wang, Z.-J.; Wang, W.-Z.; Wang, H.; Zhu, N.; Hu, Y.-Z. Partial slip contact analysis on three-dimensional elastic layered half space. J. Tribol. 2010, 132, 021403. [Google Scholar] [CrossRef]
- Wang, T.; Wang, L.; Gu, L.; Zheng, D. Stress analysis of elastic coated solids in point contact. Tribol. Int. 2015, 86, 52–61. [Google Scholar] [CrossRef]
- Yu, C.; Wang, Z.; Liu, G.; Keer, L.M.; Wang, Q.J. Maximum von mises stress and its location in trilayer materials in contact. J. Tribol. 2016, 138, 041402. [Google Scholar] [CrossRef]
- Tobi, A.M.; Shipway, P.; Leen, S. Finite element modelling of brittle fracture of thick coatings under normal and tangential loading. Tribol. Int. 2013, 58, 29–39. [Google Scholar] [CrossRef]
- Kang, J.-J.; Xu, B.; Wang, H.; Wang, C. Competing failure mechanism and life prediction of plasma sprayed composite ceramic coating in rolling–sliding contact condition. Tribol. Int. 2014, 73, 128–137. [Google Scholar] [CrossRef]
- Csanádi, T.; Nemeth, D.; Lofaj, F. Mechanical properties of hard W–C coating on steel substrate deduced from nanoindentation and finite element modeling. Exp. Mech. 2016, 57, 1057–1069. [Google Scholar] [CrossRef]
- Xu, J.-Q.; Mutoh, Y. Analytical solution for interface stresses due to concentrated surface force. Int. J. Mech. Sci. 2003, 45, 1877–1892. [Google Scholar] [CrossRef]
- Xu, J.-Q.; Mutoh, Y. A normal force on the free surface of a coated material. J. Elast. 2003, 73, 147–164. [Google Scholar] [CrossRef]
- Nie, C.; Zheng, D.; Gu, L.; Zhao, X.; Wang, L. Comparison of interface mechanics characteristics of DLC coating deposited on bearing steel and ceramics. Appl. Surf. Sci. 2014, 317, 188–197. [Google Scholar] [CrossRef]
- Yu, C.; Wang, Z.; Wang, Q.J. Analytical frequency response functions for contact of multilayered materials. Mech. Mater. 2014, 76, 102–120. [Google Scholar] [CrossRef]
- Johnson, K.L.; Keer, L.M. Contact mechanics. J. Tribol. 1986, 108, 659. [Google Scholar] [CrossRef]
- Barber, J.R. Elasticity; Springer: Dordrecht, The Netherlands, 2010. [Google Scholar]
- Wang, T.; Ma, X.; Wang, L.; Gu, L.; Yin, L.; Zhang, J.; Zhan, L.; Sun, D. Three-dimensional thermoelastic contact model of coated solids with frictional heat partition considered. Coatings 2018, 8, 470. [Google Scholar] [CrossRef]
- Erdilyi, A.; Magnus, W.; Oberhettinger, F. Tables of Integral Transforms; Bateman Manuscript Project; McGraw-Hill: New York, NY, USA, 1954; Volume I. [Google Scholar]
- Zaitsev, V.F.; Polyanin, A.D. Handbook of Exact Solutions for Ordinary Differential Equations; CRC Press: Boca Raton, FL, USA, 2002. [Google Scholar]
- Press, W.H. Numerical Recipes 3rd Edition: The Art of Scientific Computing; Cambridge University Press: Cambridge, UK, 2007. [Google Scholar]
- Liu, S.; Wang, Q. Studying contact stress fields caused by surface tractions with a discrete convolution and fast fourier transform algorithm. J. Tribol. 2001, 124, 36–45. [Google Scholar] [CrossRef]
- Maugis, D. Contact, Adhesion and Rupture of Elastic Solids; Springer: Berlin, Germany, 2000. [Google Scholar]







(MPa) | (mm) | (-) | (-) | (GPa) | (m) | (-) |
|---|---|---|---|---|---|---|
| 977.75 | 0.07 | 2 | 0.3 | 200 | 0 |
(MPa) | (mm) | (-) | (-) | (GPa) | (GPa) | (GPa) | (m) | (-) |
|---|---|---|---|---|---|---|---|---|
| 977.75 | 0.07 | 30 | 0.3 | 200 | 100 | 0, 0.2 |
© 2020 by the authors. Licensee MDPI, Basel, Switzerland. This article is an open access article distributed under the terms and conditions of the Creative Commons Attribution (CC BY) license (http://creativecommons.org/licenses/by/4.0/).
Share and Cite
Wang, T.; Wu, Y.; Qi, Z.; Zhao, Y.; Zhang, J.; Zhan, L.; Yin, L. Stress Analysis of Multilayered Coatings Subjected to Surface Point Contact Loading Based on Its Three-Dimensional Elastic Field Solution. Coatings 2020, 10, 838. https://doi.org/10.3390/coatings10090838
Wang T, Wu Y, Qi Z, Zhao Y, Zhang J, Zhan L, Yin L. Stress Analysis of Multilayered Coatings Subjected to Surface Point Contact Loading Based on Its Three-Dimensional Elastic Field Solution. Coatings. 2020; 10(9):838. https://doi.org/10.3390/coatings10090838
Chicago/Turabian StyleWang, Tingjian, Yue Wu, Zhihui Qi, Yang Zhao, Jingjing Zhang, Liwei Zhan, and Longcheng Yin. 2020. "Stress Analysis of Multilayered Coatings Subjected to Surface Point Contact Loading Based on Its Three-Dimensional Elastic Field Solution" Coatings 10, no. 9: 838. https://doi.org/10.3390/coatings10090838
APA StyleWang, T., Wu, Y., Qi, Z., Zhao, Y., Zhang, J., Zhan, L., & Yin, L. (2020). Stress Analysis of Multilayered Coatings Subjected to Surface Point Contact Loading Based on Its Three-Dimensional Elastic Field Solution. Coatings, 10(9), 838. https://doi.org/10.3390/coatings10090838

