Construction of Rutile-TiO2 Nanoarray Homojuction for Non-Contact Sensing of TATP under Natural Light
Abstract
1. Introduction
2. Materials and Methods
2.1. Materials
2.2. Experimental
2.3. Characterization
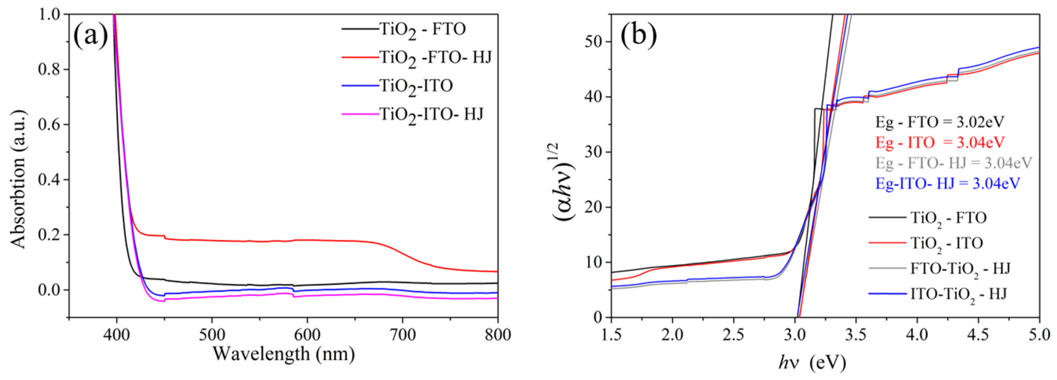
3. Results and Discussion
3.1. Morphology and Structural Characterization of TiO2 Nanoarray
3.1.1. Morphology of TiO2 Nanoarray
3.1.2. The Structure of the TiO2 Nanoarray
4. Conclusions
Supplementary Materials
Author Contributions
Funding
Conflicts of Interest
References
- Hernández-Adame, P.L.; Medina-Castro, D.; Rodriguez-Ibarra, J.L.; Salas-Luevano, M.A.; Vega-Carrillo, H.R. Design of an explosive detection system using Monte Carlo method. Appl. Radiat. Isot. 2016, 117, 27–31. [Google Scholar] [CrossRef] [PubMed]
- Sun, X.; Wang, Y.; Lei, Y. Fluorescence Substrated Explosive Detection from Mechanisms to Sensory Materials. Chem. Soc. Rev. 2015, 44, 8019–8061. [Google Scholar] [CrossRef] [PubMed]
- Lichtenstein, E.; Havivi, R. Shacham, Supersensitive Fingerprinting of Explosives by Chemically Modified Nano sensors Arrays. Nat. Commun. 2014, 5, 41–95. [Google Scholar] [CrossRef] [PubMed]
- Pinnaduwage, L.; Gehl, A.; Hedden, D. Explosives a Microsensor for Trinitrotoluene Vapour. Nature 2003, 425, 474. [Google Scholar] [CrossRef] [PubMed]
- Wang, F.; Gu, H.; Swager, T. Carbon Nanotube/Polythiophene Chemiresistive Sensors for Chemical Warfare Agents. J. Am. Chem. Soc. 2008, 130, 5392–5393. [Google Scholar] [CrossRef] [PubMed]
- Mao, S.; Zhou, H.; Wu, S. High performance hydrogen sensor substrated on Pd/TiO2 composite film. Int. J. Hydrogen Energy 2018, 43, 22727–22732. [Google Scholar] [CrossRef]
- Ho, W.-J.; Hsiao, K.-Y.; Hu, C.-H. Characterized plasmonic effects of various metallic nanoparticles on silicon solar cells using the same anodic aluminum oxide mask for film deposition. Thin Solid Films 2017, 631, 64–71. [Google Scholar] [CrossRef]
- Chen, C.C.; Chen, S.H.; Shyu, S.W. Use of Nanostructures in Fabrication of Large Scale Electrochemical Film. Phys. Procedia 2012, 25, 44–49. [Google Scholar] [CrossRef]
- Lee, J.; Kim, D.H.; Hong, S.-H. A hydrogen gas sensor employing vertically aligned TiO2 nanotube arrays prepared by template-assisted method. Sens. Actuators B Chem. 2011, 160, 1494–1498. [Google Scholar] [CrossRef]
- López-Ayala, S.; Rincón, M.E.; Pfeiffer, H. Influence of copper on the microstructure of sol–gel titanium oxide nanotubes array. J. Mater. Sci. 2009, 44, 4162–4168. [Google Scholar]
- Huang, J.-W.; Lu, K.C.-C.; Huang, Y.-S. Novel fabrication process using nanoporous anodic aluminum oxidation and MEMS technologies for gas detection. Procedia Chem. 2009, 1, 56–59. [Google Scholar] [CrossRef]
- Ge, Y.; Zhong, W.; Li, Y. Highly sensitive and rapid chemiresistive sensor towards trace nitro-explosive vapors based on oxygen vacancy-rich and defective crystallized In-doped ZnO. Sens. Actuators B Chem. 2017, 244, 983–991. [Google Scholar] [CrossRef]
- Zeng, X.S.; Zeng, X.S.; Xu, H.; Xu, Y. A series of porous interpenetrating metal-organic frameworks based on fluorescent ligand for nitroaromatic explosives detection. Inorg. Chem. Front. 2018, 10, 10–39. [Google Scholar] [CrossRef]
- O’Mahony, A.M.; Wang, J. Nanomaterial-based electrochemical detection of explosives: A review of recent developments. Anal. Methods 2013, 5, 4296. [Google Scholar] [CrossRef]
- Kielmann, M.; Prior, C.; Senge, M.O. Porphyrins in troubled times: A spotlight on porphyrins and their metal complexes for explosives testing and CBRN defense. New J. Chem. 2018, 42, 7529–7550. [Google Scholar] [CrossRef]
- Meng, X.C. Detection Technology of Explosives and Drugs. Nucl. Electron. Detect. Technol. 2013, 4, 371–379. [Google Scholar]
- Liang, J.H.; Liu, P.P.; Chen, Z.; Sun, G.X.; Li, H. Rapid evaluation of arsenic contamination in paddy soils using field portable X-ray fluorescence spectrometry. J. Environ. Sci. 2018, 64, 345–351. [Google Scholar] [CrossRef]
- Patil, V.L.; Vanalakar, S.A.; Patil, P.S. Fabrication of nanostructured ZnO thin films substrated NO2 gas sensor via SILAR technique. Sens. Actuators B Chem. 2017, 239, 1185–1193. [Google Scholar] [CrossRef]
- Drobek, M.; Kim, J.H.; Bechelany, M. MOF-Substrated Membrane Encapsulated ZnO Nanowires for Enhanced Gas Sensor Selectivity. ACS Appl. Mater. Interfaces 2016, 8, 8323–8328. [Google Scholar] [CrossRef]
- Wang, J.; Wang, Z.; Li, H.; Cui, Y.; Du, Y. Visible light-driven nitrogen doped TiO2 nanoarray films: Preparation and photocatalytic activity. Alloys Compd. 2010, 494, 372–377. [Google Scholar] [CrossRef]
- Jie, C.; Lin, C.; Dahai, Z. Surface Characteristic Effect of Ag/TiO2 Nanoarray Composite Structure on Supercapacitor Electrode Properties. Scanning 2018, 2018, 1–10. [Google Scholar]
- Jain, U.; Singh, A.; Kuchhal, K. Glycated hemoglobin biosensing integration formed on Au nanoparticle-dotted tubular TiO2 nanoarray. Anal. Chim. Acta 2016, 945, 67–74. [Google Scholar] [CrossRef] [PubMed]
- Hu, W.; Dong, F.; Zhang, J. Differently ordered TiO2 nanoarrays regulated by solvent polarity, and their photocatalytic performances. Appl. Surf. Sci. 2018, 442, 298–307. [Google Scholar] [CrossRef]
- Cheng, K.; Cao, D.; Fan, Y. Electrodeposition of Pd nanoparticles on C@TiO2 nanoarrays: 3D electrode for the direct oxidation of NaBH4. J. Mater. Chem. 2011, 22, 850–855. [Google Scholar] [CrossRef]
- Zhang, R.; Shao, M.; Xu, S. Photo-assisted synthesis of zinc-iron layered double hydroxides/TiO2, nanoarrays toward highly-efficient photoelectrochemical water splitting. Nano Energy 2017, 33, 21–28. [Google Scholar] [CrossRef]
- Shinde, D.V.; Mane, R.S.; Oh, I.H. SnO2 nanowall-arrays coated with rutile-TiO2 nanoneedles for high performance dye-sensitized solar cells. Dalton Trans. 2012, 41, 10161. [Google Scholar] [CrossRef]
- Wang, H.; Bai, Y.; Wu, Q. Rutile TiO2 nano-branched arrays on FTO for dye-sensitized solar cells. Phys. Chem. Chem. Phys. 2011, 13, 7008. [Google Scholar] [CrossRef]
- Yang, Y.; Yin, L.C.; Gong, Y. An Unusual Strong Visible-Light Absorption Band in Red Anatase TiO2 Photocatalyst Induced by Atomic Hydrogen-Occupied Oxygen Vacancies. Adv. Mater. 2018, 30, 1704479. [Google Scholar] [CrossRef]
- Lü, X.; Hao, P.; Xie, G. A Sensor Array Realized by a Single Flexible TiO2/POMs Film to Contactless Detection of Triacetone Triperoxide. Sensors 2019, 19, 915. [Google Scholar] [CrossRef]












© 2020 by the authors. Licensee MDPI, Basel, Switzerland. This article is an open access article distributed under the terms and conditions of the Creative Commons Attribution (CC BY) license (http://creativecommons.org/licenses/by/4.0/).
Share and Cite
Tang, Y.; Zhang, Y.; Xie, G.; Zheng, Y.; Yu, J.; Gao, L.; Liu, B. Construction of Rutile-TiO2 Nanoarray Homojuction for Non-Contact Sensing of TATP under Natural Light. Coatings 2020, 10, 409. https://doi.org/10.3390/coatings10040409
Tang Y, Zhang Y, Xie G, Zheng Y, Yu J, Gao L, Liu B. Construction of Rutile-TiO2 Nanoarray Homojuction for Non-Contact Sensing of TATP under Natural Light. Coatings. 2020; 10(4):409. https://doi.org/10.3390/coatings10040409
Chicago/Turabian StyleTang, Yan, Yuxiang Zhang, Guanshun Xie, Youxiong Zheng, Jianwei Yu, Li Gao, and Bingxin Liu. 2020. "Construction of Rutile-TiO2 Nanoarray Homojuction for Non-Contact Sensing of TATP under Natural Light" Coatings 10, no. 4: 409. https://doi.org/10.3390/coatings10040409
APA StyleTang, Y., Zhang, Y., Xie, G., Zheng, Y., Yu, J., Gao, L., & Liu, B. (2020). Construction of Rutile-TiO2 Nanoarray Homojuction for Non-Contact Sensing of TATP under Natural Light. Coatings, 10(4), 409. https://doi.org/10.3390/coatings10040409

