Multi-Functional Cardanol Triazine Schiff Base Polyimine Additives for Self-Healing and Super-Hydrophobic Epoxy of Steel Coating
Abstract
1. Introduction
2. Materials and Methods
2.1. Materials
2.2. Techniques
2.2.1. Preparation of cardanoxy bishydrazino-s-triazine
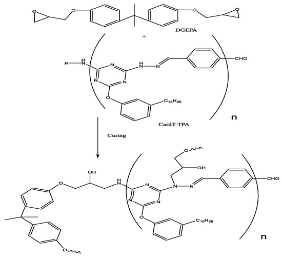
2.2.2. Synthesis of polymeric Schiff base CardT-Schiff base (CardT-TPA)
2.3. Characterization
2.4. Application of Coatings of The Steel Substrate
2.5. Mechanical, Chemicals and Salt Spray Resistance of Modified Epoxy Coatings
2.6. Corrosion Resistance of Modified Epoxy Coatings
3. Results and Discussion
3.1. Characterization of Card-TH2 and CardT-TPA
3.2. Wettability of Epoxy Modified Films
3.3. Mechanical Properties of The Cured Epoxy Coatings
3.4. Salt Spray resistance and mechanism of self-healing
4. Conclusions
Author Contributions
Funding
Acknowledgments
Conflicts of Interest
References
- Ferreira, A.D.B.; Novoa, P.R.; Marques, A.T. Multifunctional material systems: A state-of-the-art review. Compos. Struct. 2016, 151, 3–35. [Google Scholar] [CrossRef]
- Chen, K.; Gou, W.; Xu, L.; Zhao, Y. Low cost and facile preparation of robust multifunctional coatings with self-healing superhydrophobicity and high conductivity. Compos. Sci. Technol. 2018, 156, 177–185. [Google Scholar] [CrossRef]
- Chen, K.; Wu, Y.; Zhou, S.; Wu, L. Recent development of durable and self-healing surfaces with special wettability. Macromol. Rapid Commun. 2016, 37, 463–485. [Google Scholar] [CrossRef] [PubMed]
- Wang, H.; Liu, Z.; Wang, E.; Zhang, X.; Yuan, R.; Wu, S.; Zhu, Y. Facile preparation of superamphiphobic epoxy resin/modified poly (vinylidene fluoride)/fluorinated ethylene propylene composite coating with corrosion/wear-resistance. Appl. Surf. Sci. 2015, 357, 229–235. [Google Scholar] [CrossRef]
- Cho, E.-C.; Chang-Jian, C.-W.; Chen, H.-C.; Chuang, K.-S.; Zheng, J.-H.; Hsiao, Y.-S.; Lee, K.-C.; Huang, J.-H. Robust multifunctional superhydrophobic coatings with enhanced water/oil separation, self-cleaning, anti-corrosion, and anti-biological adhesion. Chem. Eng. J. 2017, 314, 347–357. [Google Scholar] [CrossRef]
- Kim, P.; Wong, T.-S.; Alvarenga, J.; Kreder, M.J.; Adorno-Martinez, W.E.; Aizenberg, J. Liquid-infused nanostructured surfaces with extreme anti-ice and anti-frost performance. ACS Nano 2012, 6, 6569–6577. [Google Scholar] [CrossRef]
- Ulaeto, S.B.; Rajan, R.; Pancrecious, J.K.; Rajan, T.; Pai, B. Developments in smart anticorrosive coatings with multifunctional characteristics. Prog. Org. Coat. 2017, 111, 294–314. [Google Scholar] [CrossRef]
- Makhlouf, A. Techniques for synthesizing and applying smart coatings for material protection. In Handbook of Smart Coatings for Materials Protection; Elsevier: Amsterdam, The Netherlands, 2014; pp. 56–74. [Google Scholar]
- Ragesh, P.; Ganesh, V.A.; Nair, S.V.; Nair, A.S. A review on ‘self-cleaning and multifunctional materials’. J. Mater. Chem. 2014, 2, 14773–14797. [Google Scholar] [CrossRef]
- Behera, A.; Mishra, S.; Parida, P. Corrosion sensing smart polymeric coatings. In Proceedings of the Fourth Conference on Recent Advances in Polymer Technology, Maharashtra, India, 2–3 March 2012. [Google Scholar]
- Arthur, D.E.; Jonathan, A.; Ameh, P.O.; Anya, C. A review on the assessment of polymeric materials used as corrosion inhibitor of metals and alloys. Int. J. Ind. Chem. 2013, 4, 2. [Google Scholar] [CrossRef]
- Feng, W.; Patel, S.; Young, M.Y.; Zunino, J., III; Xanthos, M. Smart polymeric coatings—Recent advances. Adv. Polym. Technol. J. Polym. Process. Inst. 2007, 26, 1–13. [Google Scholar] [CrossRef]
- Yang, Y.; Urban, M.W. Self-healing polymeric materials. Chem. Soc. Rev. 2013, 42, 7446–7467. [Google Scholar] [CrossRef] [PubMed]
- Wang, H.; Di, D.; Zhao, Y.; Yuan, R.; Zhu, Y. A multifunctional polymer composite coating assisted with pore-forming agent: Preparation, superhydrophobicity and corrosion resistance. Prog. Org. Coat. 2019, 132, 370–378. [Google Scholar] [CrossRef]
- Atta, A.M.; Elsaeed, A.M.; Farag, R.K.; El-Saeed, S.M. Synthesis of unsaturated polyester resins based on rosin acrylic acid adduct for coating applications. React. Funct. Polym. 2007, 67, 549–563. [Google Scholar] [CrossRef]
- Atta, A.M.; El-Mahdy, G.; Al-Hodan, H.A.; Hameed Al-Hussain, S. Synthesis of Environmentally Friendly Highly Dispersed Magnetite Nanoparticles Based on Rosin Cationic Surfactants as Thin Film Coatings of Steel. Int. J. Mol. Sci. 2014, 15, 6974–6989. [Google Scholar] [PubMed]
- Atta, A.M.; Mansour, R.; Abdou, M.I.; Sayed, A.M. Epoxy resins from rosin acids: Synthesis and characterization. Polym. Adv. Technol. 2004, 15, 514–522. [Google Scholar] [CrossRef]
- Liu, S.; Chevali, V.S.; Xu, Z.; Hui, D.; Wang, H. A review of extending performance of epoxy resins using carbon nanomaterials. Compos. Part B Eng. 2018, 136, 197–214. [Google Scholar] [CrossRef]
- Liu, Y.; Chen, S.; Ye, S.; Feng, J. A feasible route to balance the mechanical properties of epoxy thermosets by reinforcing a PCL-PPC-PCL toughened system with reduced graphene oxide. Compos. Sci. Technol. 2016, 125, 108–113. [Google Scholar] [CrossRef]
- Baruah, P.; Karak, N. Bio-based tough hyperbranched epoxy/graphene oxide nanocomposite with enhanced biodegradability attribute. Polym. Degrad. Stab. 2016, 129, 26–33. [Google Scholar] [CrossRef]
- de Moura, M.; Fernandes, R.; Silva, F.; Dourado, N. Mode II fracture characterization of a hybrid cork/carbon-epoxy laminate. Compos. Part B Eng. 2015, 76, 44–51. [Google Scholar] [CrossRef]
- Bao, C.; Guo, Y.; Song, L.; Kan, Y.; Qian, X.; Hu, Y. In situ preparation of functionalized graphene oxide/epoxy nanocomposites with effective reinforcements. J. Mater. Chem. 2011, 21, 13290–13298. [Google Scholar] [CrossRef]
- Karger-Kocsis, J.; Kéki, S. Review of Progress in Shape Memory Epoxies and Their Composites. Polymers 2018, 10, 34. [Google Scholar] [CrossRef] [PubMed]
- Semmelen, M.; Pessel, F.; Lapinte, V.; Caillol, S.; Habas, J.P.; Robin, J.J. A fully biobased epoxy resin from vegetable oils: From the synthesis of the precursors by thiol-ene reaction to the study of the final material. J. Polym. Sci. Part A Polym. Chem. 2011, 49, 2434–2444. [Google Scholar] [CrossRef]
- Nouailhas, H.; Aouf, C.; Le Guerneve, C.; Caillol, S.; Boutevin, B.; Fulcrand, H. Synthesis and properties of biobased epoxy resins. Part 1. Glycidylation of flavonoids by epichlorohydrin. J. Polym. Sci. Part A Polym. Chem. 2011, 49, 2261–2270. [Google Scholar] [CrossRef]
- Saxon, D.J.; Luke, A.M.; Sajjad, H.; Tolman, W.B.; Reineke, T.M. Next-generation polymers: Isosorbide as a renewable alternative. Prog. Polym. Sci. 2019, 101, 101196. [Google Scholar] [CrossRef]
- Ashassi-Sorkhabi, H.; Shaabani, B.; Seifzadeh, D. Corrosion inhibition of mild steel by some schiff base compounds in hydrochloric acid. Appl. Surf. Sci. 2005, 239, 154–164. [Google Scholar] [CrossRef]
- Atta, A.M.; Shaker, N.O.; Abdou, M.I.; Abdelfatah, M. Synthesis and characterization of high thermally stable poly(Schiff) epoxy coatings. Prog. Org. Coat. 2006, 56, 91–99. [Google Scholar] [CrossRef]
- Waskiewicz, S.; Zenkner, K.; Langer, E.; Lenartowicz, M.; Gajlewicz, I. Organic coatings based on new Schiff base epoxy resins. Prog. Org. Coat. 2013, 76, 1040–1045. [Google Scholar] [CrossRef]
- Xu, X.; Ma, S.; Wu, J.; Yang, J.; Wang, B.; Wang, S.; Li, Q.; Feng, J.; You, S.; Zhu, J. High-performance, command-degradable, antibacterial Schiff base epoxy thermosets: Synthesis and properties. J. Mater. Chem. 2019, 7, 15420–15431. [Google Scholar] [CrossRef]
- Huang, K.; Zhang, Y.; Li, M.; Lian, J.; Yang, X.; Xia, J. Preparation of a light color cardanol-based curing agent and epoxy resin composite: Cure-induced phase separation and its effect on properties. Prog. Org. Coat. 2012, 74, 240–247. [Google Scholar] [CrossRef]
- Gour, R.S.; Raut, K.G.; Badiger, M.V. Flexible epoxy novolac coatings: Use of cardanol-based flexibilizers. J. Appl. Polym. Sci. 2017, 134, 44920. [Google Scholar] [CrossRef]
- Mora, A.-S.; Tayouo, R.; Boutevin, B.; David, G.; Caillol, S. Synthesis of biobased reactive hydroxyl amines by amination reaction of cardanol-based epoxy monomers. Eur. Polym. J. 2019, 118, 429–436. [Google Scholar] [CrossRef]
- Darroman, E.; Durand, N.; Boutevin, B.; Caillol, S. Improved cardanol derived epoxy coatings. Prog. Org. Coat. 2016, 91, 9–16. [Google Scholar] [CrossRef]
- Wazarkar, K.; Kathalewar, M.; Sabnis, A. Anticorrosive and insulating properties of cardanol based anhydride curing agent for epoxy coatings. React. Funct. Polym. 2018, 122, 148–157. [Google Scholar] [CrossRef]
- Wazarkar, K.; Sabnis, A. Synergistic effect of PS and crosslink density on performance properties of epoxy coatings cured with cardanol based multifunctional carboxyl curing agents. React. Funct. Polym. 2018, 128, 74–83. [Google Scholar] [CrossRef]
- Balgude, D.; Sabnis, A.; Ghosh, S.K. Synthesis and characterization of cardanol based reactive polyamide for epoxy coating application. Prog. Org. Coat. 2017, 104, 250–262. [Google Scholar] [CrossRef]
- Atta, A.M.; Al-Hodan, H.A.; Hameed, R.S.A.; Ezzat, A.O. Preparation of green cardanol-based epoxy and hardener as primer coatings for petroleum and gas steel in marine environment. Prog. Org. Coat. 2017, 111, 283–293. [Google Scholar] [CrossRef]
- Unnikrishnan, K.; Thachil, E.T. Synthesis and characterization of cardanol-based epoxy systems. Des. Monomers Polym. 2008, 11, 593–607. [Google Scholar] [CrossRef]
- Atta, A.M.; El-Faham, A.; Al-Lohedan, H.A.; Othman, Z.A.A.; Abdullah, M.M.; Ezzat, A.O. Modified triazine decorated with Fe3O4 and Ag/Ag2O nanoparticles for self-healing of steel epoxy coatings in seawater. Prog. Org. Coat. 2018, 121, 247–262. [Google Scholar] [CrossRef]
- Al-Rasheed, H.H.; Mohammady, S.Z.; Dahlous, K.; Siddiqui, M.R.H.; El-Faham, A. Synthesis, characterization, thermal stability and kinetics of thermal degradation of novel polymers based-s-triazine Schiff base. J. Polym. Res. 2020, 27, 10. [Google Scholar] [CrossRef]
- Atta, A.M.; Abdullah, M.M.; Al-Lohedan, H.A.; Gaffer, A.K. Synthesis and application of amphiphilic poly (ionic liquid) dendron from cashew nut shell oil as a green oilfield chemical for heavy petroleum crude oil emulsion. Energy Fuels 2018, 32, 4873–4884. [Google Scholar] [CrossRef]
- Ezzat, A.O.; Atta, A.M.; Al-Lohedan, H.A.; Abdullah, M.M.; Hashem, A.I. Synthesis and application of poly (ionic liquid) based on cardanol as demulsifier for heavy crude oil water emulsions. Energy Fuels 2018, 32, 214–225. [Google Scholar] [CrossRef]
- Šebenik, U.; Krajnc, M. Epoxy emulsions stabilized with reactive bio-benzoxazine surfactant from epoxidized cardanol for coatings. Eur. Polym. J. 2016, 81, 138–151. [Google Scholar]
- Huang, J.; Lou, C.; Xu, D.; Lu, X.; Xin, Z.; Zhou, C. Cardanol-based polybenzoxazine superhydrophobic coating with improved corrosion resistance on mild steel. Prog. Org. Coat. 2019, 136, 105191. [Google Scholar] [CrossRef]
- Liu, W.; Sun, L.; Luo, Y.; Wu, R.; Jiang, H.; Chen, Y.; Zeng, G.; Liu, Y. Facile transition from hydrophilicity to superhydrophilicity and superhydrophobicity on aluminum alloy surface by simple acid etching and polymer coating. Appl. Surf. Sci. 2013, 280, 193–200. [Google Scholar] [CrossRef]
- Garg, M.S.; Srivastava, K.; Srivastava, D. Physical and chemical toughening of cardanol-based vinyl ester resin using CTBN: A study on spectral, thermal and morphological characteristics. Prog. Org. Coat. 2015, 78, 307–317. [Google Scholar] [CrossRef]
- Ramezanzadeh, B.; Niroumandrad, S.; Ahmadi, A.; Mahdavian, M.; Moghadam, M.M. Enhancement of barrier and corrosion protection performance of an epoxy coating through wet transfer of amino functionalized graphene oxide. Corros. Sci. 2016, 103, 283–304. [Google Scholar] [CrossRef]
- Zheludkevich, M.; Tedim, J.; Freire, C.; Fernandes, S.C.; Kallip, S.; Lisenkov, A.; Gandini, A.; Ferreira, M. Self-healing protective coatings with “green” chitosan based pre-layer reservoir of corrosion inhibitor. J. Mat. Chem. 2011, 21, 4805–4812. [Google Scholar] [CrossRef]
- Chao, A.; Negulescu, I.; Zhang, D. Dynamic covalent polymer networks based on degenerative imine bond exchange: Tuning the malleability and self-healing properties by solvent. Macromolecules 2016, 49, 6277–6284. [Google Scholar] [CrossRef]
- Mai, V.-D.; Shin, S.-R.; Lee, D.-S.; Kang, I. Thermal Healing, Reshaping and Ecofriendly Recycling of Epoxy Resin Crosslinked with Schiff Base of Vanillin and Hexane-1, 6-Diamine. Polymers 2019, 11, 293. [Google Scholar] [CrossRef]














| Characteristics | Units | Value |
|---|---|---|
| Melting temperature (Tm) | °C | 173.6 |
| Glass transition temperature (Tg) | °C | 68.8 |
| Yield | % | 79 |
| Nitrogen content | wt.% | - |
| Theoretical | 16.47 | |
| Experimental | 16.78 | |
| Number average molecular weight Mn | g.mol−1 | 4594 |
| Inherent viscosity | mL.g−1 | 0.15 |
| Epoxy Composites | Composite Contents (wt.%) | Water Receding Contact Angles on the Different Substrates (Degree) | |
|---|---|---|---|
| Steel | Glass | ||
| Blank | 0 | 69.3 ± 2.1 | 59.1 ± 5.0 |
| Epoxy/Card-TH2 | 0.1 | 83.1 ± 6.0 | 75.6 ± 4.2 |
| 1.0 | 95.6 ± 4.1 | 92.9 ± 3.1 | |
| 3.0 | 110.3 ± 2.1 | 104.8 ± 5.1 | |
| 5.0 | 125.3 ± 2.1 | 112.9 ± 3.2 | |
| Epoxy/CardT-TPA | 0.1 | 117.3 ± 5.0 | 110.4 ± 6.0 |
| 1.0 | 135.3 ± 4.1 | 132.3 ± 2.1 | |
| 3.0 | 145.3 ± 6.3 | 140.9 ± 3.2 | |
| 5.0 | 164.3 ± 6.1 | 159.3 ± 6.1 | |
| Sample | Weight Contents (wt.%) | Impact Test (Joule) | Hardness (Newton) | Pull of Test (MP) | Abrasion Resistance mg/kg Weight for 5000 Cycles Weight loss (mg) |
|---|---|---|---|---|---|
| Blank | 0 | 5 ± 0.8 | 8 ± 0.5 | 5 ± 0.5 | 85 ± 2 |
| Epoxy/Card-TH2 | 0.1 | 8 ± 0.8 | 10 ± 1.5 | 8 ± 0.3 | 45 ± 4 |
| 1.0 | 11 ± 1.2 | 12 ± 2.1 | 12 ± 0.8 | 40 ± 3 | |
| 3.0 | 13 ± 1.4 | 14 ± 1.8 | 10 ± 0.9 | 45 ± 2 | |
| 5.0 | 15 ± 2.3 | 16 ± 2.3 | 13 ± 1.3 | 49 ± 3 | |
| Epoxy/CardT-TPA | 0.1 | 15 ± 2.2 | 15 ± 1.7 | 12 ± 1.5 | 10 ± 2 |
| 1.0 | 20 ± 3.1 | 18 ± 2.4 | 16 ± 2.3 | 8 ± 2 | |
| 3.0 | 25 ± 2.6 | 20 ± 2.5 | 20 ± 2.4 | 4 ± 0.5 | |
| 5.0 | 30 ± 2.8 | 23 ± 1.3 | 25 ± 3.0 | 2 ± 0.7 |
| Epoxy Composites | Weight Contents (wt.%) | Exposure Time (hours) | Disbonded Area % | Rating Number (ASTM D1654) |
|---|---|---|---|---|
| Blank | 0 | 500 | 20 | 5 |
| Epoxy/CardT-TPA | 0.1 | 1000 | 5 | 7 |
| 1.0 | 1500 | 1 | 9 | |
| 3.0 | 2000 | 0.01 | 10 | |
| 5.0 | 2000 | 0.0 | 10 | |
| Epoxy/Card-TH2 | 0.1 | 750 | 5 | 7 |
| 1.0 | 1000 | 3 | 8 | |
| 3.0 | 1000 | 4 | 8 | |
| 5.0 | 1500 | 6 | 7 |
© 2020 by the authors. Licensee MDPI, Basel, Switzerland. This article is an open access article distributed under the terms and conditions of the Creative Commons Attribution (CC BY) license (http://creativecommons.org/licenses/by/4.0/).
Share and Cite
Atta, A.M.; A. Ahmed, M.; A. Al-Lohedan, H.; El-Faham, A. Multi-Functional Cardanol Triazine Schiff Base Polyimine Additives for Self-Healing and Super-Hydrophobic Epoxy of Steel Coating. Coatings 2020, 10, 327. https://doi.org/10.3390/coatings10040327
Atta AM, A. Ahmed M, A. Al-Lohedan H, El-Faham A. Multi-Functional Cardanol Triazine Schiff Base Polyimine Additives for Self-Healing and Super-Hydrophobic Epoxy of Steel Coating. Coatings. 2020; 10(4):327. https://doi.org/10.3390/coatings10040327
Chicago/Turabian StyleAtta, Ayman M., Mona A. Ahmed, Hamad A. Al-Lohedan, and Ayman El-Faham. 2020. "Multi-Functional Cardanol Triazine Schiff Base Polyimine Additives for Self-Healing and Super-Hydrophobic Epoxy of Steel Coating" Coatings 10, no. 4: 327. https://doi.org/10.3390/coatings10040327
APA StyleAtta, A. M., A. Ahmed, M., A. Al-Lohedan, H., & El-Faham, A. (2020). Multi-Functional Cardanol Triazine Schiff Base Polyimine Additives for Self-Healing and Super-Hydrophobic Epoxy of Steel Coating. Coatings, 10(4), 327. https://doi.org/10.3390/coatings10040327

