Forward Current Transport Properties of AlGaN/GaN Schottky Diodes Prepared by Atomic Layer Deposition
Abstract
1. Introduction
2. Materials and Methods
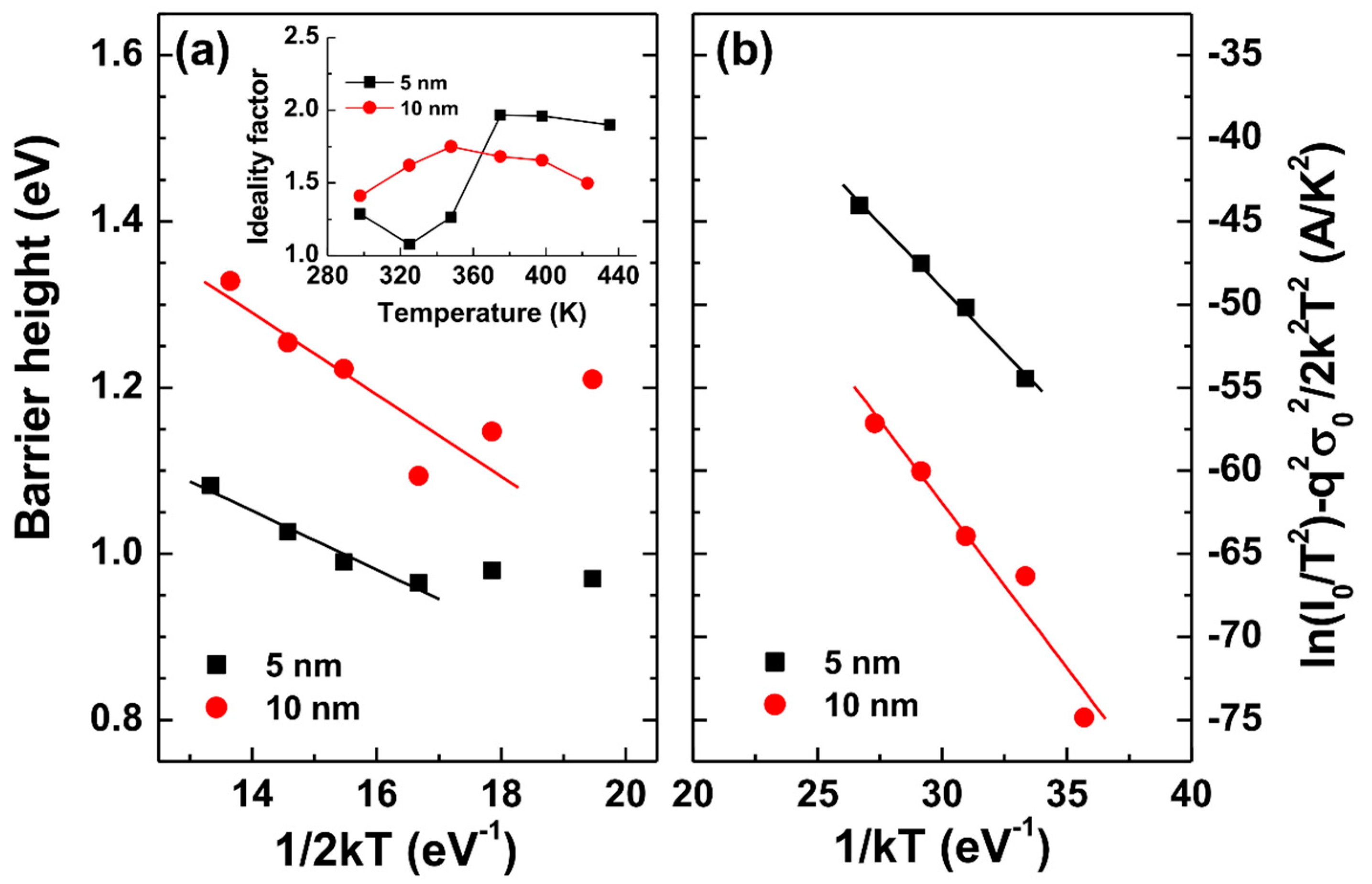
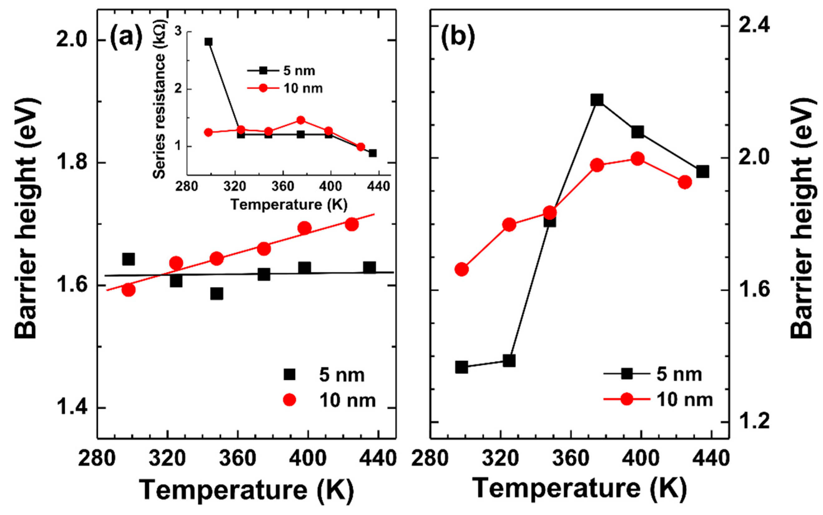
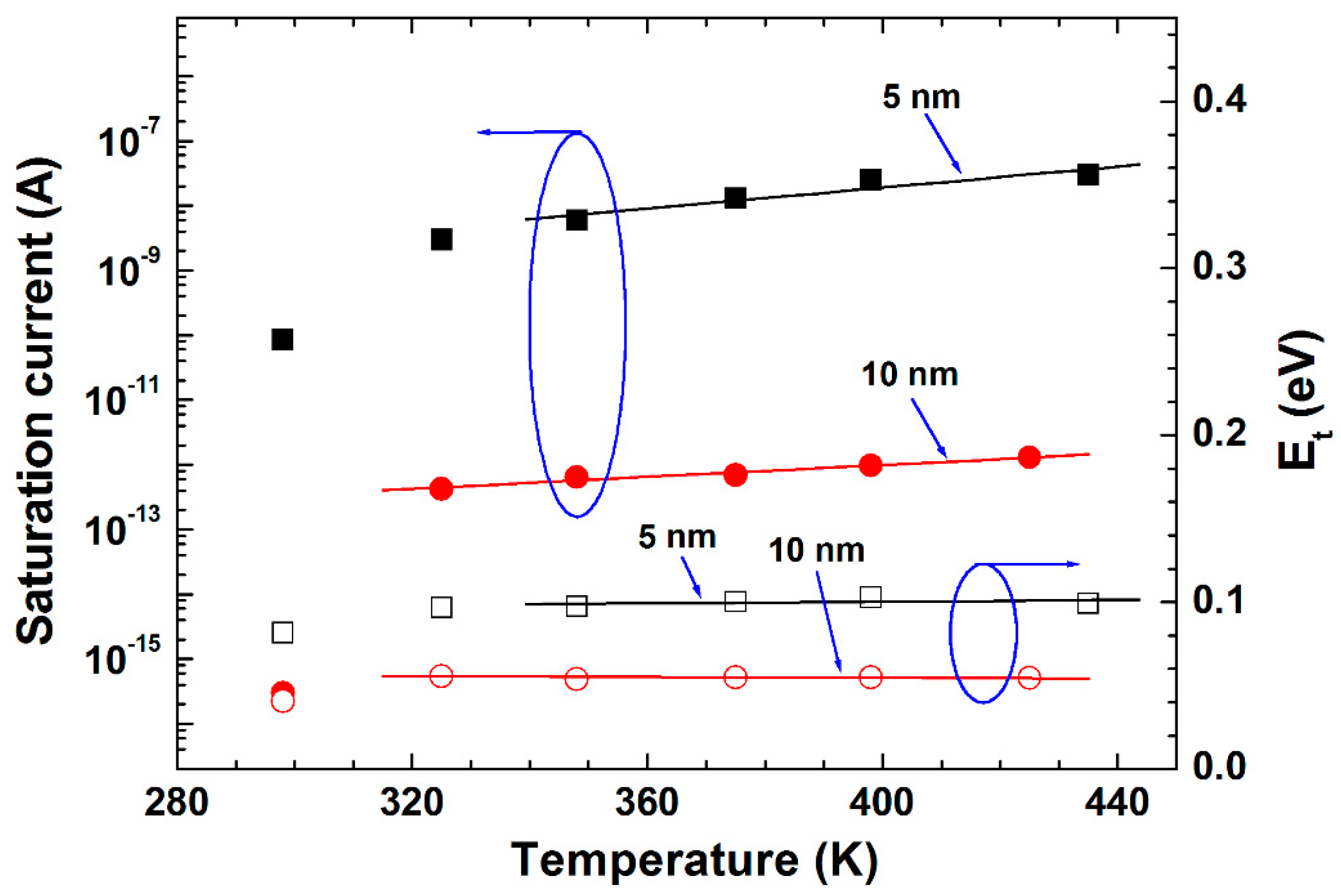
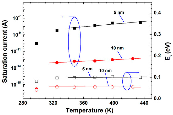
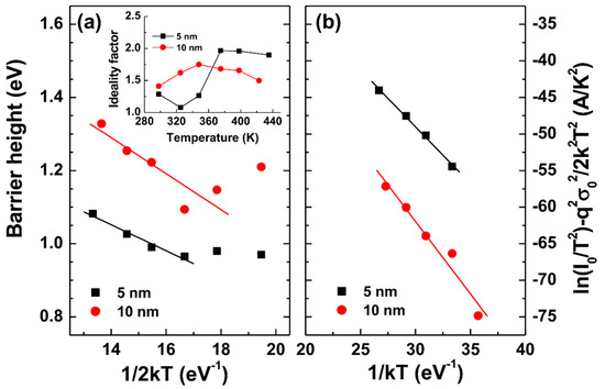
3. Results
4. Conclusions
Author Contributions
Funding
Conflicts of Interest
References
- Ibbetson, J.; Fini, P.; Ness, K.; DenBaars, S.; Speck, J.; Mishra, U. Polarization effects, surface states, and the source of electrons in AlGaN/GaN heterostructure field effect transistors. Appl. Phys. Lett. 2000, 77, 250–252. [Google Scholar] [CrossRef]
- Ambacher, O.; Smart, J.; Shealy, J.; Weimann, N.; Chu, K.; Murphy, M.; Schaff1, W.; Eastman, L.; Dimitrov, R.; Wittmer, L.; et al. Two-dimensional electron gases induced by spontaneous and piezoelectric polarization charges in N- and Ga-face AlGaN/GaN heterostructures. J. Appl. Phys. 1999, 85, 3222–3233. [Google Scholar] [CrossRef]
- Ambacher, O.; Majewski, J.; Miskys, C.; Link, A.; Hermann, M.; Eickhoff, M.; Stutzmann, M.; Bernardini, F.; Fiorentini, V.; Tilak, V.; et al. Pyroelectric properties of Al(In)GaN/GaN hetero- and quantum well structures. J. Phys. Condens. Matter. 2002, 14, 3399–3434. [Google Scholar] [CrossRef]
- Marcon, D.; Viaene, J.; Favia, P.; Bender, H.; Kang, X.; Lenci, S.; Decoutere, S. Reliability of AlGaN/GaN HEMTs: Permanent leakage current increase and output current drop. Microelectron. Reliab. 2012, 52, 2188–2193. [Google Scholar] [CrossRef]
- Usami, S.; Ando, Y.; Tanaka, A.; Nagamatsu, K.; Deki, M.; Kushimoto, M.; Nitta, S.; Honda, Y.; Amano, H.; Sugawara, Y.; et al. Correlation between dislocations and leakage current of p-n diodes on a free-standing GaN substrate. Appl. Phys. Lett. 2018, 112, 182106. [Google Scholar] [CrossRef]
- Simpkins, B.; Yu, E.; Waltereit, P.; Speck, J. Correlated scanning Kelvin probe and conductive atomic force microscopy studies of dislocations in gallium nitride. J. Appl. Phys. 2003, 94, 1448–1453. [Google Scholar] [CrossRef]
- Besendörfer, S.; Meissner, E.; Lesnik, A.; Friedrich, J.; Dadgar, A.; Erlbacher, T. Methodology for the investigation of threading dislocations as a source of vertical leakage in AlGaN/GaN-HEMT heterostructures for power devices. J. Appl. Phys. 2019, 125, 095704. [Google Scholar] [CrossRef]
- Hashizume, T.; Kotani, J.; Hasegawa, H. Leakage mechanism in GaN and AlGaN Schottky interfaces. Appl. Phys. Lett. 2004, 84, 4884–4886. [Google Scholar] [CrossRef]
- Yan, D.; Lu, H.; Cao, D.; Chen, D.; Zhang, R.; Zheng, Y. On the reverse gate leakage current of AlGaN/GaN high electron mobility transistors. Appl. Phys. Lett. 2010, 97, 153503. [Google Scholar] [CrossRef]
- Ha, W.; Chhajed, S.; Oh, S.; Hwang, S.; Kim, J.; Lee, J.; Kim, K. Analysis of the reverse leakage current in AlGaN/GaN Schottky barrier diodes treated with fluorine plasma. Appl. Phys. Lett. 2012, 100, 132104. [Google Scholar]
- Ren, J.; Yan, D.; Zhai, Y.; Mou, W.; Gu, X. Comparison of electrical characteristics between AlGaN/GaN and lattice-matched InAlN/GaN heterostructure Schottky barrier diodes. Microelctron. Rel. 2016, 61, 82–86. [Google Scholar] [CrossRef]
- Huang, S.; Liu, X.; Wei, K.; Liu, G.; Wang, X.; Sun, B.; Yang, X.; Shen, B.; Liu, C.; Liu, S.; et al. O3-sourced atomic layer deposition of high quality Al2O3 gate dielectric for normally-off GaN metal-insulator-semiconductor high electron-mobility transistors. Appl. Phys. Lett. 2015, 106, 033507. [Google Scholar] [CrossRef]
- George, S. Atomic layer deposition: An overview. Chem. Rev. 2010, 110, 111–131. [Google Scholar] [CrossRef]
- Ozgit, C.; Donmez, I.; Alevli, M.; Biyikli, N. Atomic layer deposition of GaN at low temperatures. J. Vac. Sci. Technol. A 2013, 30, 01A124. [Google Scholar] [CrossRef]
- Ozgit-Akgun, C.; Goldenberg, E.; Okyay, A.; Biyikli, N. Hollow cathode plasma-assisted atomic layer deposition of crystalline AlN, GaN and AlxGa1−xN thin films at low temperatures. J. Mater. Chem. C 2014, 2, 2123–2236. [Google Scholar] [CrossRef]
- Kim, H.; Kim, N.; An, S.; Yoon, H.; Choi, B. Improved interfacial properties of thermal atomic layer deposited AlN on GaN. Vacuum 2019, 159, 379–381. [Google Scholar] [CrossRef]
- Tung, R. Recent advances in Schottky barrier concepts. Mater. Sci. Eng. R. 2001, 35, 1–138. [Google Scholar] [CrossRef]
- Qiao, D.; Yu, L.; Lau, S.; Redwing, J.; Lin, J.; Jiang, H. Dependence of Ni/AlGaN Schottky barrier height on Al mole fraction. J. Appl. Phys. 2000, 87, 801–804. [Google Scholar] [CrossRef]
- Suzue, K.; Mohammad, S.; Fan, Z.; Kim, W.; Aktas, O.; Botchkarev, A.; Morkoç, H. Electrical conduction in platinum–gallium nitride Schottky diodes. J. Appl. Phys. 1996, 80, 4467–4478. [Google Scholar] [CrossRef]
- Donoval, D.; Chvála, A.; Šramatý, R.; Kováč, J.; Morvan, E.; Dua, C.; DiForte-Poisson, M.; Kordoš, P. Transport properties and barrier height evaluation in Ni/InAlN/GaN Schottky diodes. J. Appl. Phys. 2011, 109, 063711. [Google Scholar] [CrossRef]
- Pelá, R.; Caetano, C.; Marques, M.; Ferreira, L.; Furthmüller, J.; Teles, L. Accurate band gaps of AlGaN, InGaN, and AlInN alloys calculations based on LDA-1/2 approach. Appl. Phys. Lett. 2011, 98, 151907. [Google Scholar] [CrossRef]
- Wagner, A.; Young, W.; Sugerman, A. A note on the correlation between the Schottky-diode barrier height and the ideality factor as determined from I-V measurements. IEEE Electron Device Lett. 1983, 4, 320–322. [Google Scholar] [CrossRef]
- Belyaev, A.; Boltovets, N.; Ivanov, V.; Klad’ko, V.; Konakova, R.; Kudrik, Y.; Kuchuk, A.; Milenin, V.; Sveshnikov, Y.; Sheremet, V. Mechanism of dislocation-governed charge transport in Schottky diodes based on gallium nitride. Semiconductors 2008, 42, 689–693. [Google Scholar] [CrossRef]
- Tarsa, E.; Heying, B.; Wu, X.; Fini, P.; DenBarrs, S.; Speck, J. Homoepitaxial growth of GaN under Ga-stable and N-stable conditions by plasma-assisted molecular beam epitaxy. J. Appl. Phys. 1997, 82, 5472–5479. [Google Scholar] [CrossRef]
- Moseley, M.; Allerman, A.; Crawford, M.; Wierer, J., Jr.; Smith, M.; Biedermann, L. Electrical current leakage and open-core threading dislocations in AlGaN-based deep ultraviolet light-emitting diodes. J. Appl. Phys. 2014, 116, 053104. [Google Scholar] [CrossRef]
- Michaelson, H. The work function of the elements and its periodicity. J. Appl. Phys. 1977, 48, 4729–4733. [Google Scholar] [CrossRef]
- Lee, C.; Lin, Y.; Liu, D. Schottky barrier height and surface state density of Ni/Au contacts to (NH4)2Sx–treated n-type GaN. Appl. Phys. Lett. 2001, 79, 2573–2575. [Google Scholar] [CrossRef]
- Hasegawa, H.; Susumu, O. Mechanism of anomalous current transport in n-type GaN Schottky contacts. J. Vac. Sci. Technol. B. 2002, 20, 1647–1655. [Google Scholar] [CrossRef]
- Gordon, L.; Miao, M.; Chowdhury, S.; Higashiwaki, M.; Mishra, U.; Walle, C. Distributed surface donor states and the two-dimensional electron gas at AlGaN/GaN heterojunctions. J. Phys. D Appl. Phys. 2010, 43, 505501. [Google Scholar] [CrossRef]
- Hashizume, Y.; Kotani, J.; Basile, A.; Kaneko, M. Surface control process of AlGaN for suppression of gate leakage currents in AlGaN/GaN heterostructure field effect transistors. Jpn. J. Appl. Phys. 2006, 45, L111–L113. [Google Scholar] [CrossRef]
- Özdemir, A.; Türüt, A.; Kökce, A. The interface state energy distribution from capacitance–frequency characteristics of gold/n-type Gallium arsenide Schottky barrier diodes exposed to air. Thin Solid Films 2003, 425, 2010–2015. [Google Scholar] [CrossRef]
- Lee, C.; Lin, C.; Lee, H.; Chen, P. Changes in surface state density due to chlorine treatment in GaN Schottky ultraviolet photodetectors. J. Appl. Phys. 2008, 103, 094504. [Google Scholar] [CrossRef]
- Enisherlova, K.; Goryachev, V.; Rusak, T.; Kapilin, S. Study of the effect of passivation layers on capacitance of AlGaN/GaN heterostructures. Modern Electron. Mater. 2016, 2, 131–137. [Google Scholar] [CrossRef]
- He, Y.; Mi, M.; Zhang, M.; Wang, C.; Ma, X.; Hao, Y. Influence of Thermal Annealing on AlGaN/GaN HEMT by Fluorine Plasma Treatment. In Proceedings of the 2016 13th China International Forum on Solid State Lighting: International Forum on Wide Bandgap Semiconductors China (SSLChina: IFWS), Beijing, China, 15–17 November 2016; IEEE: Piscataway, NJ, USA, 2016; pp. 116–119. [Google Scholar]
- Miczek, M.; Mizue, C.; Hashizume, T.; Adamowicz, B. Effects of interface states and temperature on the C–V behavior of metal/insulator/AlGaN/GaN heterostructure capacitors. J. Appl. Phys. 2008, 103, 104510. [Google Scholar] [CrossRef]
- He, Y.; Wang, C.; Mi, M.; Zheng, X.; Zhang, M.; Zhao, M.; Zhang, H.; Chen, L.; Zhang, J.; Ma, Z.; et al. Recessed-gate quasi-enhancement-mode AlGaN/GaN high electron mobility transistors with oxygen plasma treatment. Chin. Phys. B. 2016, 25, 117305. [Google Scholar] [CrossRef]
- Zhang, K.; Chen, X.; Mi, M.; Zhao, S.; Chen, Y.; Zhang, J.; Ma, X.; Hao, Y. Enhancement-mode AlGaN/GaN HEMTs with thin and high Al composition barrier layers using O2 plasma implantation. Phys. Status Solidi A. 2015, 212, 1081–1085. [Google Scholar] [CrossRef]
- Lv, Y.; Lin, Z.; Corrigan, T.; Zhao, J.; Cao, Z.; Meng, L.; Luan, C.; Wang, Z.; Chen, H. Extraction of AlGaN/GaN heterostructure Schottky diode barrier heights from forward current-voltage characteristics. J. Appl. Phys. 2011, 109, 074512. [Google Scholar] [CrossRef]
- Hung, T.; Krishnamoorthy, S.; Esposto, M.; Nath, D.; Park, P.; Rajan, S. Interface charge engineering at atomic layer deposited dielectric/III-nitride interfaces. Appl. Phys. Lett. 2013, 102, 072105. [Google Scholar] [CrossRef]










© 2020 by the authors. Licensee MDPI, Basel, Switzerland. This article is an open access article distributed under the terms and conditions of the Creative Commons Attribution (CC BY) license (http://creativecommons.org/licenses/by/4.0/).
Share and Cite
Kim, H.; Choi, S.; Choi, B.J. Forward Current Transport Properties of AlGaN/GaN Schottky Diodes Prepared by Atomic Layer Deposition. Coatings 2020, 10, 194. https://doi.org/10.3390/coatings10020194
Kim H, Choi S, Choi BJ. Forward Current Transport Properties of AlGaN/GaN Schottky Diodes Prepared by Atomic Layer Deposition. Coatings. 2020; 10(2):194. https://doi.org/10.3390/coatings10020194
Chicago/Turabian StyleKim, Hogyoung, Seok Choi, and Byung Joon Choi. 2020. "Forward Current Transport Properties of AlGaN/GaN Schottky Diodes Prepared by Atomic Layer Deposition" Coatings 10, no. 2: 194. https://doi.org/10.3390/coatings10020194
APA StyleKim, H., Choi, S., & Choi, B. J. (2020). Forward Current Transport Properties of AlGaN/GaN Schottky Diodes Prepared by Atomic Layer Deposition. Coatings, 10(2), 194. https://doi.org/10.3390/coatings10020194

