Population Pharmacokinetic Analysis of Amikacin for Optimal Pharmacotherapy in Korean Patients with Nontuberculous Mycobacterial Pulmonary Disease
Abstract
1. Introduction
2. Results
2.1. Demographic Characteristics
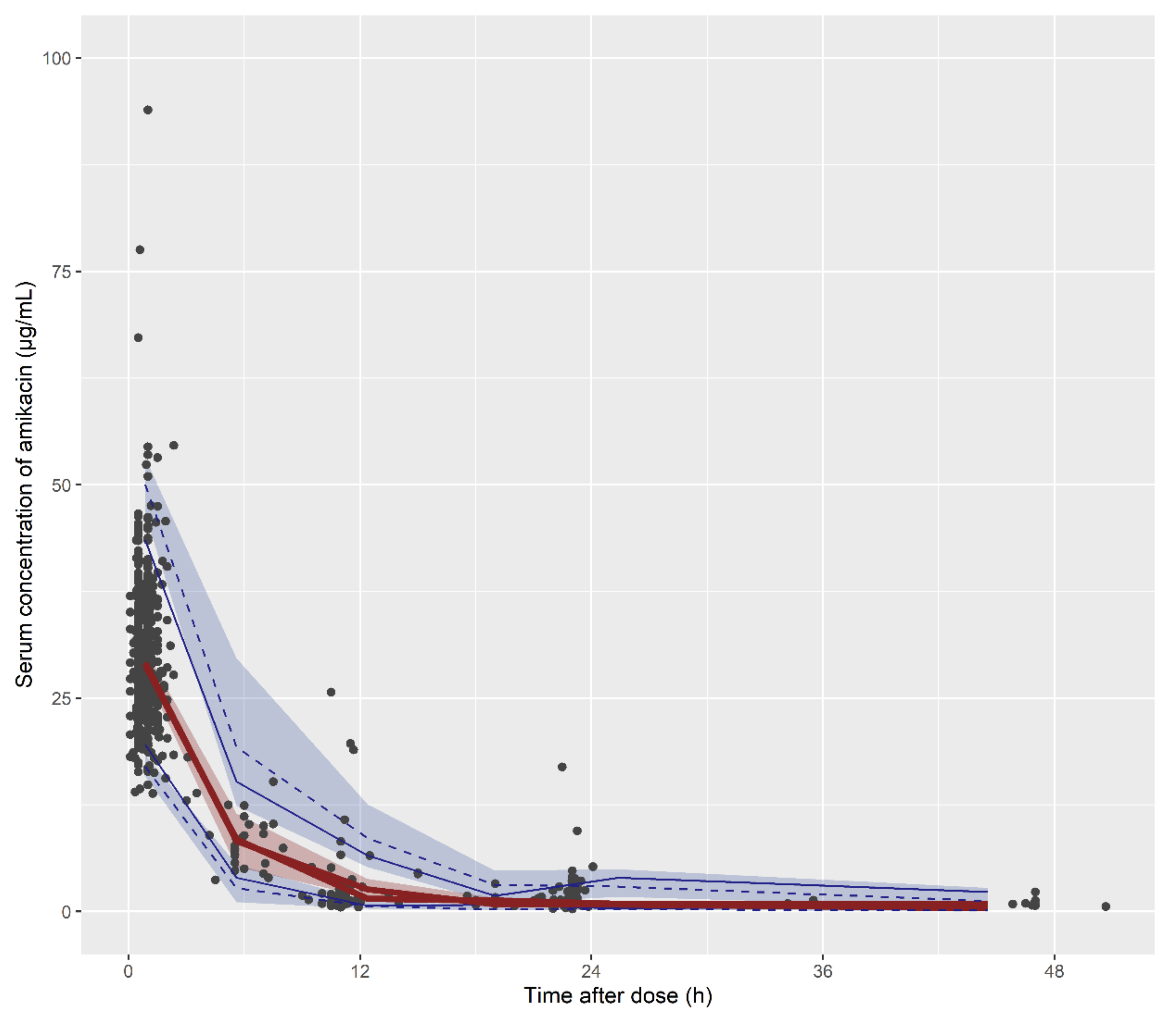
2.2. Final Population Pharmacokinetic Model
2.3. Once-Daily Dosing Recommendation
3. Discussion
4. Materials and Methods
4.1. Study Population
4.2. Population Pharmacokinetic Analysis
4.3. Model Evaluation
4.4. Optimal Dosing Simulation
5. Conclusions
Supplementary Materials
Author Contributions
Funding
Conflicts of Interest
References
- Kwon, Y.S.; Koh, W.J. Diagnosis and Treatment of Nontuberculous Mycobacterial Lung Disease. J. Korean Med. Sci. 2016, 31, 649–659. [Google Scholar] [CrossRef] [PubMed]
- Johnson, M.M.; Odell, J.A. Nontuberculous mycobacterial pulmonary infections. J. Thorac. Dis. 2014, 6, 210–220. [Google Scholar] [CrossRef] [PubMed]
- Wentworth, A.B.; Drage, L.A.; Wengenack, N.L.; Wilson, J.W.; Lohse, C.M. Increased incidence of cutaneous nontuberculous mycobacterial infection, 1980 to 2009: A population-based study. Mayo Clin. Proc. 2013, 88, 38–45. [Google Scholar] [CrossRef] [PubMed]
- Griffith, D.E.; Aksamit, T.; Brown-Elliott, B.A.; Catanzaro, A.; Daley, C.; Gordin, F.; Holland, S.M.; Horsburgh, R.; Huitt, G.; Iademarco, M.F.; et al. An official ATS/IDSA statement: Diagnosis, treatment, and prevention of nontuberculous mycobacterial diseases. Am. J. Resp. Crit. Care 2007, 175, 367–416. [Google Scholar] [CrossRef]
- Burton, M.E. Applied Pharmacokinetics & Pharmacodynamics: Principles of Therapeutic Drug Monitoring; Lippincott Williams & Wilkins: Baltimore, MD, USA, 2006. [Google Scholar]
- Cunha, B.A. New uses for older antibiotics: Nitrofurantoin, amikacin, colistin, polymyxin B, doxycycline, and minocycline revisited. Med. Clin. N. Am. 2006, 90, 1089–1107. [Google Scholar] [CrossRef]
- Philips, J.B.; Cassady, G. Amikacin: Pharmacology, indications and cautions for use, and dose recommendations. Semin. Perinatol. 1982, 6, 166–171. [Google Scholar]
- Egelund, E.F.; Fennelly, K.P.; Peloquin, C.A. Medications and monitoring in nontuberculous mycobacteria infections. Clin. Chest. Med. 2015, 36, 55–66. [Google Scholar] [CrossRef] [PubMed]
- Kato, H.; Hagihara, M.; Hirai, J.; Sakanashi, D.; Suematsu, H.; Nishiyama, N.; Koizumi, Y.; Yamagishi, Y.; Matsuura, K.; Mikamo, H. Evaluation of Amikacin Pharmacokinetics and Pharmacodynamics for Optimal Initial Dosing Regimen. Drugs R D 2017, 17, 177–187. [Google Scholar] [CrossRef]
- Drugs.com. Amikacin Dosage. Available online: https://www.drugs.com/dosage/amikacin.html (accessed on 2 December 2019).
- Peloquin, C.A. Therapeutic Drug Monitoring of the Antimycobacterial Drugs. Clin. Lab. Med. 1996, 16, 717–729. [Google Scholar] [CrossRef]
- Aznar, M.L.; Marras, T.K.; Elshal, A.S.; Mehrabi, M.; Brode, S.K. Safety and effectiveness of low-dose amikacin in nontuberculous mycobacterial pulmonary disease treated in Toronto, Canada. BMC Pharmacol. Toxicol. 2019, 20, 37. [Google Scholar] [CrossRef] [PubMed]
- Ellender, C.M.; Law, D.B.; Thomson, R.M.; Eather, G.W. Safety of IV amikacin in the treatment of pulmonary non-tuberculous mycobacterial disease. Respirology 2016, 21, 357–362. [Google Scholar] [CrossRef] [PubMed]
- Peloquin, C.A.; Berning, S.E.; Nitta, A.T.; Simone, P.M.; Goble, M.; Huitt, G.A.; Iseman, M.D.; Cook, J.L.; Curran-Everett, D. Aminoglycoside Toxicity: Daily versus Thrice-Weekly Dosing for Treatment of Mycobacterial Diseases. Clin. Infect. Dis. 2004, 38, 1538–1544. [Google Scholar] [CrossRef] [PubMed]
- Lee, H.; Myung, W.; Koh, W.-J.; Moon, S.M.; Jhun, B.W. Epidemiology of Nontuberculous Mycobacterial Infection, South Korea, 2007-2016. Emerg. Infect. Dis. 2019, 25, 569–572. [Google Scholar] [CrossRef] [PubMed]
- Yoon, H.J.; Choi, H.Y.; Ki, M. Nontuberculosis mycobacterial infections at a specialized tuberculosis treatment centre in the Republic of Korea. BMC Infect. Dis. 2017, 17, 432. [Google Scholar] [CrossRef]
- Kwon, Y.S. Diagnosis and Treatment of Nontuberculous Mycobacterial Lung Disease. Korean J. Med. 2012, 82, 274–283. [Google Scholar] [CrossRef]
- Jenkins, A.; Thomson, A.H.; Brown, N.M.; Semple, Y.; Sluman, C.; MacGowan, A.; Lovering, A.M.; Wiffen, P.J. Amikacin use and therapeutic drug monitoring in adults: Do dose regimens and drug exposures affect either outcome or adverse events? A systematic review. J. Antimicrob. Chemother. 2016, 71, 2754–2759. [Google Scholar] [CrossRef]
- Romano, S.; Fdez de Gatta, M.M.; Calvo, M.V.; Caballero, D.; Dominguez-Gil, A.; Lanao, J.M. Population pharmacokinetics of amikacin in patients with haematological malignancies. J. Antimicrob. Chemother. 1999, 44, 235–242. [Google Scholar] [CrossRef]
- Jang, S.B.; Lee, Y.J.; Park, M.S.; Song, Y.G.; Kim, J.H.; Kim, H.K.; Ahn, B.S.; Park, K. Population pharmacokinetics of amikacin in a Korean clinical population. Int. J. Clin. Pharmacol. Ther. 2011, 49, 371–381. [Google Scholar] [CrossRef]
- Illamola, S.M.; Huynh, H.Q.; Liu, X.; Bhakta, Z.N.; Sherwin, C.M.; Liou, T.G.; Carveth, H.; Young, D.C. Population Pharmacokinetics of Amikacin in Adult Patients with Cystic Fibrosis. Antimicrob. Agents Chemother. 2018, 62, e00877-18. [Google Scholar] [CrossRef] [PubMed]
- Tod, M.; Lortholary, O.; Seytre, D.; Semaoun, R.; Uzzan, B.; Guillevin, L.; Casassus, P.; Petitjean, O. Population pharmacokinetic study of amikacin administered once or twice daily to febrile, severely neutropenic adults. Antimicrob. Agents Chemother. 1998, 42, 849–856. [Google Scholar] [CrossRef]
- Aréchiga-Alvarado, N.A.; Medellín-Garibay, S.E.; Milán-Segovia, R.d.C.; Ortiz-Álvarez, A.; Magaña-Aquino, M.; Romano-Moreno, S. Population Pharmacokinetics of Amikacin Administered Once Daily in Patients with Different Renal Functions. Antimicrob. Agents Chemother. 2020, 64, e02178-19. [Google Scholar] [CrossRef]
- Gutierrez Millan, C.; Zarzuelo Castaneda, A.; Gonzalez Lopez, F.; Sayalero Marinero, M.L.; Lanao, J.M. Pharmacokinetics and biodistribution of amikacin encapsulated in carrier erythrocytes. J. Antimicrob. Chemother. 2008, 61, 375–381. [Google Scholar] [CrossRef]
- Stout, J.E.; Koh, W.-J.; Yew, W.W. Update on pulmonary disease due to non-tuberculous mycobacteria. Int. J. Infect. Dis. 2016, 45, 123–134. [Google Scholar] [CrossRef]
- Barza, M.; Brown, R.B.; Shen, D.; Gibaldi, M.; Weinstein, L. Predictability of blood levels of gentamicin in man. J. Infect. Dis. 1975, 132, 165–174. [Google Scholar] [CrossRef]
- Meng, L.; Mui, E.; Holubar, M.K.; Deresinski, S.C. Comprehensive Guidance for Antibiotic Dosing in Obese Adults. Pharmacother. J. Hum. Pharmacol. Drug Ther. 2017, 37, 1415–1431. [Google Scholar] [CrossRef]
- Velissaris, D.; Karamouzos, V.; Marangos, M.; Pierrakos, C.; Karanikolas, M. Pharmacokinetic changes and dosing modification of aminoglycosides in critically ill obese patients: A literature review. J. Clin. Med. Res. 2014, 6, 227–233. [Google Scholar] [CrossRef]
- Zaske, D.E.; Strate, R.G.; Kohls, P.R. Amikacin pharmacokinetics: Wide interpatient variation in 98 patients. J. Clin. Pharmacol. 1991, 31, 158–163. [Google Scholar] [CrossRef]
- French, M.A.; Cerra, F.B.; Plaut, M.E.; Schentag, J.J. Amikacin and gentamicin accumulation pharmacokinetics and nephrotoxicity in critically ill patients. Antimicrob. Agents Chemother. 1981, 19, 147–152. [Google Scholar] [CrossRef] [PubMed]
- Bland, C.M.; Pai, M.P.; Lodise, T.P. Reappraisal of Contemporary Pharmacokinetic and Pharmacodynamic Principles for Informing Aminoglycoside Dosing. Pharmacother. J. Hum. Pharmacol. Drug Ther. 2018, 38, 1229–1238. [Google Scholar] [CrossRef]
- Zubairi, A.M.; Hussain, A. The glomerular filtration rate: Comparison of various predictive equations based on serum creatinine with conventional creatinine clearance test in Pakistani population. J. Pak. Med. Assoc. 2008, 58, 182–185. [Google Scholar]




| Variable | Patients (N = 70) |
|---|---|
| Mean ± SD (Min–Max) | |
| Age (years) | 66.0 ± 11.5 (25.0–85.0) |
| BMI (kg/m2) | 20.2 ± 3.7 (12.8–33.3) |
| Height (cm) | 160.5 ± 8.2 (146.1–177.0) |
| Body weight (kg) | 51.9 ± 11.2 (29.9–79.8) |
| Serum creatinine (mg/dL) | 0.7 ± 0.2 (0.3–1.9) |
| eGFR (mL/min/1.73 m2) | 95.7 ± 36.4 (26.8–297.8) |
| Albumin (g/dL) | 3.6 ± 0.5 (1.6–4.8) |
| Parameter | Based Model (OFV = −899.01) | Final Model (OFV = −943.678) | Bootstrap (n = 1000) | ||
|---|---|---|---|---|---|
| Estimate (% RSE) | IIV (% RSE) | Estimate (% RSE) | IIV (% RSE) | Median (95% CI) | |
| CL (L/h) | 3.5 (5) | 30.4% (10) | 3.52 (5) | 27.9% (10) | 3.527 (3.219–3.789) |
| ~eGFR effect on CL | - | - | 0.229 (32) | - | 0.228 (0.051–0.331) |
| V1 (L) | 14.5 (4) | 21.9% (10) | 14.4 (4) | 18% (12) | 14.297 (13.462–15.250) |
| ~WT effect on V1 | - | - | 0.702 (17) | - | 0.681 (0.472–0.897) |
| V2 (L) | 16.4 (35) | - | 14.2 (34) | - | 14.864 (8.946–41.629) |
| Q (L/h) | 0.443 (24) | - | 0.464 (25) | - | 0.477 (0.318–0.685) |
| Covariance between etas of CL and V1 | 0.00623 | - | −0.0135 | - | −0.012 (−0.289–0.006) |
| Additive residual error | 0.303 (8) | - | 0.299 (8) | - | 0.294 (0.254–0.331) |
| Body Weight (kg) | Normal (≥90 mL/min/1.73 m2) | Mild (60–89 mL/min/1.73 m2) | Moderate (30–59 mL/min/1.73 m2) | Severe (15–29 mL/min/1.73 m2) | ESRD (<15 mL/min/1.73 m2) |
|---|---|---|---|---|---|
| <45 | 14 | 13 | 13 | 13 | 13 |
| 45 ≤ WT < 55 | 12 | 12 | 12 | 12 | 12 |
| 55 ≤ WT <70 | 11 | 11 | 11 | 11 | 10 |
| 70 ≤ WT <85 | 11 | 10 | 10 | 9 | 9 |
| WT ≥ 85 | 10 | 10 | 10 | 9 | 8 |
Publisher’s Note: MDPI stays neutral with regard to jurisdictional claims in published maps and institutional affiliations. |
© 2020 by the authors. Licensee MDPI, Basel, Switzerland. This article is an open access article distributed under the terms and conditions of the Creative Commons Attribution (CC BY) license (http://creativecommons.org/licenses/by/4.0/).
Share and Cite
Jin, X.; Oh, J.; Cho, J.-Y.; Lee, S.; Rhee, S.-j. Population Pharmacokinetic Analysis of Amikacin for Optimal Pharmacotherapy in Korean Patients with Nontuberculous Mycobacterial Pulmonary Disease. Antibiotics 2020, 9, 784. https://doi.org/10.3390/antibiotics9110784
Jin X, Oh J, Cho J-Y, Lee S, Rhee S-j. Population Pharmacokinetic Analysis of Amikacin for Optimal Pharmacotherapy in Korean Patients with Nontuberculous Mycobacterial Pulmonary Disease. Antibiotics. 2020; 9(11):784. https://doi.org/10.3390/antibiotics9110784
Chicago/Turabian StyleJin, Xuanyou, Jaeseong Oh, Joo-Youn Cho, SeungHwan Lee, and Su-jin Rhee. 2020. "Population Pharmacokinetic Analysis of Amikacin for Optimal Pharmacotherapy in Korean Patients with Nontuberculous Mycobacterial Pulmonary Disease" Antibiotics 9, no. 11: 784. https://doi.org/10.3390/antibiotics9110784
APA StyleJin, X., Oh, J., Cho, J.-Y., Lee, S., & Rhee, S.-j. (2020). Population Pharmacokinetic Analysis of Amikacin for Optimal Pharmacotherapy in Korean Patients with Nontuberculous Mycobacterial Pulmonary Disease. Antibiotics, 9(11), 784. https://doi.org/10.3390/antibiotics9110784

