Metronidazole and Vancomycin Have a Synergic Effect, with Plant Extracts as Helpful Tools to Combat Clostridioides difficile Infections
Abstract
1. Introduction
2. Results
2.1. Inhibition Activity Analysis
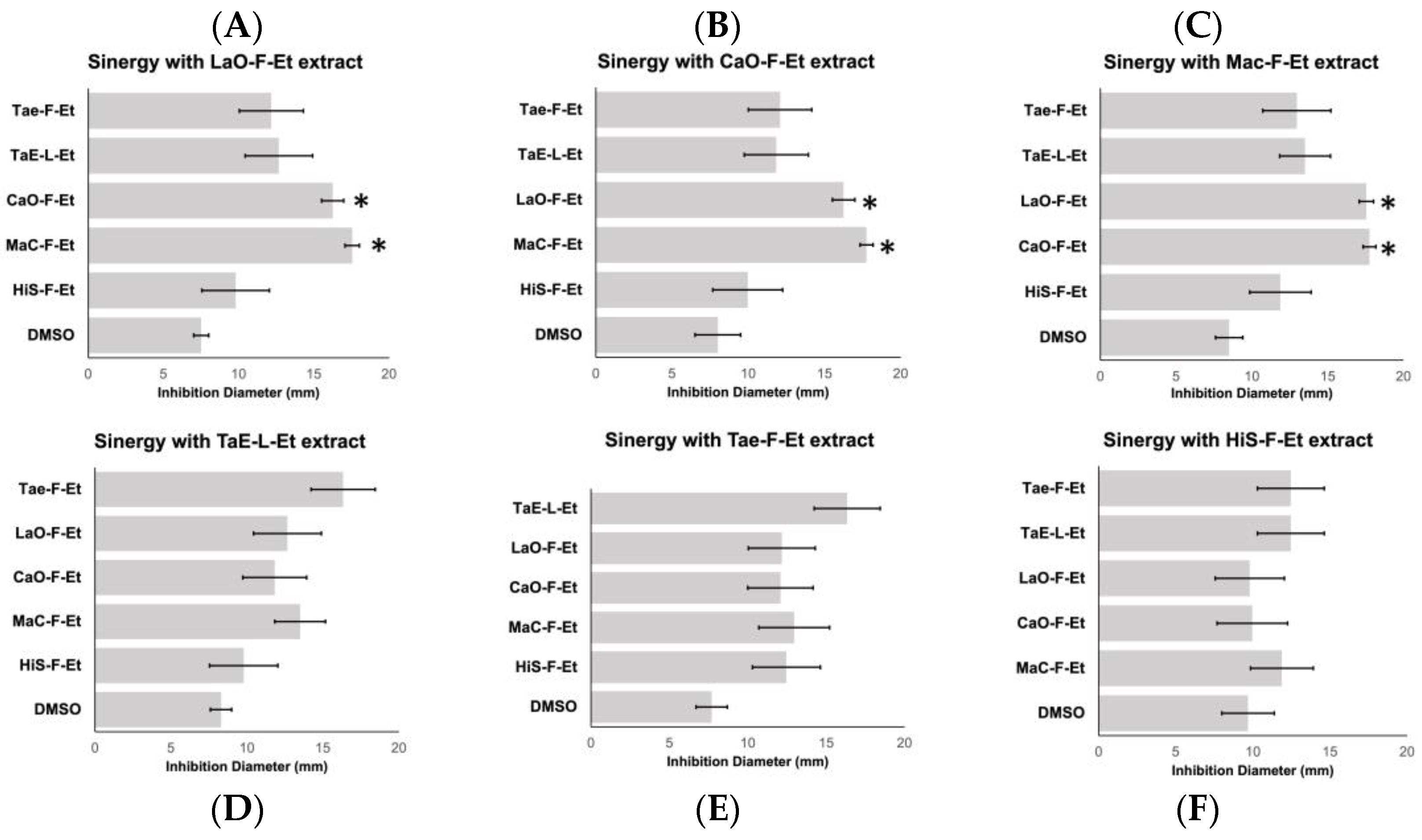
2.2. The Synergic Effect Between the Extracts
2.3. The Synergic Effect Between the Extracts and the Antibiotics Against CDI
3. Discussion
4. Materials and Methods
4.1. Microorganisms
4.2. Plant Extracts (PEs)
4.3. Evaluation of Antimicrobial Activity of PEs
4.4. Qualitative Evaluation of the EPs
4.5. Synergy or Antagonism Effect Between the Extracts
4.6. Synergic Effect Between the Extracts and the Antibiotics
4.7. Statistical Analysis
Author Contributions
Funding
Institutional Review Board Statement
Informed Consent Statement
Data Availability Statement
Conflicts of Interest
References
- Le, F.; Arora, V.; Shah, D.N.; Salazar, M.; Palmer, H.R.; Garey, K.W. A Real-World Evaluation of Oral Vancomycin for Severe Clostridium Difficile Infection: Implications for Antibiotic Stewardship Programs. Pharmacotherapy 2012, 32, 129–134. [Google Scholar] [CrossRef] [PubMed]
- Edwards, A.N.; Karim, S.T.; Pascual, R.A.; Jowhar, L.M.; Anderson, S.E.; McBride, S.M. Chemical and Stress Resistances of Clostridium Difficile Spores and Vegetative Cells. Front. Microbiol. 2016, 7, 1698. [Google Scholar] [CrossRef] [PubMed]
- Al-Zahrani, I.A. Clostridioides (Clostridium) Difficile: A Silent Nosocomial Pathogen. Saudi Med. J. 2023, 44, 825. [Google Scholar] [CrossRef] [PubMed]
- McDonald, L.C.; Killgore, G.E.; Thompson, A.; Owens, R.C.; Kazakova, S.V.; Sambol, S.P.; Johnson, S.; Gerding, D.N. An Epidemic, Toxin Gene-Variant Strain of Clostridium Difficile. N. Engl. J. Med. 2005, 353, 2433–2441. [Google Scholar] [CrossRef] [PubMed]
- Marra, A.R.; Perencevich, E.N.; Nelson, R.E.; Samore, M.; Khader, K.; Chiang, H.-Y.; Chorazy, M.L.; Herwaldt, L.A.; Diekema, D.J.; Kuxhausen, M.F.; et al. Incidence and Outcomes Associated With Clostridium Difficile Infections: A Systematic Review and Meta-Analysis. JAMA Netw. Open 2020, 3, e1917597. [Google Scholar] [CrossRef]
- Song, J.H.; Kim, Y.S. Recurrent Clostridium Difficile Infection: Risk Factors, Treatment, and Prevention. Gut Liver 2019, 13, 16–24. [Google Scholar] [CrossRef]
- Sholeh, M.; Krutova, M.; Forouzesh, M.; Mironov, S.; Sadeghifard, N.; Molaeipour, L.; Maleki, A.; Kouhsari, E. Antimicrobial Resistance in Clostridioides (Clostridium) Difficile Derived from Humans: A Systematic Review and Meta-Analysis. Antimicrob. Resist. Infect. Control 2020, 9, 158. [Google Scholar] [CrossRef]
- Clinical Practice Guideline by the Infectious Diseases Society of America (IDSA) and Society for Healthcare Epidemiology of America (SHEA): 2021 Focused Update Guidelines on Management of Clostridioides Difficile Infection in Adults. Available online: https://pubmed.ncbi.nlm.nih.gov/34164674/ (accessed on 8 October 2024).
- AlSheikh, H.M.A.; Sultan, I.; Kumar, V.; Rather, I.A.; Al-Sheikh, H.; Jan, A.T.; Haq, Q.M.R. Plant-Based Phytochemicals as Possible Alternative to Antibiotics in Combating Bacterial Drug Resistance. Antibiotics 2020, 9, 480. [Google Scholar] [CrossRef]
- Plant-Derived Antimicrobials and Their Crucial Role in Combating Antimicrobial Resistance. Available online: https://www.mdpi.com/2079-6382/13/8/746 (accessed on 19 November 2024).
- De la Cruz, L.; Guzman, M.; Viveros- Valdez, E. Traditional Medicinal Plants Used for the Treatment of Gastrointestinal Diseases in Chiapas, México. World Appl. Sci. J. 2014, 31, 508–515. [Google Scholar] [CrossRef]
- Lucía, C.-P.A.; Jacqueline, B.-R.; Alberto, B.-R.L.; David, B.-A.; Beatriz, R.-A. Actualized Inventory of Medicinal Plants Used in Traditional Medicine in Oaxaca, Mexico. J. Ethnobiol. Ethnomed. 2021, 17, 7. [Google Scholar] [CrossRef] [PubMed]
- Pérez-Ochoa, M.L.; Chávez-Servia, J.L.; Vera-Guzmán, A.M.; Aquino-Bolaños, E.N.; Carrillo-Rodríguez, J.C.; Pérez-Ochoa, M.L.; Chávez-Servia, J.L.; Vera-Guzmán, A.M.; Aquino-Bolaños, E.N.; Carrillo-Rodríguez, J.C. Medicinal Plants Used by Indigenous Communities of Oaxaca, Mexico, to Treat Gastrointestinal Disorders. In Pharmacognosy—Medicinal Plants; IntechOpen: London, UK, 2018; ISBN 978-1-83880-611-8. [Google Scholar]
- Moreno-Salazar, S.F.; Robles-Zepeda, R.E.; Johnson, D.E. Plant Folk Medicines for Gastrointestinal Disorders among the Main Tribes of Sonora, Mexico. Fitoterapia 2008, 79, 132–141. [Google Scholar] [CrossRef] [PubMed]
- Abdallah, E.M.; Alhatlani, B.Y.; de Paula Menezes, R.; Martins, C.H.G. Back to Nature: Medicinal Plants as Promising Sources for Antibacterial Drugs in the Post-Antibiotic Era. Plants 2023, 12, 3077. [Google Scholar] [CrossRef] [PubMed]
- Chan, K. Progress in Traditional Chinese Medicine. Trends Pharmacol. Sci. 1995, 16, 182–187. [Google Scholar] [CrossRef] [PubMed]
- Kirst, H.A. Developing New Antibacterials through Natural Product Research. Expert Opin. Drug Discov. 2013, 8, 479–493. [Google Scholar] [CrossRef] [PubMed]
- Hewlings, S.J.; Kalman, D.S. Curcumin: A Review of Its’ Effects on Human Health. Foods 2017, 6, 92. [Google Scholar] [CrossRef] [PubMed]
- Carson, C.F.; Hammer, K.A.; Riley, T.V. Melaleuca Alternifolia (Tea Tree) Oil: A Review of Antimicrobial and Other Medicinal Properties. Clin. Microbiol. Rev. 2006, 19, 50–62. [Google Scholar] [CrossRef]
- Jang, H.-J.; Lee, H.-J.; Yoon, D.-K.; Ji, D.-S.; Kim, J.-H.; Lee, C.-H. Antioxidant and Antimicrobial Activities of Fresh Garlic and Aged Garlic By-Products Extracted with Different Solvents. Food Sci. Biotechnol. 2017, 27, 219. [Google Scholar] [CrossRef] [PubMed]
- Anand, P.; Thomas, S.G.; Kunnumakkara, A.B.; Sundaram, C.; Harikumar, K.B.; Sung, B.; Tharakan, S.T.; Misra, K.; Priyadarsini, I.K.; Rajasekharan, K.N.; et al. Biological Activities of Curcumin and Its Analogues (Congeners) Made by Man and Mother Nature. Biochem. Pharmacol. 2008, 76, 1590–1611. [Google Scholar] [CrossRef] [PubMed]
- Brdjanin, S.; Bogdanovic, N.; Kolundzic, M.; Milenkovic, M.; Golic, N.; Kojic, M.; Kundakovic, T. Antimicrobial Activity of Oregano (Origanum vulgare L.): And Basil (Ocimum basilicum L.): Extracts. Adv. Technol. 2015, 4, 5–10. [Google Scholar] [CrossRef]
- Herrera-Calderon, O.; Ejaz, K.; Wajid, M.; Shehzad, M.; Tinco-Jayo, J.A.; Enciso-Roca, E.; Franco-Quino, C.; Yuli-Posadas, R.A.; Chumpitaz-Cerrate, V. Azadirachta Indica: Antibacterial Activity of Neem Against Different Strains of Bacteria and Their Active Constituents as Preventive in Various Diseases. Pharmacogn. J. 2019, 11, 1597–1604. [Google Scholar] [CrossRef]
- Atki, Y.E.; Aouam, I.; Kamari, F.E.; Taroq, A.; Nayme, K.; Timinouni, M.; Lyoussi, B.; Abdellaoui, A. Antibacterial Activity of Cinnamon Essential Oils and Their Synergistic Potential with Antibiotics. J. Adv. Pharm. Technol. Res. 2019, 10, 63. [Google Scholar] [CrossRef] [PubMed]
- Guzmán-Gutiérrez, S.L.; Reyes-Chilpa, R.; González-Diego, L.R.; Silva-Miranda, M.; López-Caamal, A.; García-Cruz, K.P.; Jiménez-Mendoza, M.S.; Arciniegas, A.; Espitia, C. Five Centuries of Cirsium Ehrenbergii Sch. Bip. (Asteraceae) in Mexico, from Huitzquilitl to Cardo Santo: History, Ethnomedicine, Pharmacology and Chemistry. J. Ethnopharmacol. 2023, 301, 115778. [Google Scholar] [CrossRef]
- González, D.; Rigel, L. Actividad Antiinflamatoria y Perfil Neurofarmacológico del Huitzquilitl (Cirsium ehrenbergii Sch. Bip., Asteraceae), una Planta del Códice de la Cruz-Badiano. Bachelor’s Thesis, Universidad Nacional Autónoma de México, Mexico City, Mexico, 2019. [Google Scholar]
- Centers for Disease Control and Prevention (U.S.). Antibiotic Resistance Threats in the United States, 2019; Centers for Disease Control and Prevention (U.S.): Atlanta, GA, USA, 2019.
- Vaou, N.; Stavropoulou, E.; Voidarou, C.; Tsigalou, C.; Bezirtzoglou, E. Towards Advances in Medicinal Plant Antimicrobial Activity: A Review Study on Challenges and Future Perspectives. Microorganisms 2021, 9, 2041. [Google Scholar] [CrossRef]
- Roshan, N.; Riley, T.V.; Hammer, K.A. Antimicrobial Activity of Natural Products against Clostridium Difficile In Vitro. J. Appl. Microbiol. 2017, 123, 92–103. [Google Scholar] [CrossRef]
- Mody, D.; Athamneh, A.I.M.; Seleem, M.N. Curcumin: A Natural Derivative with Antibacterial Activity against Clostridium difficile. J. Glob. Antimicrob. Resist. 2020, 21, 154–161. [Google Scholar] [CrossRef]
- Venkatesan, K.; Venkatesan, S.; Manivannan, N. Antibacterial Activity of Hibiscus Sabdariffa (Rosella) Using Methanolic Extract. J. Pharm. Bioallied Sci. 2024, 16, S1191. [Google Scholar] [CrossRef] [PubMed]
- Abass, A.A.; Al-Magsoosi, M.J.N.; Kadhim, W.A.; Mustafa, R.; Ibrahim, S.A.; Aljdaimi, A.I.; Al-Nasrawi, S.J.; Hadi, N.R.; Haider, J. Antimicrobial Effect of Red Roselle (Hibiscus Sabdariffa) against Different Types of Oral Bacteria. J. Med. Life 2022, 15, 89. [Google Scholar] [CrossRef]
- Ahani Azari, A.; Danesh, A. Antibacterial Effect of Matricaria Chamomilla Alcoholic Extract against Drug-Resistant Isolates of Staphylococcus Aureus and Pseudomonas Aeruginosa. Infect. Epidemiol. Microbiol. 2021, 7, 29–35. [Google Scholar] [CrossRef]
- Andrys, D.; Kulpa, D.; Grzeszczuk, M.; Bihun, M.; Dobrowolska, A. Antioxidant and Antimicrobial Activities of Lavandula Angustifolia Mill. Field-Grown and Propagated In Vitro. Folia Hortic. 2017, 29, 161–180. [Google Scholar] [CrossRef]
- Camacho-Campos, C.; Pérez-Hernández, Y.; Valdivia-Ávila, A.; Ramírez-Pérez, H.L.; Gómez-Brisuela, L.; Camacho-Campos, C.; Pérez-Hernández, Y.; Valdivia-Ávila, A.; Ramírez-Pérez, H.L.; Gómez-Brisuela, L. Propiedades Fitoquímicas y Antibacterianas de Extractos de Tagetes Erecta L. (Asteraceae). Rev. Cuba. Quím. 2019, 31, 53–64. [Google Scholar]
- de Oliveira, S.M.S.; Falcão-Silva, V.S.; Siqueira-Junior, J.P.; Costa, M.J.; de Melo Diniz, M.F. Modulation of Drug Resistance in Staphylococcus Aureus by Extract of Mango (Mangifera indica L., Anacardiaceae) Peel. Rev. Bras. Farmacogn. 2011, 21, 190–193. [Google Scholar] [CrossRef]




| Nomenclature | Botanical Name | Common Name | Part Plant | Type of Solvent | Reference |
|---|---|---|---|---|---|
| HiS-F-Et | Hibiscus sabdariffa L. | Roselle | Flower | Ethanol | This study |
| MaC-F-Et | Matricaria chamomilla | Chamomile | Flower | Ethanol | This study |
| Bru-F-Et | Brugmansia arborea | Angel’s trumpet | Flower | Ethanol | This study |
| CaO-F-Et | Calendula officinalis | Marigold | Flower | Ethanol | This study |
| LaI-F-Et | Lavandula x intermedia | Lavandin | Flower | Ethanol | This study |
| DaF-L-Et | Datura ferox | Toloache | Leaves | Ethanol | This study |
| LaO-F-Et | Lavandula officinalis | Lavender | Flower | Ethanol | This study |
| TaE-L-Et | Tagetes erecta | Cempasuchitl | Leaves | Ethanol | This study |
| TaE-F-Et | Tagetes erecta | Cempasuchitl | Flower | Ethanol | This study |
| ViMex-X-Et | Vismia mexicana | Vismia | Aerial | Ethanol | |
| ViMex7 | Vismia mexicana | Vismia | Aerial | Ethanol | |
| LauMa-X-Hex | Litsea glaucens | Mexican bay leaf | Aerial | Hexane | |
| LauMa-X-AcoEt | Litsea glaucens | Mexican bay leaf | Leaves | Ethyl Acetate | |
| Lau-F-Hex | Litsea glaucens | Mexican bay leaf | Female Leaves | Ethyl Acetate | |
| LisMa-MeOH | Litsea glaucens | Mexican bay leaf | Male Leaves | Methanol | |
| Lis-F-MeOH | Litsea glaucens | Mexican bay leaf | Female Leaves | Methanol | |
| Lis-F-Hex-He | Litsea glaucens | Mexican bay leaf | Flower | Hexane | |
| Cir-F-MeOH | Cirsium ehrenbergil | Cardo Santo | Flower | Methanol | [25,26] |
| Cir-F-DiMet | Cirsium ehrenbergil | Cardo Santo | Flower | Dichloromethane | |
| Cir-F-MeOH | Cirsium ehrenbergil | Cardo Santo | Flower | Methanol | |
| Cir-H-AcoEt | Cirsium ehrenbergil | Cardo Santo | Leaves | Ethyl Acetate | |
| Cir-H-MeOH | Cirsium ehrenbergil | Cardo Santo | Leaves | Methanol | |
| Cir-F-AcoEt | Cirsium ehrenbergil | Cardo Santo | Flower | Ethyl Acetate | |
| Lin-F-MeOH | L. indigo | Índigo | Flower | Methanol |
| HiS-F-Et | MaC-F-Et | CaO-F-Et | LaO-F-Et | TaE-L-Et | TaE-F-Et | |
|---|---|---|---|---|---|---|
| Flavonoid | +++ | ++ | ++ | ++ | ++ | + |
| Terpenoid | ++ | - | - | - | + | ++ |
| Steroid | - | - | - | - | - | - |
| Alkaloid | - | - | + | - | ++ | + |
| Polyphenols | + | ++ | ++ | - | - | - |
| MIC (μg/mL) | MBC (μg/mL) | |
|---|---|---|
| HiS-F-Et | 134.18 ± 8.22 | 147.04 ± 4.11 |
| MaC-F-Et | 155.47 ± 3.02 | 156.72 ± 1.04 |
| CaO-F-Et | 141.03 ± 1.07 | 159.03 ± 3.07 |
| LaO-F-Et | 146.26 ± 4.86 | 159.03 ± 3.35 |
| TaE-L-Et | 152.30 ± 1.90 | 156.35 ± 1.15 |
| TaE-F-Et | 154.71 ± 1.41 | 167.62 ± 4.85 |
| Extract A | Extract B | FICI index | Extract A | Extract B | FICI Index |
|---|---|---|---|---|---|
| HiS-F-Et | MaC-F-Et | 1.10 | LaOs-F-Et | HiS-F-Et | 1.11 |
| CaO-F-Et | 1.06 | MaC-F-Et | 1.72 | ||
| LaOs-F-Et | 1.65 | CaO-F-Et | 1.80 | ||
| TaE-L-Et | 1.95 | TaE-L-Et | 1.28 | ||
| Tae-F-Et | 1.90 | Tae-F-Et | 1.24 | ||
| MaC-F-Et | HiS-F-Et | 1.79 | TaE-L-Et | HiS-F-Et | 1.19 |
| CaO-F-Et | 2.70 | MaC-F-Et | 1.22 | ||
| LaOs-F-Et | 2.93 | CaO-F-Et | 1.25 | ||
| TaE-L-Et | 1.18 | LaOs-F-Et | 1.31 | ||
| Tae-F-Et | 1.25 | Tae-F-Et | 1.39 | ||
| CaO-F-Et | HiS-F-Et | 1.12 | Tae-F-Et | HiS-F-Et | 1.24 |
| MaC-F-Et | 2.05 | MaC-F-Et | 1.25 | ||
| LaOs-F-Et | 1.79 | CaO-F-Et | 1.22 | ||
| TaE-L-Et | 1.21 | LaOs-F-Et | 1.23 | ||
| Tae-F-Et | 3.71 | TaE-L-Et | 1.35 |
| Ab/PE Combination | FICI |
|---|---|
| Van + HiS-F-Et | 2.129 |
| Van + MaC-F-Et | 0.192 |
| Van + CaO-F-Et | 0.268 |
| Van + LaO-F-Et | 1.068 |
| Van + TaE-L-Et | 1.103 |
| Van + TaE-F-Et | 2.710 |
| Mtz + HiS-F-Et | 0.393 |
| Mtz + MaC-F-Et | 0.340 |
| Mtz + CaO-F-Et | 0.226 |
| Mtz + LaO-F-Et | 1.878 |
| Mtz + TaE-L-Et | 3.423 |
| Mtz + TaE-F-Et | 0.392 |
Disclaimer/Publisher’s Note: The statements, opinions and data contained in all publications are solely those of the individual author(s) and contributor(s) and not of MDPI and/or the editor(s). MDPI and/or the editor(s) disclaim responsibility for any injury to people or property resulting from any ideas, methods, instructions or products referred to in the content. |
© 2025 by the authors. Licensee MDPI, Basel, Switzerland. This article is an open access article distributed under the terms and conditions of the Creative Commons Attribution (CC BY) license (https://creativecommons.org/licenses/by/4.0/).
Share and Cite
Ruiz-Pérez, N.C.; Bayona-Pérez, Y.; Guzmán-Gutiérrez, S.L.; Reyes-Chilpa, R.; Luna-Pineda, V.M.; Torres, J.; Romo-Castillo, M. Metronidazole and Vancomycin Have a Synergic Effect, with Plant Extracts as Helpful Tools to Combat Clostridioides difficile Infections. Antibiotics 2025, 14, 54. https://doi.org/10.3390/antibiotics14010054
Ruiz-Pérez NC, Bayona-Pérez Y, Guzmán-Gutiérrez SL, Reyes-Chilpa R, Luna-Pineda VM, Torres J, Romo-Castillo M. Metronidazole and Vancomycin Have a Synergic Effect, with Plant Extracts as Helpful Tools to Combat Clostridioides difficile Infections. Antibiotics. 2025; 14(1):54. https://doi.org/10.3390/antibiotics14010054
Chicago/Turabian StyleRuiz-Pérez, Nancy C., Yuli Bayona-Pérez, Silvia Laura Guzmán-Gutiérrez, Ricardo Reyes-Chilpa, Víctor M. Luna-Pineda, Javier Torres, and Mariana Romo-Castillo. 2025. "Metronidazole and Vancomycin Have a Synergic Effect, with Plant Extracts as Helpful Tools to Combat Clostridioides difficile Infections" Antibiotics 14, no. 1: 54. https://doi.org/10.3390/antibiotics14010054
APA StyleRuiz-Pérez, N. C., Bayona-Pérez, Y., Guzmán-Gutiérrez, S. L., Reyes-Chilpa, R., Luna-Pineda, V. M., Torres, J., & Romo-Castillo, M. (2025). Metronidazole and Vancomycin Have a Synergic Effect, with Plant Extracts as Helpful Tools to Combat Clostridioides difficile Infections. Antibiotics, 14(1), 54. https://doi.org/10.3390/antibiotics14010054

