Chemical Composition and Antibacterial Effect of Clove and Thyme Essential Oils on Growth Inhibition and Biofilm Formation of Arcobacter spp. and Other Bacteria
Abstract
1. Introduction
2. Results
2.1. Chemical Composition
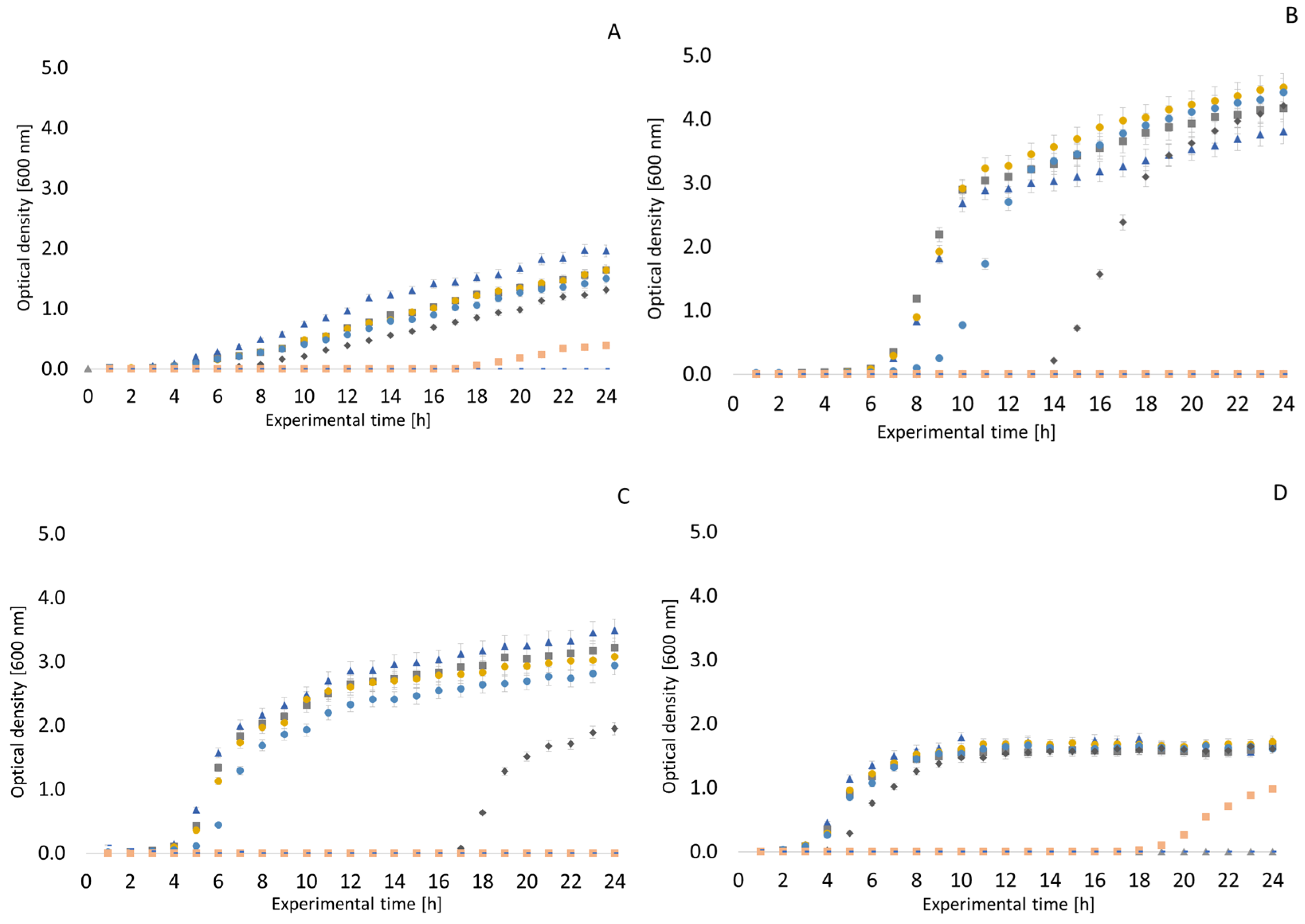
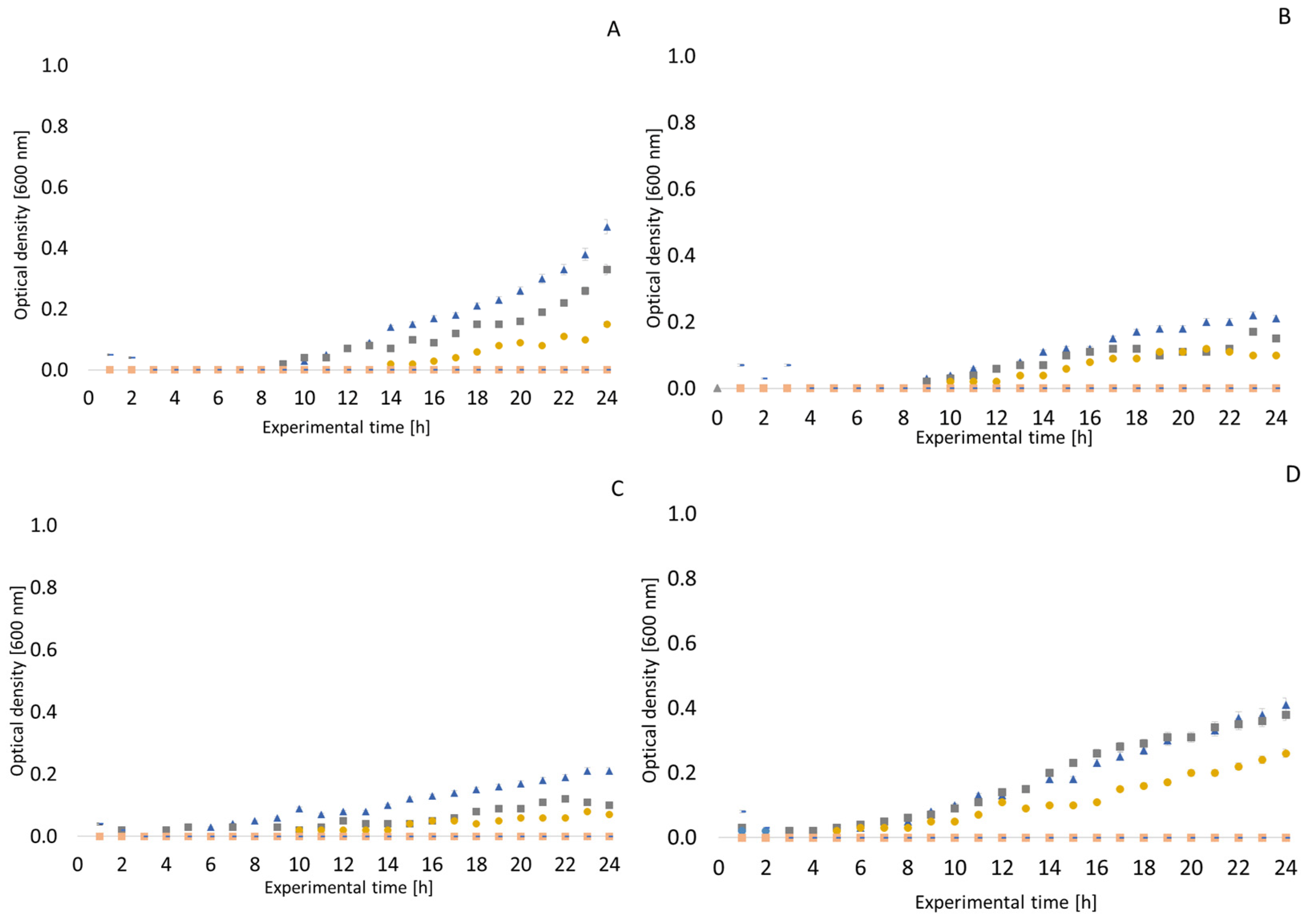
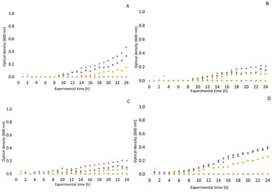
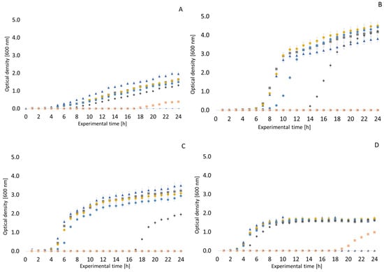
2.2. Antimicrobial Activity
2.3. Antibiofilm Activity
3. Discussion
4. Materials and Methods
4.1. Essential Oils and Sample Preparation
4.2. Bacterial Strains
4.3. Antimicrobial Testing
4.4. Growth Parameters in EOs Environment
4.5. Biofilm Formation Testing
4.6. GC-MS Analysis
4.7. GC-FID Analysis
4.8. Statistical Analysis
5. Conclusions
Author Contributions
Funding
Institutional Review Board Statement
Informed Consent Statement
Data Availability Statement
Conflicts of Interest
References
- Alvarez-Martínez, F.; Barrajón-Catalán, E.; Micol, V. Tackling Antibiotic Resistance with Compounds of Natural Origin: A Comprehensive Review. Biomedicines 2020, 8, 405. [Google Scholar] [CrossRef]
- Wright, G. Opportunities for natural products in 21st century antibiotic discovery. Nat. Prod. Rep. 2017, 34, 694–701. [Google Scholar] [CrossRef]
- Chandra, H.; Bishnoi, P.; Yadav, A.; Patni, B.; Mishra, A.; Nautiyal, A. Antimicrobial Resistance and the Alternative Resources with Special Emphasis on Plant-Based Antimicrobials—A Review. Plants 2017, 6, 16. [Google Scholar] [CrossRef] [PubMed]
- Shin, J.; Prabhakaran, V.; Kim, K. The multi-faceted potential of plant-derived metabolites as antimicrobial agents against multidrug-resistant pathogens. Microb. Pathog. 2018, 116, 209–214. [Google Scholar] [CrossRef] [PubMed]
- Sharma, S.; Mohler, J.; Mahajan, S.; Schwartz, S.; Bruggemann, L.; Aalinkeel, R. Microbial Biofilm: A Review on Formation, Infection, Antibiotic Resistance, Control Measures, and Innovative Treatment. Microorganisms 2023, 11, 1614. [Google Scholar] [CrossRef] [PubMed]
- Sadekuzzaman, M.; Yang, S.; Mizan, M.; Ha, S. Current and Recent Advanced Strategies for Combating Biofilms. Compr. Rev. Food Sci. Food Saf. 2015, 14, 491–509. [Google Scholar] [CrossRef]
- Vestby, L.; Gronseth, T.; Simm, R.; Nesse, L. Bacterial Biofilm and its Role in the Pathogenesis of Disease. Antibiotics 2020, 9, 59. [Google Scholar] [CrossRef] [PubMed]
- Abdallah, E.; Alhatlani, B.; Menezes, R.; Martins, C. Back to Nature: Medicinal Plants as Promising Sources for Antibacterial Drugs in the Post-Antibiotic Era. Plants 2023, 12, 3077. [Google Scholar] [CrossRef]
- Pancu, D.; Scurtu, A.; Macasoi, I.; Marti, D.; Mioc, M.; Soica, C.; Coricovac, D.; Horhat, D.; Poenaru, M.; Dehelean, C. Antibiotics: Conventional Therapy and Natural Compounds with Antibacterial Activity—A Pharmaco-Toxicological Screening. Antibiotics 2021, 10, 401. [Google Scholar] [CrossRef]
- Khameneh, B.; Iranshahy, M.; Soheili, V.; Bazzaz, B. Review on plant antimicrobials: A mechanistic viewpoint. Antimicrob. Resist. Infect. Control 2019, 8, 118. [Google Scholar] [CrossRef] [PubMed]
- Mutlu-Ingok, A.; Catalkaya, G.; Capanoglu, E.; Karbancioglu-Guler, F. Antioxidant and antimicrobial activities of fennel, ginger, oregano and thyme essential oils. Food Front. 2021, 2, 508–518. [Google Scholar] [CrossRef]
- Kowalczyk, A.; Przychodna, M.; Sopata, S.; Bodalska, A.; Fecka, I. Thymol and Thyme Essential Oil-New Insights into Selected Therapeutic Applications. Molecules 2020, 25, 4125. [Google Scholar] [CrossRef] [PubMed]
- Banerjee, K.; Madhyastha, H.; Sandur, V.; Manikandanath, N.; Thiagarajan, N.; Thiagarajan, P. Anti-inflammatory and wound healing potential of a clove oil emulsion. Colloids Surf. B Biointerfaces 2020, 193, 111102. [Google Scholar] [CrossRef] [PubMed]
- Collado, L.; Figueras, M.J. Taxonomy, Epidemiology, and Clinical Relevance of the Genus Arcobacter. Clin. Microbiol. Rev. 2011, 24, 174–192. [Google Scholar] [CrossRef] [PubMed]
- Kabeya, H.; Maruyama, S.; Morita, Y.; Ohsuga, T.; Ozawa, S. Prevalence of Arcobacter species in retail meats and antimicrobial susceptibility of the isolates in Japan. Int. J. Food Microbiol. 2004, 90, 303–308. [Google Scholar] [CrossRef]
- Shrestha, R.; Tanaka, Y.; Haramoto, E. A Review on the Prevalence of Arcobacter in Aquatic Environments. Water 2022, 14, 1266. [Google Scholar] [CrossRef]
- Zautner, A.E.; Riedel, T.; Bunk, B.; Spröer, C.; Boahen, K.G. Molecular characterization of Arcobacter butzleri isolates from poultry in rural Ghana. Front. Cell. Infect. Microbiol. 2023, 13, 1094067. [Google Scholar] [CrossRef] [PubMed]
- Van den Abeele, A.M.; Vogelaers, D.; Van Hende, J.; Houf, K. Prevalence of Arcobacter Species among Humans, Belgium, 2008–2013. Emerg. Infect. Dis. 2014, 20, 1731–1734. [Google Scholar] [CrossRef]
- Miller, W.G.; Parker, C.T.; Rubenfield, M.; Mendz, G.L.; Wösten, M.M.S.M. The Complete Genome Sequence and Analysis of the Epsilonproteobacterium Arcobacter butzleri. PLoS ONE 2007, 12, e1358. [Google Scholar] [CrossRef]
- Silha, D.; Moravkova, K.; Skodova, G.; Vytrasova, J. Viability and biofilm formation of Arcobacter spp. at various processing temperatures. Food Nutr. Res. 2019, 58, 208–213. [Google Scholar]
- Silha, D.; Sirotkova, S.; Svarcova, K.; Hofmeisterova, L.; Korycanova, K.; Silhova, L. Biofilm Formation Ability of Arcobacter-like and Campylobacter Strains under Different Conditions and on Food Processing Materials. Microorganisms 2021, 9, 2017. [Google Scholar] [CrossRef] [PubMed]
- Svarcova, K.; Pejchalova, M.; Silha, D. The Effect of Antibiotics on Planktonic Cells and Biofilm Formation Ability of Collected Arcobacter-like Strains and Strains Isolated within the Czech Republic. Antibiotics 2022, 11, 87. [Google Scholar] [CrossRef]
- Ferreira, S.; Luís, Â.; Oleastro, M.; Pereira, L.; Domingues, F.C. A meta-analytic perspective on Arcobacter spp. antibiotic resistance. J. Glob. Antimicrob. Resist. 2019, 16, 130–139. [Google Scholar] [CrossRef] [PubMed]
- Gabucci, C.; Baldelli, G.; Amagliani, G.; Schiavano, G.F.; Savelli, D. Widespread Multidrug Resistance of Arcobacter butzleri Isolated from Clinical and Food Sources in Central Italy. Antibiotics 2023, 12, 1292. [Google Scholar] [CrossRef] [PubMed]
- Vicente-Martins, S.; Oleastro, M.; Domingues, F.C.; Ferreira, S. Arcobacter spp. at retail food from Portugal: Prevalence, genotyping and antibiotics resistance. Food Control 2018, 85, 107–112. [Google Scholar] [CrossRef]
- Ciortino, S.; Arculeo, P.; Alio, V.; Cardamone, C.; Nicastro, L. Occurrence and Antimicrobial Resistance of Arcobacter spp. Recovered from Aquatic Environments. Antibiotics 2021, 10, 288. [Google Scholar] [CrossRef] [PubMed]
- Martinez-Malaxetxebarria, I.; Girbau, C.; Salazar-Sánchez, A.; Baztarrika, I.; Martínez-BallesTeros, I. Genetic characterization and biofilm formation of potentially pathogenic foodborne Arcobacter isolates. Int. J. Food Microbiol. 2022, 373, 109712. [Google Scholar] [CrossRef] [PubMed]
- Salazar-Sánchez, A.; Baztarrika, I.; Alonso, R.; Fernández-Astorga, A.; Martínez-Ballesteros, I. Arcobacter butzleri Biofilms: Insights into the Genes Beneath Their Formation. Microorganisms 2022, 10, 1280. [Google Scholar] [CrossRef]
- Laird, K.; Phillips, C. Vapour phase: A potential future use for essential oils as antimicrobials? Lett. Appl. Microbiol. 2012, 54, 169–174. [Google Scholar] [CrossRef]
- Acs, K.; Bencsik, T.; Böszörményi, A.; Kocsis, B.; Horváth, G. Essential Oils and Their Vapors as Potential Antibacterial Agents against Respiratory Tract Pathogens. Nat. Prod. Commun. 2016, 11, 1709–1712. [Google Scholar]
- Amat, S.; Baines, D.; Alexander, T. A vapour phase assay for evaluating the antimicrobial activities of essential oils against bovine respiratory bacterial pathogens. Lett. Appl. Microbiol. 2017, 65, 489–495. [Google Scholar] [CrossRef] [PubMed]
- Feyaerts, A.; Mathé, L.; Luyten, W.; Tournu, H.; Van Dyck, K.; Broekx, L.; Van Dijck, P. Assay and recommendations for the detection of vapour-phase-mediated antimicrobial activities. Flavour Fragr. J. 2017, 32, 347–353. [Google Scholar] [CrossRef]
- Houdkova, M.; Doskocil, I.; Urbanova, K.; Tulin, E.; Rondevaldova, J.; Tulin, A.; Kudera, T.; Tulin, E.; Zeleny, V.; Kokoska, L. Evaluation of Antipneumonic Effect of Philippine Essential Oils Using Broth Microdilution Volatilization Method and Their Lung Fibroblasts Toxicity. Nat. Prod. Commun. 2018, 13, 1059–1066. [Google Scholar] [CrossRef]
- Reyes-Jurado, F.; Cervantes-Rincón, T.; Bach, H.; López-Malo, A.; Palou, E. Antimicrobial activity of Mexican oregano (Lippia berlandieri), thyme (Thymus vulgaris), and mustard (Brassica nigra) essential oils in gaseous phase. Ind. Crops Prod. 2019, 131, 90–95. [Google Scholar] [CrossRef]
- Santomauro, F.; Donato, R.; Pini, G.; Sacco, C.; Ascrizzi, R.; Bilia, A. Liquid and Vapor-Phase Activity of Artemisia annua Essential Oil against Pathogenic Malassezia spp. Planta Med. 2018, 84, 160–167. [Google Scholar] [CrossRef] [PubMed]
- Torpol, K.; Wiriyacharee, P.; Sriwattana, S.; Sangsuwan, J.; Prinyawiwatkul, W. Antimicrobia activity of garlic (Allium sativum L.) and holy basil (Ocimum sanctum L.) essential oils applied by liquid vs. vapour phases. J. Food Sci. Technol. 2018, 53, 2119–2128. [Google Scholar] [CrossRef]
- Chroho, M.; Rouphael, Y.; Petropoulos, S.; Bouissane, L. Carvacrol and Thymol Content Affects the Antioxidant and Antibacterial Activity of Origanum compactum and Thymus zygis Essential Oils. Antibiotics 2024, 13, 139. [Google Scholar] [CrossRef] [PubMed]
- Botelho, M.A.; Nogueira, N.A.P.; Bastos, G.M.; Fonseca, S.G.C.; Lemos, T.L.G. Antimicrobial activity of the essential oil from Lippia sidoides, carvacrol and thymol against oral pathogens. Braz. J. Med. Biol. Res. 2007, 40, 349–356. [Google Scholar] [CrossRef]
- Xu, J.; Zhou, F.; Ji, B.-P.; Pei, R.-S.; Xu, N. The antibacterial mechanism of carvacrol and thymol against Escherichia coli. Lett. Appl. Microbiol. 2008, 47, 174–179. [Google Scholar] [CrossRef] [PubMed]
- Kachur, K.; Suntres, Z. The antibacterial properties of phenolic isomers, carvacrol and thymol. Crit. Rev. Food Sci. Nutr. 2020, 60, 3042–3053. [Google Scholar] [CrossRef]
- Magi, G.; Marini, E.; Facinelli, B. Antimicrobial activity of essential oils and carvacrol, and synergy of carvacrol and erythromycin, against clinical, erythromycin-resistant Group A Streptococci. Front. Microbiol. 2015, 6, 165. [Google Scholar] [CrossRef]
- Hajibonabi, A.; Yekani, M.; Sharifi, S.; Nahad, J.S.; Dizaj, S.M. Antimicrobial activity of nanoformulations of carvacrol and thymol: New trend and applications. OpenNano 2023, 13, 100170. [Google Scholar] [CrossRef]
- De Lisi, A.; Tedone, L.; Montesano, V.; Sarli, G.; Negro, D. Chemical characterisation of Thymus populations belonging from Southern Italy. Food Chem. 2011, 125, 1284–1286. [Google Scholar] [CrossRef]
- Pirbalouti, A.; Hashemi, M.; Ghahfarokhi, F. Essential oil and chemical compositions of wild and cultivated Thymus daenensis Celak and Thymus vulgaris L. Ind. Crops Prod. 2013, 48, 43–48. [Google Scholar] [CrossRef]
- Rota, M.; Herrera, A.; Martínez, R.; Sotomayor, J.; Jordán, M. Antimicrobial activity and chemical composition of Thymus vulgaris, Thymus zygis and Thymus hyemalis essential oils. Food Control 2008, 19, 681–687. [Google Scholar] [CrossRef]
- Satyal, P.; Murray, B.; McFeeters, R.; Setzer, W. Essential Oil Characterization of Thymus vulgaris from Various Geographical Locations. Foods 2016, 5, 70. [Google Scholar] [CrossRef] [PubMed]
- Chbel, A.; Elmakssoudi, A.; Rey-Méndez, M.; Barja, J.; Filali, O.; Soukri, A.; El Khalfi, B. Comparative Study of Essential Oil Composition, Anti-bacterial And Antioxidant Activities of the Aerial Parts of Thymus vulgaris Grown in Morocco and France. J. Essent. Oil Bear. Plants 2022, 25, 380–392. [Google Scholar] [CrossRef]
- Kim, M.; Sowndhararajan, K.; Kim, S. The Chemical Composition and Biological Activities of Essential Oil from Korean Native Thyme Bak-Ri-Hyang (Thymus quinquecostatus Celak.). Molecules 2022, 27, 4251. [Google Scholar] [CrossRef]
- Yesil-Celiktas, O.; Kocabas, E.; Bedir, E.; Sukan, F.; Ozek, T.; Baser, K. Antimicrobial activities of methanol extracts and essential oils of Rosmarinus officinalis, depending on location and seasonal variations. Food Chem. 2007, 100, 553–559. [Google Scholar] [CrossRef]
- Napoli, E.; Curcuruto, G.; Ruberto, G. Screening of the essential oil composition of wild Sicilian thyme. Biochem. Syst. Ecol. 2010, 38, 816–822. [Google Scholar] [CrossRef]
- Amiri, H. Essential Oils Composition and Antioxidant Properties of Three Thymus Species. Evid.-Based Complement. Altern. Med. 2012, 2012, 728065. [Google Scholar] [CrossRef] [PubMed]
- Hudaib, M.; Speroni, E.; Di Pietra, A.; Cavrini, V. GC/MS evaluation of thyme (Thymus vulgaris L.) oil composition and variations during the vegetative cycle. J. Pharm. Biomed. Anal. 2002, 29, 691–700. [Google Scholar] [CrossRef]
- Zeljkovic, S.; Smékalová, K.; Kaffková, K.; Stefelová, N. Influence of post-harvesting period on quality of thyme and spearmint essential oils. J. Appl. Res. Med. Aromat. Plants 2021, 25, 100335. [Google Scholar]
- Baranauskiené, R.; Venskutonis, P.; Viskelis, P.; Dambrauskiené, E. Influence of nitrogen fertilizers on the yield and composition of thyme (Thymus vulgaris). J. Agric. Food Chem. 2003, 51, 7751–7758. [Google Scholar] [CrossRef] [PubMed]
- Bolechowski, A.; Moral, R.; Bustamante, M.; Bartual, J.; Paredes, C.; Perez-Murcia, M.; Carbonell-Barrachina, A. Winery-distillery composts as partial substitutes of traditional growing media: Effect on the volatile composition of thyme essential oils. Sci. Hortic. 2015, 193, 69–76. [Google Scholar] [CrossRef]
- Jirovetz, L.; Buchbauer, G.; Stoilova, I.; Stoyanova, A.; Krastanov, A.; Schmidt, E. Chemical composition and antioxidant properties of clove leaf essential oil. J. Agric. Food Chem. 2006, 54, 6303–6307. [Google Scholar] [CrossRef]
- Amelia, B.; Saepudin, E.; Cahyana, A.; Rahayu, D.; Sulistyoningrum, A.; Haib, J. GC-MS Analysis of Clove (Syzygium aromaticum) Bud Essential Oil from Java and Manado. AIP Conf. Proc. 2017, 1862, 030082. [Google Scholar]
- Kiki, M. In Vitro Antiviral Potential, Antioxidant, and Chemical Composition of Clove (Syzygium aromaticum) Essential Oil. Molecules 2023, 28, 2421. [Google Scholar] [CrossRef]
- Xu, J.; Liu, T.; Hu, Q.; Cao, X. Chemical Composition, Antibacterial Properties and Mechanism of Action of Essential Oil from Clove Buds against Staphylococcus aureus. Molecules 2016, 21, 1194. [Google Scholar] [CrossRef] [PubMed]
- Devi, K.P.; Nisha, S.A.; Sakthivel, R.; Pandian, S.K. Eugenol (an essential oil of clove) acts as an antibacterial agent against Salmonella typhi by disrupting the cellular membrane. J. Ethnopharmacol. 2010, 130, 107–115. [Google Scholar] [CrossRef]
- Filgueiras, C.T.; Vanetti, M.C.D. Effect of eugenol on growth and listeriolysin o production by Listeria monocytogenes. Braz. Arch. Biol. Technol. 2006, 49, 405–409. [Google Scholar] [CrossRef]
- Walsh, S.E.; Maillard, J.-Y.; Russell, A.D.; Catrenich, C.E.; Charbonneau, D.L. Activity and mechanisms of action of selected biocidal agents on Gram-positive and -negative bacteria. J. Appl. Microbiol. 2003, 94, 240–247. [Google Scholar] [CrossRef]
- Gill, A.O.; Holley, R.A. Disruption of Escherichia coli, Listeria monocytogenes and Lactobacillus sakei cellular membranes by plant oil aromatics. Int. J. Food Microbiol. 2006, 108, 1–9. [Google Scholar] [CrossRef]
- Burt, S. Essential oils: Their antibacterial properties and potential applications in foods—A review. Int. J. Food Microbiol. 2004, 94, 223–253. [Google Scholar] [CrossRef]
- Sabzikar, A.; Hosseinihashemi, S.; Shirmohammadli, Y.; Jalaligoldeh, A. Chemical Composition and Antimicrobial Activity of Extracts from Thyme and Rosemary Against Staphylococcus aureus and Candida albicans. Bioresources 2020, 15, 9656–9671. [Google Scholar] [CrossRef]
- Vassiliou, E.; Awoleye, O.; Davis, A.; Mishra, S. Anti-Inflammatory and Antimicrobial Properties of Thyme Oil and Its Main Constituents. Int. J. Mol. Sci. 2023, 24, 6936. [Google Scholar] [CrossRef] [PubMed]
- Xiao, S.; Cui, P.; Shi, W.; Zhang, Y. Identification of essential oils with activity against stationary phase Staphylococcus aureus. BMC Complement. Med. Ther. 2020, 20, 99. [Google Scholar] [CrossRef]
- Lasek-Nesselquist, E.; Lug, J.; Schneiders, R.; Ma, Z.; Russo, V.; Mishra, S.; Pai, M.; Pata, J.; McDonough, K.; Malik, M. Insights Into the Evolution of Staphylococcus aureus Daptomycin Resistance From an in vitro Bioreactor Model. Front. Microbiol. 2019, 10, 345. [Google Scholar] [CrossRef]
- Oussalah, M.; Caillet, S.; Saucier, L.; Lacroix, M. Inhibitory effects of selected plant essential oils on the growth of four pathogenic bacteria: E-coli O157:H7, Salmonella Typhimurium, Staphylococcus aureus and Listeria monocytogenes. Food Control 2007, 18, 414–420. [Google Scholar] [CrossRef]
- Beno, F.; Velková, A.; Hruska, F.; Sevcik, R. Use of Lactoperoxidase Inhibitory Effects to Extend the Shelf Life of Meat and Meat Products. Microorganisms 2024, 12, 1010. [Google Scholar] [CrossRef] [PubMed]
- Fu, Y.; Chen, L.; Zu, Y.; Liu, Z.; Liu, X.; Yao, L.; Efferth, T. The Antibacterial Activity of Clove Essential Oil Against Propionibacterium acnes and Its Mechanism of Action. Arch. Dermatol. 2009, 145, 86–88. [Google Scholar] [CrossRef] [PubMed]
- Kaur, M.; Sharma, S.; Kalia, A.; Sandhu, N. Essential oils and their blends: Mechanism of antibacterial activity and antibiofilm potential on food-grade maize starch packaging films. Int. Microbiol. 2024, 27, 1707–1724. [Google Scholar] [CrossRef] [PubMed]
- Pandey, V.; Shams, R.; Singh, R.; Dar, A.; Pandiselvam, R.; Rusu, A.; Trif, M. A comprehensive review on clove (Caryophyllus aromaticus L.) essential oil and its significance in the formulation of edible coatings for potential food applications. Front. Nutr. 2022, 9, 987674. [Google Scholar]
- Siddiqua, S.; Anusha, B.; Ashwini, L.; Negi, P. Antibacterial activity of cinnamaldehyde and clove oil: Effect on selected foodborne pathogens in model food systems and watermelon juice. J. Food Sci. Technol. 2015, 52, 5834–5841. [Google Scholar] [CrossRef]
- Sun, H.; Luo, D.; Zheng, S.; Li, Z.; Xu, W. Antimicrobial behavior and mechanism of clove oil nanoemulsion. J. Food Sci. Technol. 2022, 59, 1939–1947. [Google Scholar] [CrossRef] [PubMed]
- Nazzaro, F.; Fratianni, F.; De Martino, L.; Coppola, R.; De Feo, V. Effect of Essential Oils on Pathogenic Bacteria. Pharmaceuticals 2013, 6, 1451–1474. [Google Scholar] [CrossRef]
- Trombetta, D.; Castelli, F.; Sarpietro, M.; Venuti, V.; Cristani, M.; Daniele, C.; Saija, A.; Mazzanti, G.; Bisignano, G. Mechanisms of antibacterial action of three monoterpenes. Antimicrob. Agents Chemother. 2005, 49, 2474–2478. [Google Scholar] [CrossRef]
- Bai, J.; Li, J.; Chen, Z.; Bai, X.; Yang, Z.; Wang, Z.; Yang, Y. Antibacterial activity and mechanism of clove essential oil against foodborne pathogens. LWT Food Sci. Technol. 2023, 173, 114249. [Google Scholar] [CrossRef]
- Alanazi, A.; Alqasmi, M.; Alrouji, M.; Kuriri, F.; Almuhanna, Y.; Joseph, B.; Asad, M. Antibacterial Activity of Syzygium aromaticum (Clove) Bud Oil and Its Interaction with Imipenem in Controlling Wound Infections in Rats Caused by Methicillin-Resistant Staphylococcus aureus. Molecules 2022, 27, 8551. [Google Scholar] [CrossRef] [PubMed]
- Gurbuz, M.; Korkmaz, B. The anti-campylobacter activity of eugenol and its potential for poultry meat safety: A review. Food Chem. 2022, 394, 133519. [Google Scholar] [CrossRef]
- Taleuzzaman, M.; Jain, P.; Verma, R.; Iqbal, Z.; Mirza, M. Eugenol as a Potential Drug Candidate: A Review. Curr. Top. Med. Chem. 2021, 21, 1804–1815. [Google Scholar] [CrossRef]
- Houdkova, M.; Rondevaldova, J.; Doskocil, I.; Kokoska, L. Evaluation of antibacterial potential and toxicity of plant volatile compounds using new broth microdilution volatilization method and modified MTT assay. Fitoterapia 2017, 118, 56–62. [Google Scholar] [CrossRef]
- Rebickova, K.; Bajer, T.; Silha, D.; Houdkova, M.; Ventura, K.; Bajerova, P. Chemical Composition and Determination of the Antibacterial Activity of Essential Oils in Liquid and Vapor Phases Extracted from Two Different Southeast Asian Herbs-Houttuynia cordata (Saururaceae) and Persicaria odorata (Polygonaceae). Molecules 2020, 25, 2432. [Google Scholar] [CrossRef]
- Sateriale, D.; Forgione, G.; De Cristofaro, G.; Pagliuca, C.; Colicchio, R.; Salvatore, P.; Paolucci, M.; Pagliarulo, C. Antibacterial and Antibiofilm Efficacy of Thyme (Thymus vulgaris L.) Essential Oil against Foodborne Illness Pathogens, Salmonella enterica subsp. enterica Serovar Typhimurium and Bacillus cereus. Antibiotics 2023, 12, 485. [Google Scholar] [CrossRef]
- Solomakos, N.; Govaris, A.; Koidis, P.; Botsoglou, N. The antimicrobial effect of thyme essential oil, nisin and their combination against Escherichia coli O157:H7 in minced beef during refrigerated storage. Meat Sci. 2008, 80, 159–166. [Google Scholar] [CrossRef] [PubMed]
- Xue, J.; Davidson, P.; Zhong, Q. Antimicrobial activity of thyme oil co-nanoemulsified with sodium caseinate and lecithin. Int. J. Food Microbiol. 2015, 210, 1–8. [Google Scholar] [CrossRef] [PubMed]
- Marchese, A.; Orhan, I.; Daglia, M.; Barbieri, R.; Di Lorenzo, A.; Nabavi, S.; Gortzi, O.; Izadi, M.; Nabavi, S. Antibacterial and antifungal activities of thymol: A brief review of the literature. Food Chem. 2016, 210, 402–414. [Google Scholar] [CrossRef]
- Bonetti, A.; Tugnoli, B.; Piva, A.; Grilli, E. Thymol as an Adjuvant to Restore Antibiotic Efficacy and Reduce Antimicrobial Resistance and Virulence Gene Expression in Enterotoxigenic Escherichia coli Strains. Antibiotics 2022, 11, 1073. [Google Scholar] [CrossRef] [PubMed]
- Fisher, K.; Rowe, C.; Phillips, C.A. The survival of three strains of Arcobacter butzleri in the presence of lemon, orange and bergamot essential oils and their components in vitro and on food. Lett. Appl. Microbiol. 2007, 44, 495–499. [Google Scholar] [CrossRef]
- Horváth, G.; Ács, K. Essential oils in the treatment of respiratory tract diseases highlighting their role in bacterial infections and their anti-inflammatory action: A review. Flavour Fragr. J. 2015, 30, 331–341. [Google Scholar] [CrossRef]
- Doran, A.L.; Morden, W.E.; Dunn, K.; Edwards-Jones, V. Vapour-phase activities of essential oils against antibiotic sensitive and resistant bacteria including MRSA. Lett. Appl. Microbiol. 2009, 48, 387–392. [Google Scholar] [CrossRef] [PubMed]
- Fancello, F.; Petretto, G.L.; Marceddu, S.; Venditti, T.; Pintore, G. Antimicrobial activity of gaseous Citrus limon var pompia leaf essential oil against Listeria monocytogenes on ricotta salata cheese. Food Microbiol. 2020, 87, 103386. [Google Scholar] [CrossRef]
- López, P.; Sánchez, C.; Batlle, R.; Nerín, C. Solid- and Vapor-Phase Antimicrobial Activities of Six Essential Oils: Susceptibility of Selected Foodborne Bacterial and Fungal Strains. J. Agric. Food Chem. 2005, 53, 6939–6946. [Google Scholar] [CrossRef]
- López, P.; Sánchez, C.; Batlle, R.; Nerín, C. Vapor-Phase Activities of Cinnamon, Thyme, and Oregano Essential Oils and Key Constituents against Foodborne Microorganisms. J. Agric. Food Chem. 2007, 55, 4348–4356. [Google Scholar] [CrossRef]
- López, P.; Sánchez, C.; Batlle, R.; Nerín, C. Development of Flexible Antimicrobial Films Using Essential Oils as Active Agents. J. Agric. Food Chem. 2007, 55, 8814–8824. [Google Scholar] [CrossRef]
- Rodríguez, A.; Batlle, R.; Nerín, C. The use of natural essential oils as antimicrobial solutions in paper packaging. Part II. Prog. Org. Coat. 2007, 60, 33–38. [Google Scholar] [CrossRef]
- Das, M.; Roy, S.; Guha, C.; Saha, A.; Singh, M. In vitro evaluation of antioxidant and antibacterial properties of supercritical CO2 extracted essential oil from clove bud (Syzygium aromaticum). J. Plant Biochem. Biotechnol. 2021, 30, 387–391. [Google Scholar] [CrossRef]
- Mousavi, F.; Gionfriddo, E.; Carasek, E.; Souza-Silva, E.; Pawliszyn, J. Coupling solid phase microextraction to complementary separation platforms for metabotyping of E. coli metabolome in response to natural antibacterial agents. Metabolomics 2016, 12, 169. [Google Scholar] [CrossRef]
- Ghazvinian, M.; Marghmalek, S.; Gholami, M.; Gholami, S.; Amiri, E.; Goli, H. Antimicrobial resistance patterns, virulence genes, and biofilm formation in enterococci strains collected from different sources. BMC Infect. Dis. 2024, 24, 274. [Google Scholar] [CrossRef]
- Nourbakhsh, F.; Nasrollahzadeh, M.; Tajani, A.; Soheili, V.; Hadizadeh, F. Bacterial biofilms and their resistance mechanisms: A brief look at treatment with natural agents. Folia Microbiol. 2022, 67, 535–554. [Google Scholar] [CrossRef]
- Pai, L.; Patil, S.; Liu, S.; Wen, F. A growing battlefield in the war against biofilm-induced antimicrobial resistance: Insights from reviews on antibiotic resistance. Front. Cell. Infect. Microbiol. 2023, 13, 1327069. [Google Scholar] [CrossRef]
- Rather, M.; Gupta, K.; Mandal, M. Microbial biofilm: Formation, architecture, antibiotic resistance, and control strategies. Braz. J. Microbiol. 2021, 52, 1701–1718. [Google Scholar] [CrossRef] [PubMed]
- Srinivasan, R.; Santhakumari, S.; Poonguzhali, P.; Geetha, M.; Dyavaiah, M.; Lin, X. Bacterial Biofilm Inhibition: A Focused Review on Recent Therapeutic Strategies for Combating the Biofilm Mediated Infections. Front. Microbiol. 2021, 12, 676458. [Google Scholar] [CrossRef] [PubMed]
- Dsouza, F.; Dinesh, S.; Sharma, S. Understanding the intricacies of microbial biofilm formation and its endurance in chronic infections: A key to advancing biofilm-targeted therapeutic strategies. Arch. Microbiol. 2024, 206, 85. [Google Scholar] [CrossRef] [PubMed]
- Li, X.; Gu, N.; Huang, T.; Zhong, F.; Peng, G. Pseudomonas aeruginosa: A typical biofilm forming pathogen and an emerging but underestimated pathogen in food processing. Front. Microbiol. 2023, 13, 1114199. [Google Scholar] [CrossRef] [PubMed]
- Vani, S.; Vadakkan, K.; Mani, B. A narrative review on bacterial biofilm: Its formation, clinical aspects and inhibition strategies. Future J. Pharm. Sci. 2023, 9, 50. [Google Scholar] [CrossRef]
- Silha, D.; Svarcova, K.; Bajer, T.; Kralovec, K.; Tesarova, E.; Mouckova, K.; Pejchalova, M.; Bajerova, P. Chemical Composition of Natural Hydrolates and Their Antimicrobial Activity on Arcobacter-like Cells in Comparison with Other Microorganisms. Molecules 2020, 25, 5654. [Google Scholar] [CrossRef] [PubMed]
- Artini, M.; Patsilinakos, A.; Papa, R.; Bozovic, M.; Sabatino, M.; Garzoli, S.; Vrenna, G.; Tilotta, M.; Pepi, F.; Ragno, R.; et al. Antimicrobial and Antibiofilm Activity and Machine Learning Classification Analysis of Essential Oils from Different Mediterranean Plants against Pseudomonas aeruginosa. Molecules 2018, 23, 482. [Google Scholar] [CrossRef] [PubMed]
- Papa, R.; Garzoli, S.; Vrenna, G.; Sabatino, M.; Sapienza, F.; Relucenti, M.; Donfrancesco, O.; Fiscarelli, E.; Artini, M.; Selan, L.; et al. Essential Oils Biofilm Modulation Activity, Chemical and Machine Learning Analysis. Application on Staphylococcus aureus Isolates from Cystic Fibrosis Patients. Int. J. Mol. Sci. 2020, 21, 9258. [Google Scholar] [CrossRef]
- Elumalai, P.; Gao, X.; Cui, J.; Kumar, A.S.; Dhandapani, P. Biofilm formation, occurrence, microbial communication, impact and characterization methods in natural and anthropic systems: A review. Environ. Chem. Lett. 2024, 22, 1297–1326. [Google Scholar] [CrossRef]
- kathariosKatharios-Lanwermeyer, S.; Koval, S.A.; Barrack, K.E.; O’toole, G.A.; Galperin, M.Y. The Diguanylate Cyclase YfiN of Pseudomonas aeruginosa Regulates Biofilm Maintenance in Response to Peroxide. J. Bacteriol. 2022, 204, 00396-21. [Google Scholar] [CrossRef] [PubMed]
- Silva, E.; Teixeira, J.A.; Pereira, M.O.; Rocha, C.M.R.; Sousa, A.M. Evolving biofilm inhibition and eradication in clinical settings through plant-based antibiofilm agents. Phytomedicine 2023, 119, 154973. [Google Scholar] [CrossRef] [PubMed]
- Wang, X.; Liu, M.; Yu, C.; Li, J.; Zhou, X. Biofilm formation: Mechanistic insights and therapeutic targets. Mol. Biomed. 2023, 4, 49. [Google Scholar] [CrossRef] [PubMed]
- Nostro, A.; Roccaro, A.; Bisignano, G.; Marino, A.; Cannatelli, M.; Pizzimenti, F.; Cioni, P.; Procopio, F.; Blanco, A. Effects of oregano, carvacrol and thymol on Staphylococcus aureus and Staphylococcus epidermidis biofilms. J. Med. Microbiol. 2007, 56, 519–523. [Google Scholar] [CrossRef] [PubMed]
- Nuryastuti, T.; Van der Mei, H.C.; Busscher, H.J.; Iravati, S.; Aman, A.T. Effect of Cinnamon Oil on icaA Expression and Biofilm Formation by Staphylococcus epidermidis. Appl. Environ. Microbiol. 2009, 75, 6850–6855. [Google Scholar] [CrossRef]
- Ben Abdallah, F.; Lagha, R.; Gaber, A. Biofilm Inhibition and Eradication Properties of Medicinal Plant Essential Oils against Methicillin-Resistant Staphylococcus aureus Clinical Isolates. Pharmaceuticals 2020, 13, 369. [Google Scholar] [CrossRef] [PubMed]
- Nuta, D.; Limban, C.; Chirita, C.; Chifiriuc, M.; Costea, T.; Ionita, P.; Nicolau, I.; Zarafu, I. Contribution of Essential Oils to the Fight against Microbial Biofilms—A Review. Processes 2021, 9, 537. [Google Scholar] [CrossRef]
- Martinez, A.; Manrique-Moreno, M.; Klaiss-Luna, M.; Stashenko, E.; Zafra, G.; Ortiz, C. Effect of Essential Oils on Growth Inhibition, Biofilm Formation and Membrane Integrity of Escherichia coli and Staphylococcus aureus. Antibiotics 2021, 10, 1474. [Google Scholar] [CrossRef] [PubMed]
- Melo, R.; Azevedo, A.; Pereira, A.; Rocha, R.; Cavalcante, R.; Matos, M.; Lopes, P.; Gomes, G.; Rodrigues, T.; dos Santos, H.; et al. Chemical Composition and Antimicrobial Effectiveness of Ocimum gratissimum L. Essential Oil Against Multidrug-Resistant Isolates of Staphylococcus aureus and Escherichia coli. Molecules 2019, 24, 3864. [Google Scholar] [CrossRef] [PubMed]
- Budzynska, A.; Wieckowska-Szakiel, M.; Sadowska, B.; Kalemba, D.; Rózalska, B. Antibiofilm Activity of Selected Plant Essential Oils and their Major Components. Pol. J. Microbiol. 2011, 60, 35–41. [Google Scholar] [CrossRef] [PubMed]
- Wijesundara, N.; Rupasinghe, H. Essential oils from Origanum vulgare and Salvia officinalis exhibit antibacterial and anti-biofilm activities against Streptococcus pyogenes. Microb. Pathog. 2018, 117, 118–127. [Google Scholar] [CrossRef]
- Chmit, M.; Kanaan, H.; Habib, J.; Abbass, M.; Mcheik, A.; Chokr, A. Antibacterial and antibiofilm activities of polysaccharides, essential oil, and fatty oil extracted from Laurus nobilis growing in Lebanon. Asian Pac. J. Trop. Med. 2014, 7, S546–S552. [Google Scholar] [CrossRef] [PubMed]
- Millezi, A.; Cardoso, M.; Alves, E.; Piccoli, R. Reduction of Aeromonas hidrophyla biofilm on stainless stell surface by essential oils. Braz. J. Microbiol. 2013, 44, 73–80. [Google Scholar] [CrossRef]
- Benzaid, C.; Belmadani, A.; Djeribi, R.; Rouabhia, M. The Effects of Mentha x piperita Essential Oil on C. albicans Growth, Transition, Biofilm Formation, and the Expression of Secreted Aspartyl Proteinases Genes. Antibiotics 2019, 8, 10. [Google Scholar]
- Van Den Dool, H.; Kratz, P.D. A generalization of the retention index system including linear temperature programmed gas—Liquid partition chromatography. J. Chromatogr. A 1963, 11, 463–471. [Google Scholar] [CrossRef] [PubMed]
negative control;
positive control;
32 µg/mL;
64 µg/mL;
128 µg/mL;
256 µg/mL;
512 µg/mL;
1024 µg/mL.
negative control;
positive control;
32 µg/mL;
64 µg/mL;
128 µg/mL;
256 µg/mL;
512 µg/mL;
1024 µg/mL.
negative control;
positive control;
32 µg/mL;
64 µg/mL;
128 µg/mL;
256 µg/mL;
512 µg/mL;
1024 µg/mL.
negative control;
positive control;
32 µg/mL;
64 µg/mL;
128 µg/mL;
256 µg/mL;
512 µg/mL;
1024 µg/mL.
negative control;
positive control;
32 µg/mL;
64 µg/mL;
128 µg/mL;
256 µg/mL;
512 µg/mL;
1024 µg/mL.
negative control;
positive control;
32 µg/mL;
64 µg/mL;
128 µg/mL;
256 µg/mL;
512 µg/mL;
1024 µg/mL.
negative control;
positive control;
32 µg/mL;
64 µg/mL;
128 µg/mL;
256 µg/mL;
512 µg/mL;
1024 µg/mL.
negative control;
positive control;
32 µg/mL;
64 µg/mL;
128 µg/mL;
256 µg/mL;
512 µg/mL;
1024 µg/mL.

Pseudomonas aeruginosa CCM 1961, Arcobacter butzleri CCUG 30484;
Staphylococcus aureus CCM 4223, Arcobacter cryaerophilus CCM 7050;
Enterococcus faecalis CCM 4224, Arcobacter skirrowii LMG 6621;
Escherichia coli CCM 2024, Arcobacter defluvii LMG 25694;
positive control.
Pseudomonas aeruginosa CCM 1961, Arcobacter butzleri CCUG 30484;
Staphylococcus aureus CCM 4223, Arcobacter cryaerophilus CCM 7050;
Enterococcus faecalis CCM 4224, Arcobacter skirrowii LMG 6621;
Escherichia coli CCM 2024, Arcobacter defluvii LMG 25694;
positive control.
Pseudomonas aeruginosa CCM 1961, Arcobacter butzleri CCUG 30484;
Staphylococcus aureus CCM 4223, Arcobacter cryaerophilus CCM 7050;
Enterococcus faecalis CCM 4224, Arcobacter skirrowii LMG 6621;
Escherichia coli CCM 2024, Arcobacter defluvii LMG 25694;
positive control.
Pseudomonas aeruginosa CCM 1961, Arcobacter butzleri CCUG 30484;
Staphylococcus aureus CCM 4223, Arcobacter cryaerophilus CCM 7050;
Enterococcus faecalis CCM 4224, Arcobacter skirrowii LMG 6621;
Escherichia coli CCM 2024, Arcobacter defluvii LMG 25694;
positive control.
| Compound | CAS Number | Retention Index | Peak Area (%) |
|---|---|---|---|
| Monoterpenes | |||
| Tricyclene | 508-32-7 | 919 | 0.01 |
| α-Thujene | 2867-05-2 | 924 | 0.01 |
| α-Pinene | 80-56-8 | 930 | 2.35 |
| α-Fenchene | 471-84-1 | 945 | 0.01 |
| Camphene | 79-92-5 | 947 | 0.67 |
| β-Pinene | 127-91-3 | 975 | 0.07 |
| β-Myrcene | 123-35-3 | 990 | 0.97 |
| Pseudolimonene | 499-97-8 | 1003 | 0.04 |
| α-Terpinene | 99-86-5 | 1017 | 0.01 |
| m-Cymene | 535-77-3 | 1020 | 0.10 |
| Carvomenthene | 5502-88-5 | 1022 | 0.02 |
| p-Cymene | 99-87-6 | 1027 | 26.59 |
| Limonene | 138-86-3 | 1029 | 0.08 |
| o-Cymene | 527-84-4 | 1035 | 0.01 |
| (E)-β-Ocimene | 3779-61-1 | 1047 | 0.06 |
| γ-Terpinene | 99-85-4 | 1059 | 7.01 |
| p-Thymol | 3228-02-2 | 1307 | 1.65 |
| 2-Methyl-6-propylphenol | 89-72-5 | 1320 | 0.04 |
| Sum (%) | 39.7 | ||
| Oxidated monoterpenes | |||
| 1,8-Cineole | 470-82-6 | 1032 | 0.71 |
| (Z)-Linalool furanoxide | 5989-33-3 | 1072 | 0.01 |
| (E)-Linalool furanoxide | 34995-77-2 | 1088 | 0.01 |
| Fenchone | 1195-79-5 | 1090 | 0.01 |
| Linalool | 78-70-6 | 1104 | 4.80 |
| Plinol A or B or C | 4028-60-8 | 1130 | 0.04 |
| Camphor | 76-22-2 | 1150 | 0.92 |
| Isoborneol | 124-76-5 | 1166 | 0.60 |
| Borneol | 507-70-0 | 1175 | 0.35 |
| 4-Terpineol | 562-74-3 | 1183 | 0.24 |
| Thymol | 89-83-8 | 1291 | 44.63 |
| Carvacrol | 499-75-2 | 1301 | 5.97 |
| Sum (%) | 58.29 | ||
| Sesquiterpenes | |||
| α-Copaene | 3856-25-5 | 1372 | 0.01 |
| (E)-β-Caryophyllene | 87-44-5 | 1416 | 0.99 |
| α-Caryophyllene | 6753-98-6 | 1453 | 0.05 |
| Sum (%) | 1.05 | ||
| Oxidated sesquiterpenes | |||
| Caryophyllene oxide | 1139-30-6 | 1580 | 0.37 |
| Humulene epoxide II | 19888-34-7 | 1609 | 0.02 |
| Sum (%) | 0.39 | ||
| Diterpenes | |||
| m-Camphorene | 20016-73-3 | 1945 | 0.01 |
| Sum (%) | 0.01 | ||
| Total Peak Area (%) | 99.44 |
| Compound | CAS Number | Retention Index | Peak Area (%) |
|---|---|---|---|
| Sesquiterpenes | |||
| α-Cubebene | 17699-14-8 | 1344 | 0.01 |
| α-Copaene | 3856-25-5 | 1373 | 0.01 |
| β-Elemene | 515-13-9 | 1387 | 0.01 |
| (Z)-β-Caryophyllene | 118-65-0 | 1400 | 0.02 |
| (E)-β-Caryophyllene | 87-44-5 | 1417 | 9.72 |
| α-Caryophyllene | 6753-98-6 | 1453 | 1.66 |
| Alloaromadendrene | 25246-27-9 | 1456 | 0.01 |
| γ-Muurolene | 30021-74-0 | 1472 | 0.01 |
| β-Selinene | 17066-67-0 | 1486 | 0.01 |
| α-Selinene | 473-13-2 | 1493 | 0.01 |
| α-Muurolene | 10208-80-7 | 1496 | 0.01 |
| (E,E)-α-Farnesene | 502-61-4 | 1504 | 0.01 |
| α-Bulnesene | 3691-11-0 | 1506 | 0.01 |
| γ-Cadinene | 39029-41-9 | 1510 | 0.03 |
| δ-Cadinene | 483-76-1 | 1516 | 0.18 |
| α-Calacorene | 21391-99-1 | 1540 | 0.02 |
| Sum (%) | 11.73 | ||
| Oxidated sesquiterpenes | |||
| Caryolan-8-ol | 178737-45-6 | 1575 | 0.01 |
| Caryophyllene oxide | 1139-30-6 | 1580 | 0.53 |
| Humulene epoxide II | 19888-34-7 | 1608 | 0.06 |
| Sum (%) | 0.60 | ||
| Phenolic derivates | |||
| Chavicol | 501-92-8 | 1261 | 0.01 |
| Eugenol | 97-53-0 | 1363 | 78.12 |
| Dihydroeugenol | 2785-87-7 | 1367 | 0.08 |
| Isovanilin | 621-59-0 | 1402 | 0.01 |
| Methyleugenol | 93-15-2 | 1405 | 0.04 |
| Eugenyl acetate | 93-28-7 | 1522 | 9.00 |
| 4-Hydroxy-2-methoxycinnamaldehyde | 127321-19-1 | 1736 | 0.01 |
| (E)-Coniferyl alcohol | 32811-40-8 | 1741 | 0.01 |
| Coniferyl alcohol diacetate | 38209-46-0 | 2093 | 0.01 |
| Sum (%) | 87.29 | ||
| Total Peak Area (%) | 99.62 |
| Thyme | Clove | AMP | ERY | CLI | |||
|---|---|---|---|---|---|---|---|
| EO | EODMSO | EO | EODMSO | ||||
| Arcobacter strains | |||||||
| Arcobacter butzleri CCUG 30484 | 47.5 ± 1.5 | 6.0 ± 0 | 29.0 ± 1.3 | 6.0 ± 0 | 14.7 ± 1.9 | 37.7 ± 1.2 | 23.7 ± 2.5 |
| Arcobacter cryaerophilus CCM 7050 | 45.3 ± 2.6 | 6.0 ± 0 | 38.0 ± 1.8 | 6.0 ± 0 | 12.7 ± 1.2 | 29.3 ± 3.9 | 21.3 ± 0.5 |
| Arcobacter skirrowii LMG 6621 | 46.3 ± 1.5 | 6.0 ± 0 | 32.7 ± 1.8 | 6.0 ± 0 | 13.0 ± 2.2 | 33.7 ± 2.4 | 24.0 ± 1.6 |
| Arcobacter defluvii LMG 25694 | 37.3 ± 2.9 | 6.0 ± 0 | 25.0 ± 1.24 | 6.0 ± 0 | 11.7 ± 0.9 | 35.7 ± 1.2 | 15.7 ± 1.2 |
| Other bacteria | |||||||
| Staphylococcus aureus CCM 4223 | 41.4 ± 3.7 | 6.0 ± 0 | 15.8 ± 1.3 | 6.0 ± 0 | 22.3 ± 1.2 | 30.3 ± 0.9 | 28.0 ± 0.8 |
| Enterococcus faecalis CCM 4224 | 36 ± 0.30 | 6.0 ± 0 | 15 ± 0.11 | 6.0 ± 0 | 11.3 ± 0.5 | 16.0 ± 0.8 | 10.7 ± 1.2 |
| Pseudomonas aeruginosa CCM 1961 | 21.0 ± 2.64 | 6.0 ± 0 | 7.7 ± 1.1 | 6.0 ± 0 | 6.0 ± 0 | 6.0 ± 0 | 6.0 ± 0 |
| Escherichia coli CCM 2024 | 37.8 ± 6.38 | 6.0 ± 0 | 17.7 ± 0.94 | 6.0 ± 0 | 6.0 ± 0 | 11.0 ± 0.8 | 6.0 ± 0 |
| Thyme | Clove | AMP | ERY | CLI | |||
|---|---|---|---|---|---|---|---|
| Vapor-PA | Liquid-PA | Vapor-PA | Liquid-PA | Liquid-PA | Liquid-PA | Liquid-PA | |
| Arcobacter strains | |||||||
| Arcobacter butzleri CCUG 30484 | >1024 | 512 | 1024 | 1024 | 16 | 0.5 | 64 |
| Arcobacter cryaerophilus CCM 7050 | >1024 | 1024 | 1024 | 512 | 4 | 2 | 64 |
| Arcobacter skirrowii LMG 6621 | >1024 | 1024 | 1024 | 512 | 16 | 0.25 | 4 |
| Arcobacter defluvii LMG 25694 | >1024 | 512 | 1024 | 512 | 4 | 1 | 4 |
| Other bacteria | |||||||
| Staphylococcus aureus CCM 4223 | 1024 | 256 | >1024 | 512 | 4 | 1 | 8 |
| Enterococcus faecalis CCM 4224 | 1024 | 256 | >1024 | 256 | 1 | 2 | 16 |
| Pseudomonas aeruginosa CCM 1961 | >1024 | 32 | >1024 | 32 | 2 | 2 | 64 |
| Escherichia coli CCM 2024 | 512 | 128 | >1024 | 256 | 16 | 2 | 16 |
Disclaimer/Publisher’s Note: The statements, opinions and data contained in all publications are solely those of the individual author(s) and contributor(s) and not of MDPI and/or the editor(s). MDPI and/or the editor(s) disclaim responsibility for any injury to people or property resulting from any ideas, methods, instructions or products referred to in the content. |
© 2024 by the authors. Licensee MDPI, Basel, Switzerland. This article is an open access article distributed under the terms and conditions of the Creative Commons Attribution (CC BY) license (https://creativecommons.org/licenses/by/4.0/).
Share and Cite
Hofmeisterová, L.; Bajer, T.; Walczak, M.; Šilha, D. Chemical Composition and Antibacterial Effect of Clove and Thyme Essential Oils on Growth Inhibition and Biofilm Formation of Arcobacter spp. and Other Bacteria. Antibiotics 2024, 13, 1232. https://doi.org/10.3390/antibiotics13121232
Hofmeisterová L, Bajer T, Walczak M, Šilha D. Chemical Composition and Antibacterial Effect of Clove and Thyme Essential Oils on Growth Inhibition and Biofilm Formation of Arcobacter spp. and Other Bacteria. Antibiotics. 2024; 13(12):1232. https://doi.org/10.3390/antibiotics13121232
Chicago/Turabian StyleHofmeisterová, Leona, Tomáš Bajer, Maciej Walczak, and David Šilha. 2024. "Chemical Composition and Antibacterial Effect of Clove and Thyme Essential Oils on Growth Inhibition and Biofilm Formation of Arcobacter spp. and Other Bacteria" Antibiotics 13, no. 12: 1232. https://doi.org/10.3390/antibiotics13121232
APA StyleHofmeisterová, L., Bajer, T., Walczak, M., & Šilha, D. (2024). Chemical Composition and Antibacterial Effect of Clove and Thyme Essential Oils on Growth Inhibition and Biofilm Formation of Arcobacter spp. and Other Bacteria. Antibiotics, 13(12), 1232. https://doi.org/10.3390/antibiotics13121232

