Comparison of Broth Microdilution, Disk Diffusion and Strip Test Methods for Cefiderocol Antimicrobial Susceptibility Testing on KPC-Producing Klebsiella pneumoniae
Abstract
1. Introduction
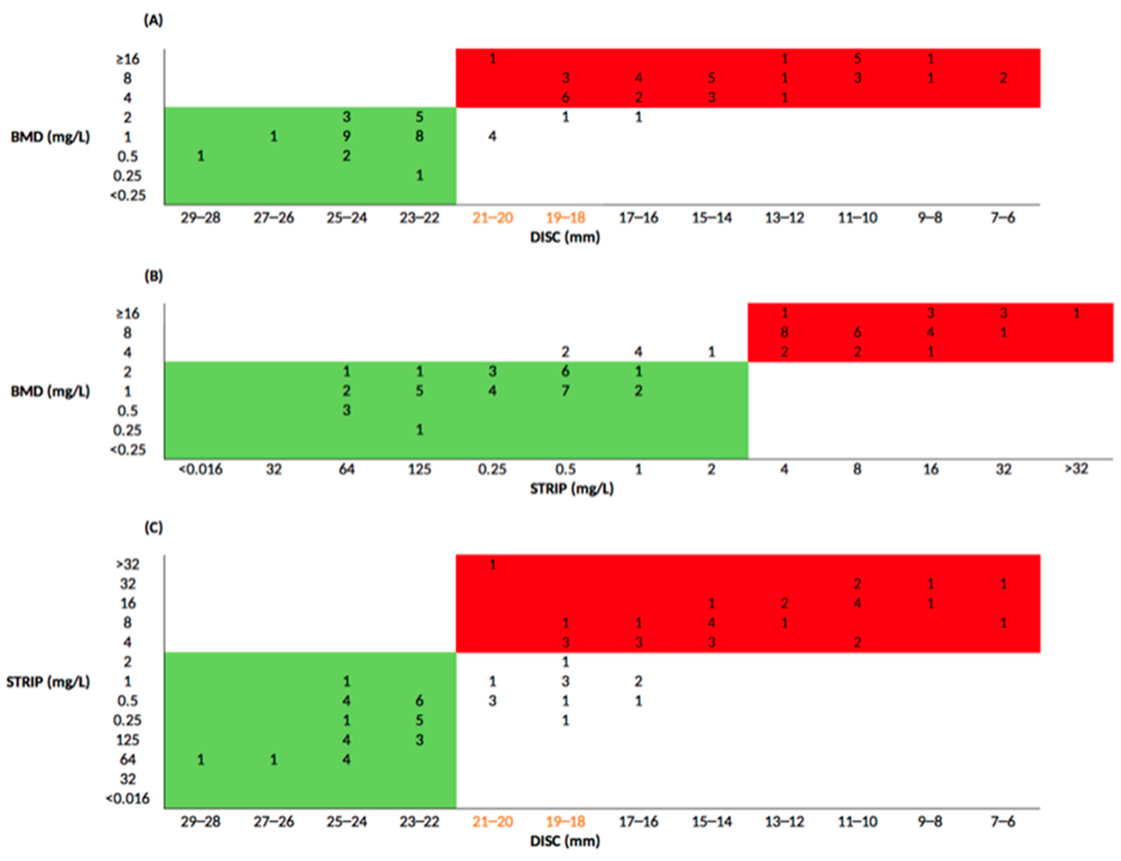
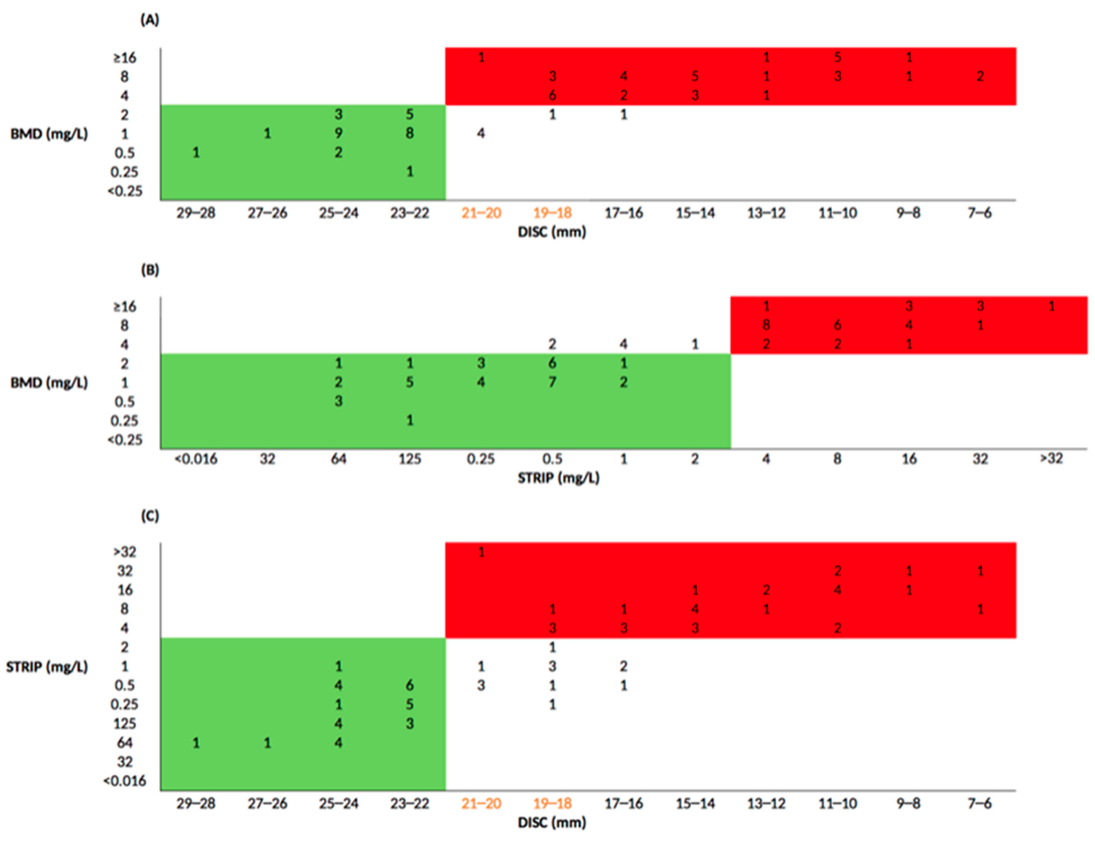
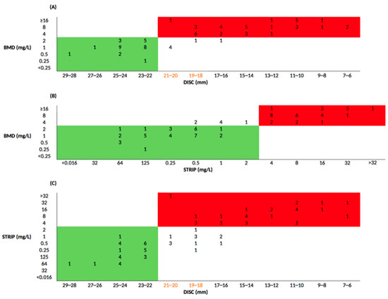
2. Results
3. Discussion
4. Materials and Methods
4.1. Phenotypic Analysis
4.2. Broth Microdilution (BMD)
4.3. Genomic Analysis
Supplementary Materials
Author Contributions
Funding
Institutional Review Board Statement
Informed Consent Statement
Data Availability Statement
Conflicts of Interest
References
- Ran Lee, Y.; Yeo, S. Cefiderocol, a New Siderophore Cephalosporin for the Treatment of Complicated Urinary Tract Infections Caused by Multidrug-Resistant Pathogens: Preclinical and Clinical Pharmacokinetics, Pharmacodynamics, Efficacy and Safety. Clin. Drug Investig. 2020, 40, 901–913. [Google Scholar] [CrossRef]
- McCreary, E.K.; Heil, E.L.; Tamma, P.D. New perspectives on antimicrobial agents: Cefiderocol. Antimicrob. Agents Chemother. 2021, 65, e02171-20. [Google Scholar] [CrossRef] [PubMed]
- Sato, T.; Yamawaki, K. Cefiderocol: Discovery, Chemistry, and In Vivo Profiles of a Novel Siderophore Cephalosporin. Clin. Infect. Dis. 2019, 69, S538–S543. [Google Scholar] [CrossRef] [PubMed]
- Munoz-Price, L.S.; Poirel, L.; Bonomo, R.A.; Schwaber, M.J.; Daikos, G.L.; Cormican, M.; Cornaglia, G.; Garau, J.; Gniadkowski, M.; Hayden, M.K.; et al. Clinical epidemiology of the global expansion of Klebsiella pneumoniae carbapenemases. Lancet Infect Dis. 2013, 13, 785–796. [Google Scholar] [CrossRef] [PubMed]
- Syed, Y.Y. Cefiderocol: A Review in Serious Gram-Negative Bacterial Infections. Drugs 2021, 81, 1559–1571. [Google Scholar] [CrossRef] [PubMed]
- Gaibani, P.; Giani, T.; Bovo, F.; Lombardo, D.; Amadesi, S.; Lazzarotto, T.; Coppi, M.; Rossolini, G.M.; Ambretti, S. Resistance to Ceftazidime/Avibactam, Meropenem/Vaborbactam and Imipenem/Relebactam in Gram-Negative MDR Bacilli: Molecular Mechanisms and Susceptibility Testing. Antibiotics 2022, 11, 628. [Google Scholar] [CrossRef] [PubMed]
- Gaibani, P.; Bovo, F.; Bussini, L.; Lazzarotto, T.; Amadesi, S.; Bartoletti, M.; Viale, P.; Ambretti, S. Dynamic evolution of imipenem/relebactam resistance in a KPC-producing Klebsiella pneumoniae from a single patient during ceftazidime/avibactam-based treatments. J. Antimicrob. Chemother. 2022, 77, 1570–1577. [Google Scholar] [CrossRef] [PubMed]
- El-Lababidi, R.M.; Rizk, J.G. Cefiderocol: A Siderophore Cephalosporin. Ann. Pharmacother. 2020, 54, 1215–1231. [Google Scholar] [CrossRef] [PubMed]
- Matuschek, E.; Longshaw, C.; Takemura, M.; Yamano, Y.; Kahlmeter, G. Cefiderocol: EUCAST criteria for disc diffusion and broth microdilution for antimicrobial susceptibility testing. J. Antimicrob. Chemother. 2022, 77, 1662–1669. [Google Scholar] [CrossRef]
- Simner, P.J.; Patel, R. Cefiderocol antimicrobial susceptibility testing considerations: The Achilles’ heel of the Trojan horse? J. Clin. Microbiol. 2021, 59, e00951-20. [Google Scholar] [CrossRef]
- Hobson, C.A.; Cointe, A.; Jacquier, H.; Choudhury, A.; Magnan, M.; Courroux, C.; Tenaillon, O.; Bonacorsi, S.; Birgy, A. Cross-resistance to cefiderocol and ceftazidime eavibactam in KPC β-lactamase mutants and the inoculum effect. Clin. Microbiol. Infect. 2021, 27, 1172.e7–1172.e10. [Google Scholar] [CrossRef] [PubMed]
- Bovo, F.; Lombardo, D.; Lazzarotto, T.; Ambretti, S.; Gaibani, P. Epidemiology and In Vitro Activity of Ceftazidime/Avibactam, Meropenem/Vaborbactam and Imipenem/Relebactam against KPC-Producing K. pneumoniae Collected from Bacteremic Patients, 2018 to 2020. Antibiotics 2022, 11, 1621. [Google Scholar] [CrossRef] [PubMed]
- Morris, C.P.; Bergman, Y.; Tekle, T.; Fissel, J.A.; Tamma, P.D.; Simner, P.J. Cefiderocol antimicrobial susceptibility testing against multidrug-resistant Gram-negative bacilli: A comparison of disk diffusion to broth microdilution. J. Clin. Microbiol. 2021, 59, e01649-20. [Google Scholar] [CrossRef] [PubMed]
- Danjean, M.; Hobson, C.A.; Gits-Muselli, M.; Courroux, C.; Monjault, A.; Bonacorsi, S.; Birgy, A. Evaluation of the inoculum effect of new antibiotics against carbapenem-resistant enterobacterales. Clin. Microbiol. Infect 2022, 28, 1503.e1–1503.e3. [Google Scholar] [CrossRef] [PubMed]
- Karakonstantis, S.; Rousaki, M.; Kritsotakis, E.I. Cefiderocol: Systematic Review of Mechanisms of Resistance, Heteroresistance and In Vivo Emergence of Resistance. Antibiotics 2022, 11, 723. [Google Scholar] [PubMed]
- The European Committee on Antimicrobial Susceptibility Testing (EUCAST). Antimicrobial Susceptibility Testing, EUCAST Disk Diffusion Method, Version 11.0. 2023. Available online: https://www.eucast.org/fileadmin/src/media/PDFs/EUCAST_files/Disk_test_documents/2023_manuals/Manual_v_11.0_EUCAST_Disk_Test_2023.pdf (accessed on 10 January 2023).
- Hackel, M.A.; Tsuji, M.; Yamano, Y.; Echols, R.; Karlowsky, J.A.; Sahm, D.F. In vitro activity of the siderophore cephalosporin, cefiderocol, against carbapenem-non- susceptible and multidrug-resistant isolates of Gram-negative bacilli collected worldwide in 2014 to 2016. Antimicrob. Agents Chemother. 2018, 62, e01968-17. [Google Scholar] [CrossRef] [PubMed]
- Gatti, M.; Bartoletti, M.; Cojutti, P.G.; Gaibani, P.; Conti, M.; Giannella, M.; Viale, P.; Pea, F. A descriptive case series of pharmacokinetic/pharmacodynamic target attainment and microbiological outcome in critically ill patients with documented severe extensively drug-resistant Acinetobacter baumannii bloodstream infection and/or ventilator-associated pneumonia treated with cefiderocol. J. Glob. Antimicrob. Resist. 2021, 27, 294–298. [Google Scholar] [CrossRef] [PubMed]
- The European Committee on Antimicrobial Susceptibility Testing (EUCAST). Guidance Document on Broth Microdilution Testing of Cefiderocol. 2020. Available online: https://www.eucast.org/fileadmin/src/media/PDFs/EUCAST_files/Guidance_documents/Cefiderocol_MIC_testing_EUCAST_guidance_document_201217.pdf (accessed on 10 January 2023).
- Gaibani, P.; Bussini, L.; Amadesi, S.; Bartoletti, M.; Bovo, F.; Lazzarotto, T.; Viale, P.; Ambretti, S. Successful Treatment of Bloodstream Infection due to a KPC-Producing Klebsiella Pneumoniae Resistant to Imipenem/Relebactam in a Hematological Patient. Microorganisms 2022, 10, 778. [Google Scholar] [CrossRef] [PubMed]


| SAMPLES | KPC | ST b | MIC (mg/L) a | |||||
|---|---|---|---|---|---|---|---|---|
| CFD c | CAZ-AVI f | MER-VAB g | IMI-REL h | |||||
| BMD d | DD e | STRIP | ||||||
| BOT-CAR | KPC-31 | 1519 | 8 | 15 | 4 | >256 | 2 | 0.25 |
| KpBO11 | KPC-3 | 512 | 4 | 13 | 8 | 8 | 256 | 1 |
| KpBO12 | KPC-3 | 512 | 4 | 15 | 4 | 8 | 256 | 0.5 |
| KpBO30 | KPC-31 | 307 | 8 | 16 | 4 | 256 | 0.125 | 0.125 |
| KpBO32 | KPC-31 | 307 | 4 | 14 | 8 | 256 | 1 | 0.5 |
| CNTD42 | KPC-3 | 512 | 8 | 15 | 4 | 8 | 0.5 | 0.5 |
| BAT15 | KPC-3 | 512 | 8 | 11 | 4 | 4 | 4 | 1 |
| BAT13 | KPC-3 | 512 | 8 | 17 | 8 | 4 | 0.25 | 0.25 |
| CAZ03 | KPC-31 | 1519 | ≥16 | 10 | 32 | >256 | 8 | 4 |
| CAZ30 | KPC-31 | 307 | ≥16 | 13 | 32 | >256 | 0.047 | 0.19 |
| CAZ42 | KPC-3 | 512 | 8 | 17 | 4 | 8 | 8 | 1 |
| CAZ51 | KPC-3 | 512 | 8 | 15 | 8 | 8 | 8 | 1 |
| BAT32 | KPC-3 | 307 | 4 | 14 | 16 | 4 | 0.25 | 0.5 |
| BAT33 | KPC-3 | 307 | 8 | 10 | 16 | ≤2 | 0.064 | 0.25 |
| CAZ147 | KPC-31 | 101 | ≥16 | 9 | 32 | 256 | 2 | 1 |
| BAT142 | KPC-3 | 512 | ≥16 | 11 | 4 | 4 | 1.5 | 1.5 |
| BO784 | KPC-66 | 512 | 16 | 10 | 32 | 32 | 16 | 4 |
| BO830 | KPC-68 | 512 | 16 | 10 | 32 | 64 | 48 | 4 |
| BO739 | KPC-3 | 512 | 8 | 12 | 16 | 8 | 32 | 4 |
| BO714 | KPC-125 | 512 | 8 | 11 | 32 | >256 | 16 | 4 |
| BO743 | KPC-121 | 512 | 8 | 9 | 16 | >256 | 24 | 8 |
| BO837 | KPC-3 | 512 | 8 | 7 | 8 | 4 | 32 | 4 |
| BO999 | KPC-31 | 512 | 8 | 7 | 32 | >256 | 32 | 4 |
| BAT146 | KPC-3 | 512 | 8 | 15 | 8 | 4 | 32 | 4 |
| BAT147 | KPC-3 | 512 | 8 | 17 | 4 | 4 | 0.5 | 0.75 |
| TO6 | KPC-49 | 512 | ≥16 | 10 | 16 | 32 | 1.5 | 0.5 |
| BAT154 | KPC-85 | 512 | 8 | 14 | 8 | 8 | 2 | 0.75 |
Disclaimer/Publisher’s Note: The statements, opinions and data contained in all publications are solely those of the individual author(s) and contributor(s) and not of MDPI and/or the editor(s). MDPI and/or the editor(s) disclaim responsibility for any injury to people or property resulting from any ideas, methods, instructions or products referred to in the content. |
© 2023 by the authors. Licensee MDPI, Basel, Switzerland. This article is an open access article distributed under the terms and conditions of the Creative Commons Attribution (CC BY) license (https://creativecommons.org/licenses/by/4.0/).
Share and Cite
Bovo, F.; Lazzarotto, T.; Ambretti, S.; Gaibani, P. Comparison of Broth Microdilution, Disk Diffusion and Strip Test Methods for Cefiderocol Antimicrobial Susceptibility Testing on KPC-Producing Klebsiella pneumoniae. Antibiotics 2023, 12, 614. https://doi.org/10.3390/antibiotics12030614
Bovo F, Lazzarotto T, Ambretti S, Gaibani P. Comparison of Broth Microdilution, Disk Diffusion and Strip Test Methods for Cefiderocol Antimicrobial Susceptibility Testing on KPC-Producing Klebsiella pneumoniae. Antibiotics. 2023; 12(3):614. https://doi.org/10.3390/antibiotics12030614
Chicago/Turabian StyleBovo, Federica, Tiziana Lazzarotto, Simone Ambretti, and Paolo Gaibani. 2023. "Comparison of Broth Microdilution, Disk Diffusion and Strip Test Methods for Cefiderocol Antimicrobial Susceptibility Testing on KPC-Producing Klebsiella pneumoniae" Antibiotics 12, no. 3: 614. https://doi.org/10.3390/antibiotics12030614
APA StyleBovo, F., Lazzarotto, T., Ambretti, S., & Gaibani, P. (2023). Comparison of Broth Microdilution, Disk Diffusion and Strip Test Methods for Cefiderocol Antimicrobial Susceptibility Testing on KPC-Producing Klebsiella pneumoniae. Antibiotics, 12(3), 614. https://doi.org/10.3390/antibiotics12030614

