Antiamoebic Activity of Imidazothiazole Derivatives against Opportunistic Pathogen Acanthamoeba castellanii
Abstract
:1. Introduction
2. Materials and Methods
2.1. Compounds
2.2. Acanthamoeba castellanii Cultures
2.3. Amoebicidal Assays
2.4. Henrietta Lacks Cervical Adenocarcinoma (HeLa) Cell Lines Cultivation
2.5. Adhesion Assays
2.6. Encystation Assays
2.7. Excystation Assays
2.8. In Vitro Cytotoxicity Assays
2.9. Amoeba-Mediated Host Cells Cytotoxicity
2.10. Statistical Analysis
3. Results
3.1. Compounds Showed Significant Amoebicidal Activity against A. castellanii
3.2. Compounds Prevented Amoebae Binding to Human Cells
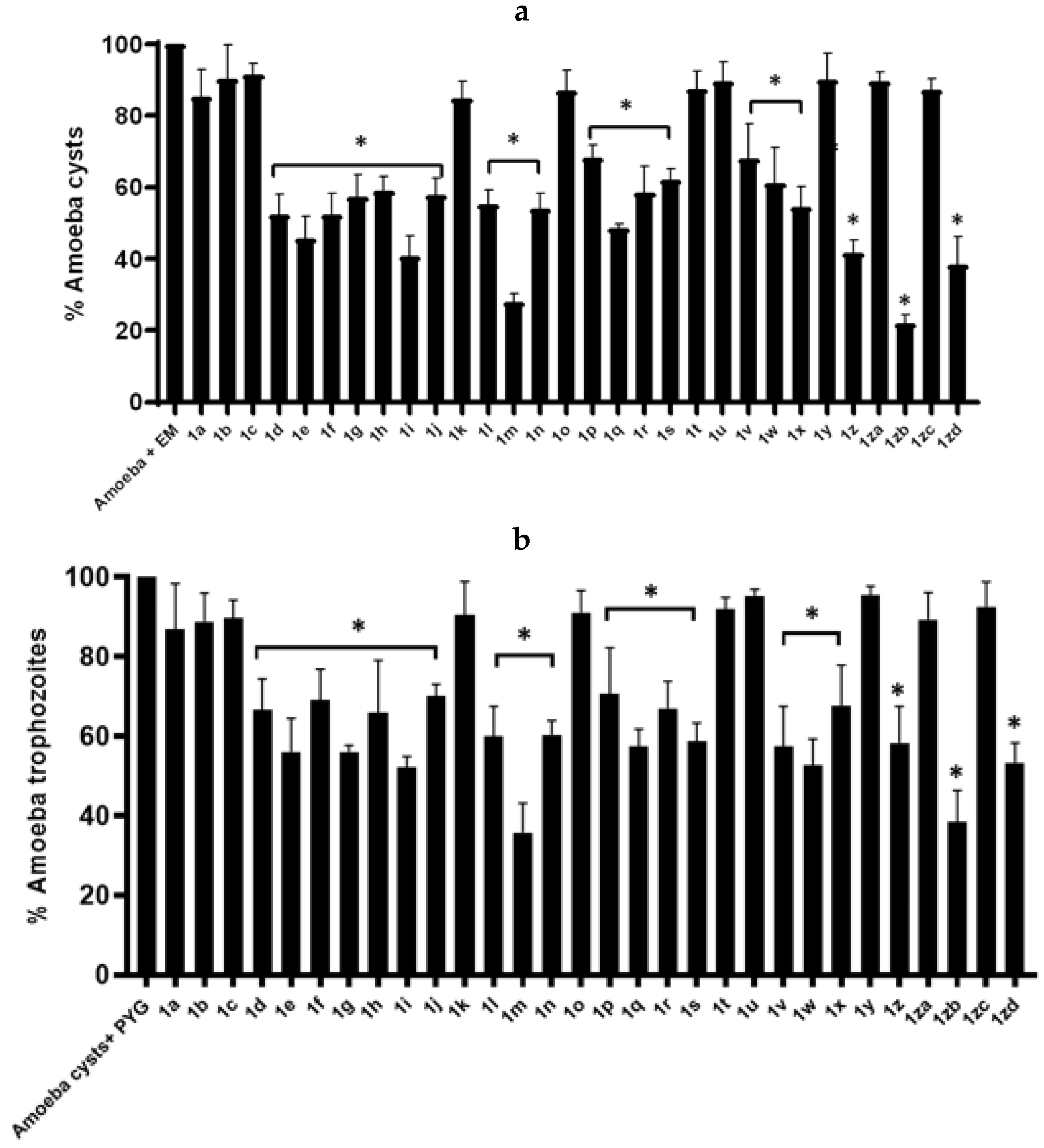
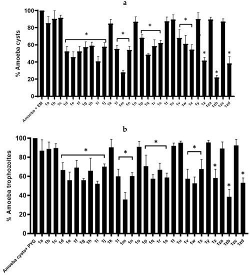
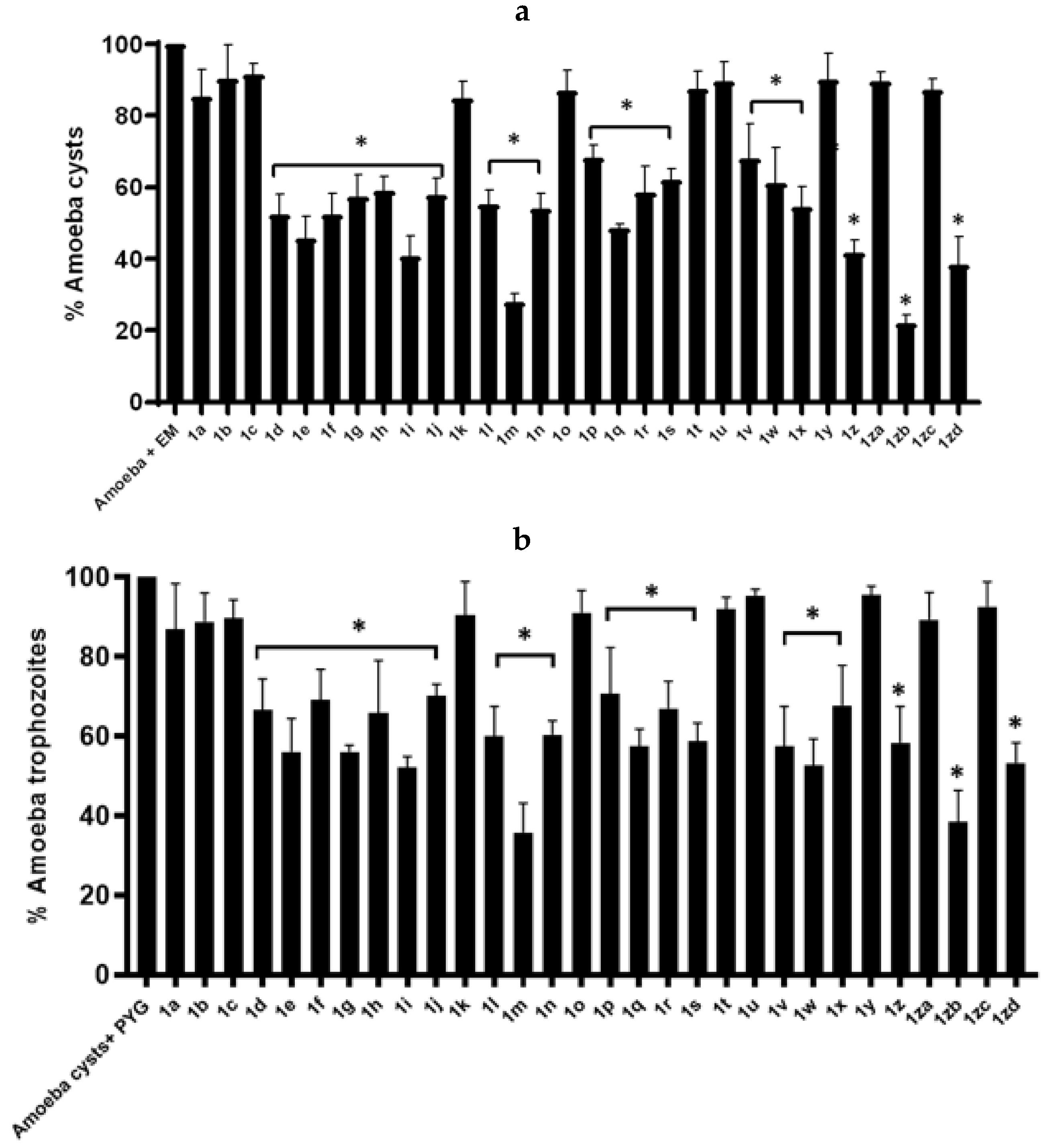
3.3. Compounds Noticeably Inhibited Amoebae Encystation and Excystation
3.4. Compounds Offered Negligible Cytotoxic Properties against Human Cell Lines and Reduced Amoebae–Mediated Host Cell Cytotoxicity
4. Discussion
- Synthetic imidazothiazole derivatives showed novel antiamoebic properties
- Imidazothiazoles exhibited effects against both trophozoites and cysts
- Imidazothiazoles also interfere with encystation and excystation of Acanthamoeba
Supplementary Materials
Author Contributions
Funding
Data Availability Statement
Conflicts of Interest
References
- Shing, B.; Balen, M.; Debnath, A. Evaluation of amebicidal and cysticidal activities of antifungal drug isavuconazonium sulfate against Acanthamoeba T4 strains. Pharmaceuticals 2021, 14, 1294. [Google Scholar] [CrossRef] [PubMed]
- Lorenzo-Morales, J.; Martín-Navarro, C.M.; López-Arencibia, A.; Arnalich-Montiel, F.; Piñero, J.E.; Valladares, B. Acanthamoeba keratitis: An emerging disease gathering importance worldwide? Trends Parasitol. 2013, 29, 181–187. [Google Scholar] [CrossRef] [PubMed]
- Lorenzo-Morales, J.; Khan, N.A.; Walochnik, J. An update on Acanthamoeba keratitis: Diagnosis, pathogenesis and treatment. Parasite 2015, 22, 10. [Google Scholar] [CrossRef]
- Siddiqui, R.; Aqeel, Y.; Khan, N.A. The development of drugs against Acanthamoeba infections. Antimicrob. Agents Chemother. 2016, 60, 6441–6450. [Google Scholar] [CrossRef] [PubMed]
- Abjani, F.; Khan, N.A.; Yousuf, F.A.; Siddiqui, R. Targeting cyst wall is an effective strategy in improving the efficacy of marketed contact lens disinfecting solutions against Acanthamoeba castellanii cysts. Cont. Lens Anterior Eye 2016, 39, 239–243. [Google Scholar] [CrossRef] [PubMed]
- Khan, N.A. Acanthamoeba: Biology and increasing importance in human health. FEMS Microbiol. Rev. 2006, 30, 564–595. [Google Scholar] [CrossRef]
- Shimmura-Tomita, M.; Takano, H.; Kinoshita, N.; Toyoda, F.; Tanaka, Y.; Takagi, R.; Kobayashi, M.; Kakehashi, A. Risk factors and clinical signs of severe Acanthamoeba keratitis. Clin. Ophthalmol. 2018, 12, 2567. [Google Scholar] [CrossRef] [PubMed]
- Lorenzo-Morales, J.; Martín-Navarro, C.M.; López-Arencibia, A.; Santana-Morales, M.A.; Afonso-Lehmann, R.N.; Maciver, S.K.; Valladares, B.; Martínez-Carretero, E. Therapeutic potential of a combination of two gene-specific small interfering RNAs against clinical strains of Acanthamoeba. Antimicrob. Agents Chemother. 2010, 54, 5151–5155. [Google Scholar] [CrossRef]
- Schuster, F.L.; Visvesvara, G.S. Free-living amoebae as opportunistic and non-opportunistic pathogens of humans and animals. Int. J. Parasitol. 2004, 34, 1001–1027. [Google Scholar] [CrossRef]
- Dart, J.K.; Saw, V.P.; Kilvington, S. Acanthamoeba keratitis: Diagnosis and treatment update. Am. J. Ophthalmol. 2009, 148, 487–499. [Google Scholar] [CrossRef]
- Mafra, C.S.P.; Carrijo-Carvalho, L.C.; Chudzinski-Tavassi, A.M.; de Carvalho Taguchi, F.M.; Foronda, A.S.; de Souza Carvalho, F.R.; de Freitas, D. Antimicrobial action of biguanides on the viability of Acanthamoeba cysts and assessment of cell toxicity. Investig. Ophthalmol. Vis. Sci. 2013, 54, 6363–6372. [Google Scholar] [CrossRef]
- Martín-Navarro, C.M.; López-Arencibia, A.; Arnalich-Montiel, F.; Valladares, B.; Piñero, J.E.; Lorenzo-Morales, J. Evaluation of the in vitro activity of commercially available moxifloxacin and voriconazole eye-drops against clinical strains of Acanthamoeba. Graefes Arch. Clin. Exp. Ophthalmol. 2013, 251, 2111–2117. [Google Scholar] [CrossRef]
- Park, J.H.; Oh, C.H. Synthesis of new 6-(4-fluorophenyl)-5-(2-substituted pyrimidin-4-yl)imidazo [2,1-b]thiazole derivatives and their antiproliferative activity against melanoma cell line. Bull. Korean Chem. Soc. 2010, 31, 2854–2860. [Google Scholar] [CrossRef]
- Park, J.H.; El-Gamal, M.I.; Lee, Y.S.; Oh, C.H. New imidazo [2,1-b]thiazole derivatives: Synthesis, in vitro anticancer evaluation, and in silico studies. Eur. J. Med. Chem. 2011, 46, 5769–5777. [Google Scholar] [CrossRef]
- Abdel-Maksoud, M.S.; El-Gamal, M.I.; Gamal El-Din, M.M.; Kwak, S.S.; Kim, H.I.; Oh, C.H. Broad-spectrum antiproliferative activity of a series of 6-(4-fluorophenyl)-5-(2-substituted pyrimidin-4-yl)imidazo [2,1-b]thiazole derivatives. Med. Chem. Res. 2016, 25, 824–833. [Google Scholar] [CrossRef]
- Anbar, H.S.; El-Gamal, M.I.; Tarazi, H.; Lee, B.S.; Jeon, H.R.; Kwon, D.; Oh, C.H. Imidazothiazole-based potent inhibitors of V600E-B-RAF kinase with promising anti-melanoma activity: Biological and computational studies. J. Enz. Inhibit. Med. Chem. 2020, 35, 1712–1726. [Google Scholar] [CrossRef]
- Abdel-Maksoud, M.S.; El-Gamal, M.I.; Lee, B.S.; Gamal El-Din, M.M.; Jeon, H.R.; Kwon, D.; Ammar, U.M.; Mersal, K.I.; Ali, E.M.H.; Lee, K.T.; et al. Discovery of new imidazo [2,1-b]thiazole derivatives as potent Pan-RAF inhibitors with promising in vitro and in vivo anti-melanoma activity. J. Med. Chem. 2021, 64, 6877–6901. [Google Scholar] [CrossRef]
- Reyes-Batlle, M.; Rodríguez-Talavera, I.; Sifaoui, I.; Rodríguez-Expósito, R.L.; Rocha-Cabrera, P.; Piñero, J.E.; Lorenzo-Morales, J. In vitro amoebicidal effects of arabinogalactan-based ophthalmic solution. Int. J. Parasitol. Drugs Drug Resist. 2021, 16, 9–16. [Google Scholar] [CrossRef]
- Rice, C.A.; Colon, B.L.; Chen, E.; Hull, M.V.; Kyle, D.E. Discovery of repurposing drug candidates for the treatment of diseases caused by pathogenic free-living amoebae. PLoS Negl. Trop. Dis. 2020, 14, e0008353. [Google Scholar] [CrossRef]
- Matin, A.; Siddiqui, R.; Jung, S.Y.; Kim, K.S.; Stins, M.; Khan, N.A. Balamuthia mandrillaris interactions with human brain microvascular endothelial cells in vitro. J. Med. Microbiol. 2007, 56, 110–1115. [Google Scholar] [CrossRef]
- Akbar, N.; Siddiqui, R.; Khamis, M.; Ibrahim, T.; Khan, N.A. Cationic surfactant-natural clay complex as a novel agent against Acanthamoeba castellanii belonging to the T4 genotype. Eye Contact Lens 2021, 47, 592–597. [Google Scholar] [CrossRef]
- Anwar, A.; Siddiqui, R.; Shah, M.R.; Khan, N.A. Gold nanoparticle-conjugated cinnamic acid exhibits antiacanthamoebic and antibacterial properties. Antimicrob. Agents Chemother. 2018, 62, e00630-18. [Google Scholar] [CrossRef]
- Akbar, N.; Khan, N.A.; Sagathevan, K.; Iqbal, M.; Tawab, A.; Siddiqui, R. Gut bacteria of Cuora amboinensis (turtle) produce broad-spectrum antibacterial molecules. Sci. Rep. 2019, 9, 17012. [Google Scholar] [CrossRef]
- Akbar, N.; Siddiqui, R.; Iqbal, M.; Sagathevan, K.; Kim, K.S.; Habib, F.; Khan, N.A. Gut bacteria of Rattus rattus (Rat) produce broad-spectrum antibacterial lipopeptides. ACS Omega 2021, 6, 12261–12273. [Google Scholar] [CrossRef]
- Saeed, B.Q.; Hussain, K.; Akbar, N.; Khan, H.; Siddiqui, R.; Shah, M.R.; Khan, N.A. Nanovesicles containing curcumin hold promise in the development of new formulations of anti-Acanthamoebic agents. Mol. Biochem. Parasitol. 2022, 247, 111430. [Google Scholar] [CrossRef]
- Jeyamogan, S.; Khan, N.A.; Sagathevan, K.; Siddiqui, R. Sera/organ lysates of selected animals living in polluted environments exhibit cytotoxicity against cancer cell lines. Anticancer Agents Med. Chem. (Former Curr. Med. Chem. Anticancer Agents) 2019, 19, 2251–2268. [Google Scholar] [CrossRef]
- Akbar, N.; Gul, J.; Siddiqui, R.; Shah, M.R.; Khan, N.A. Moxifloxacin and sulfamethoxazole-based nanocarriers exhibit potent antibacterial activities. Antibiotics 2021, 10, 964. [Google Scholar] [CrossRef]
- Garner, A. Pathology of Acanthamoeba infection. In The Cornea: Transactions of the World Congress on the Cornea III; Cavanagh, H.D., Ed.; Raven Press: New York, NY, USA, 1988; pp. 535–539. [Google Scholar]
- Panjwani, N. Pathogenesis of Acanthamoeba keratitis. Ocul. Surf. 2010, 8, 70–79. [Google Scholar] [CrossRef]
- Schuster, F.L.; Visvesvara, G.S. Opportunistic amoebae: Challenges in prophylaxis and treatment. Drug Resist. Updat. 2004, 7, 41–51. [Google Scholar] [CrossRef]
- Lee, Y.R.; Na, B.K.; Moon, E.K.; Song, S.M.; Joo, S.Y.; Kong, H.H.; Goo, Y.K.; Chung, D.I.; Hong, Y. Essential role for an M17 leucine aminopeptidase in encystation of Acanthamoeba castellanii. PLoS ONE 2015, 10, e0129884. [Google Scholar] [CrossRef]
- Fascio, M.L.; Errea, M.I.; D’accorso, N.B. Imidazothiazole and related heterocyclic systems. Synthesis, chemical and biological properties. Eur. J. Med. Chem. 2015, 90, 666–683. [Google Scholar] [CrossRef] [PubMed]





| Compounds No. | IC50 (µM) |
|---|---|
| 1i | 43.10 |
| 1l | 59.90 |
| 1m | 30.01 |
| 1n | 47.49 |
| 1q | 47.72 |
| 1r | 64.69 |
| 1v | 59.99 |
| 1w | 46.29 |
| 1x | 54.04 |
| 1z | 44.80 |
| 1zb | 32.42 |
| 1zd | 41.01 |
| Compound No. | EC50 (µM) | MNTD/EC90 (µM) |
|---|---|---|
| 1i | 1411.0 | 90.94 |
| 1m | 312.6 | 29.48 |
| 1n | 648.1 | 16.45 |
| 1q | 584.1 | 30.58 |
| 1r | 183.2 | 33.89 |
| 1v | 222.1 | 5.36 |
| 1w | 304.2 | 36.06 |
| 1x | 1274.0 | 102.10 |
| 1z | 412.1 | 80.94 |
| 1zb | 434.1 | 24.05 |
| 1zd | 830.8 | 144.70 |
Publisher’s Note: MDPI stays neutral with regard to jurisdictional claims in published maps and institutional affiliations. |
© 2022 by the authors. Licensee MDPI, Basel, Switzerland. This article is an open access article distributed under the terms and conditions of the Creative Commons Attribution (CC BY) license (https://creativecommons.org/licenses/by/4.0/).
Share and Cite
Akbar, N.; El-Gamal, M.I.; Saeed, B.Q.; Oh, C.-H.; Abdel-Maksoud, M.S.; Khan, N.A.; Alharbi, A.M.; Alfahemi, H.; Siddiqui, R. Antiamoebic Activity of Imidazothiazole Derivatives against Opportunistic Pathogen Acanthamoeba castellanii. Antibiotics 2022, 11, 1183. https://doi.org/10.3390/antibiotics11091183
Akbar N, El-Gamal MI, Saeed BQ, Oh C-H, Abdel-Maksoud MS, Khan NA, Alharbi AM, Alfahemi H, Siddiqui R. Antiamoebic Activity of Imidazothiazole Derivatives against Opportunistic Pathogen Acanthamoeba castellanii. Antibiotics. 2022; 11(9):1183. https://doi.org/10.3390/antibiotics11091183
Chicago/Turabian StyleAkbar, Noor, Mohammed I. El-Gamal, Balsam Qubais Saeed, Chang-Hyun Oh, Mohammed S. Abdel-Maksoud, Naveed Ahmed Khan, Ahmad M. Alharbi, Hasan Alfahemi, and Ruqaiyyah Siddiqui. 2022. "Antiamoebic Activity of Imidazothiazole Derivatives against Opportunistic Pathogen Acanthamoeba castellanii" Antibiotics 11, no. 9: 1183. https://doi.org/10.3390/antibiotics11091183
APA StyleAkbar, N., El-Gamal, M. I., Saeed, B. Q., Oh, C.-H., Abdel-Maksoud, M. S., Khan, N. A., Alharbi, A. M., Alfahemi, H., & Siddiqui, R. (2022). Antiamoebic Activity of Imidazothiazole Derivatives against Opportunistic Pathogen Acanthamoeba castellanii. Antibiotics, 11(9), 1183. https://doi.org/10.3390/antibiotics11091183

