The Safety of Consuming Water Dropwort Used to Purify Livestock Wastewater Considering Accumulated Antibiotics and Antibiotic Resistance Genes
Abstract
:1. Introduction
2. Materials and Methods
2.1. Experimental Design and Samples Collection
2.2. Determination Methods of Antibiotics
2.3. DNA Extraction and Real-Time Fluorescent Quantitative Polymerase Chain Reaction (RT-qPCR)
2.4. Potential Health Risk Assessment
2.5. Statistical Analysis
3. Results and discussion
3.1. Bioaccumulation of Antibiotics in Water Dropwort and Potential Health Risks to Humans
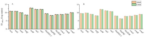
3.2. ARGs in Water Dropwort and Potential Risk to Human Health
4. Conclusions
Supplementary Materials
Author Contributions
Funding
Institutional Review Board Statement
Informed Consent Statement
Data Availability Statement
Acknowledgments
Conflicts of Interest
References
- Sun, Z.C.; Yu, Q.L.; Han, L. The environmental prospects of cultured meat in China. J. Integr. Agric. 2015, 14, 234–240. [Google Scholar] [CrossRef] [Green Version]
- Bai, Z.; Ma, W.; Ma, L.; Velthof, G.L.; Wei, Z.; Havlík, P.; Oenema, O.; Lee, M.R.; Zhang, F. China’s livestock transition: Driving forces, impacts, and consequences. Sci. Adv. 2018, 4, eaar8534. [Google Scholar] [CrossRef] [Green Version]
- Yang, T.L.; Li, F.M.; Du, M.; Wang, Y.X.; Sun, Z.N. Measuring pollutant emissions of cattle breeding and its spatial-temporal variation in China. J. Environ. Manag. 2021, 299, 113615. [Google Scholar] [CrossRef]
- Schiavon, M.; Pilon-Smits, E.A.H. Selenium biofortification and phytoremediation phytotechnologies: A review. J. Environ. Qual. 2016, 46, 10–19. [Google Scholar] [CrossRef] [Green Version]
- Hu, H.; Li, X.; Wu, S.H.; Yang, C.P. Sustainable livestock wastewater treatment via phytoremediation: Current status and future perspectives. Bioresour. Technol. 2020, 315, 123809. [Google Scholar] [CrossRef]
- Hong, P.Y.; Al-Jassim, N.; Ansari, M.I.; Mackie, R. Environmental and public health implications of water reuse: Antibiotics, antibiotic resistant bacteria, and antibiotic resistance genes. Antibiotics 2013, 2, 367–399. [Google Scholar] [CrossRef] [Green Version]
- Gaballah, M.S.; Guo, J.; Sun, H.; Aboagye, D.; Sobhi, M.; Muhmood, A.; Dong, R. A review targeting veterinary antibiotics removal from livestock manure management systems and future outlook. Bioresour. Technol. 2021, 333, 125069. [Google Scholar] [CrossRef]
- Kang, D.H.; Gupta, S.; Rosen, C.; Fritz, V.; Singh, A.; Chander, Y.; Murray, H.; Rohwer, C. Antibiotic uptake by vegetable crops from manure-applied soils. J. Agric. Food. Chem. 2013, 61, 9992–10001. [Google Scholar] [CrossRef]
- Ahmed, M.B.M.; Rajapaksha, A.U.; Lim, J.E.; Vu, N.T.; Kim, I.S.; Kang, H.M.; Lee, S.S.; Ok, Y.S. Distribution and accumulative pattern of tetracyclines and sulfonamides in edible vegetables of cucumber, tomato, and lettuce. J. Agric. Food. Chem. 2014, 63, 398–405. [Google Scholar] [CrossRef]
- Yu, X.; Liu, H.; Pu, C.; Chen, J.; Sun, Y.; Hu, L. Determination of multiple antibiotics in leafy vegetables using QuEChERS-UHPLC-MS/MS. J. Sep. Sci. 2018, 41, 713–722. [Google Scholar] [CrossRef]
- Sun, Y.; Guo, Y.; Shi, M.; Qiu, T.; Gao, M.; Tian, S.; Wang, X. Effect of antibiotic type and vegetable species on antibiotic accumulation in soil-vegetable system, soil microbiota, and resistance genes. Chemosphere 2020, 263, 128099. [Google Scholar] [CrossRef]
- Gogarten, J.P.; Townsend, J.P. Horizontal gene transfer, genome innovation and evolution. Nat. Rev. Microbiol. 2005, 3, 679–687. [Google Scholar] [CrossRef]
- Gillings, M.R.; Gaze, W.H.; Pruden, A.; Smalla, K.; Tiedje, J.M.; Zhu, Y.G. Using the class 1 integron-integrase gene as a proxy for anthropogenic pollution. ISME J. 2015, 9, 1269–1279. [Google Scholar] [CrossRef]
- Mei, Z.; Xiang, L.; Wang, F.; Xu, M.; Fu, Y.; Wang, Z.; Hashsham, S.A.; Jiang, X.; Tiedje, J.M. Bioaccumulation of manure-borne antibiotic resistance genes in carrot and its exposure assessment. Environ. Int. 2021, 157, 106830. [Google Scholar] [CrossRef]
- Marti, R.; Scott, A.; Tien, Y.C.; Murray, R.; Sabourin, L.; Zhang, Y.; Topp, E. Impact of manure fertilization on the abundance of antibiotic-resistant bacteria and frequency of detection of antibiotic resistance genes in soil and on vegetables at harvest. Appl. Environ. Microbiol. 2013, 79, 5701–5709. [Google Scholar] [CrossRef] [Green Version]
- Zhu, B.; Chen, Q.; Chen, S.; Zhu, Y.G. Does organically produced lettuce harbor higher abundance of antibiotic resistance genes than conventionally produced? Environ. Int. 2017, 98, 152–159. [Google Scholar] [CrossRef] [PubMed]
- Zhu, D.; Giles, M.; Yang, X.R.; Daniell, T.; Neilson, R.; Zhu, Y.G. Phyllosphere of staple crops under pig manure fertilization, a reservoir of antibiotic resistance genes. Environ. Pollut. 2019, 252, 227–235. [Google Scholar] [CrossRef]
- Zhou, X.; Wang, G. Nutrient concentration variations during Oenanthe javanica growth and decay in the ecological floating bed system. J. Environ. Sci. 2010, 22, 1710–1717. [Google Scholar] [CrossRef]
- Song, S.; Wang, P.; Liu, Y.; Zhao, D.; Leng, X.; An, S. Effects of Oenanthe javanica on nitrogen removal in free-water surface constructed wetlands under low-temperature conditions. Int. J. Environ. Res. Public Health 2019, 16, 1420. [Google Scholar] [CrossRef] [Green Version]
- Jiang, Q.; Wang, F.; Tan, H.W.; Li, M.Y.; Xu, Z.S.; Tan, G.F.; Xiong, A.S. De novo transcriptome assembly, gene annotation, marker development, and miRNA potential target genes validation under abiotic stresses in Oenanthe javanica. Mol. Genet. Genom. 2015, 290, 671–683. [Google Scholar] [CrossRef] [PubMed]
- Feng, K.; Xu, Z.S.; Que, F.; Liu, J.X.; Wang, F.; Xiong, A.S. An R2R3-MYB transcription factor, OjMYB1, functions in anthocyanin biosynthesis in Oenanthe javanica. Planta 2018, 247, 301–315. [Google Scholar] [CrossRef] [PubMed]
- Sun, L.H.; Zhao, H.J.; Liu, J.X.; Li, B.; Chang, Y.J.; Yao, D.R. A new green model for the bioremediation and resource utilization of livestock wastewater. Int. J. Environ. Res. Public Health 2020, 18, 8634. [Google Scholar] [CrossRef] [PubMed]
- Hu, Y.; Jiang, L.; Zhang, T.; Jin, L.; Han, Q.; Zhang, D.; Lin, K.; Cui, C. Occurrence and removal of sulfonamide antibiotics and antibiotic resistance genes in conventional and advanced drinking water treatment processes. J. Hazard. Mater. 2018, 360, 364–372. [Google Scholar] [CrossRef] [PubMed]
- Yang, J.F.; Ying, G.G.; Zhao, J.L.; Tao, R.; Su, H.C.; Chen, F. Simultaneous determination of four classes of antibiotics in sediments of the pearl rivers using RRLC–MS/MS. Sci. Total Environ. 2010, 408, 3424–3432. [Google Scholar] [CrossRef] [PubMed]
- Gros, M.; Rodríguez-Mozaz, S.; Barceló, D. Rapid analysis of multiclass antibiotic residues and some of their metabolites in hospital, urban wastewater and river water by ultra-high-performance liquid chromatography coupled to quadrupole-linear ion trap tandem mass spectrometry. J. Chromatogr. A. 2013, 1292, 173–188. [Google Scholar] [CrossRef] [PubMed] [Green Version]
- Su, J.Q.; Wei, B.; Ou-Yang, W.Y.; Huang, F.Y.; Zhao, Y.; Xu, H.J.; Zhu, Y.G. Antibiotic resistome and its association with bacterial communities during sewage sludge composting. Environ. Sci. Technol. 2015, 49, 7356–7363. [Google Scholar] [CrossRef]
- Looft, T.; Johnson, T.A.; Allen, H.K.; Bayles, D.O.; Alt, D.P.; Stedtfeld, R.D.; Sul, W.J.; Stedtfeld, T.M.; Chai, B.; Cole, J.R.; et al. In-feed antibiotic effects on the swine intestinal microbiome. Proc. Natl. Acad. Sci. USA 2012, 109, 1691–1696. [Google Scholar] [CrossRef] [PubMed] [Green Version]
- Wang, F.H.; Qiao, M.; Su, J.Q.; Chen, Z.; Zhou, X.; Zhu, Y.G. High throughput profiling of antibiotic resistance genes in urban park soils with reclaimed water irrigation. Environ. Sci. Technol. 2014, 48, 9079–9085. [Google Scholar] [CrossRef]
- SPN. Assessing exposure from pesticides in food. In A User’s Guide; Pest Management Regulatory Agency: Ottawa, ON, Canada, 2003. [Google Scholar]
- USFDA. Chapter 1-Food and Drug Administration, Department of Health and Human Services, Sub-chapter E-Animal Drugs, Feeds, and Related Products, Part 556-Tolerances for Residues of New Animal Drugs in Food-Sub-Part B-Specific Tolerance for Residues of New Animal Drugs-Section 556.286-Flunixin; United States Food and Drug Administration: Washington, DC, USA, 2022.
- WHO. Guidelines for Predicting Dietary Intake of Pesticide Residues; (WHO/FSF/FOS/97.7); WHO: Geneva, Switzerland, 1997.
- Hanna, N.; Sun, P.; Sun, Q.; Li, X.; Yang, X.; Ji, X.; Zou, H.; Ottoson, J.; Nilsson, L.E.; Berglund, B.; et al. Presence of antibiotic residues in various environmental compartments of Shandong province in eastern China: Its potential for resistance development and ecological and human risk. Environ. Int. 2018, 114, 131–142. [Google Scholar] [CrossRef]
- Zhang, W.G.; Wen, T.; Liu, L.Z.; Li, J.Y.; Gao, Y.; Zhu, D.; He, J.Z.; Zhu, Y.G. Agricultural land-use change and rotation system exert considerable influences on the soil antibiotic resistome in Lake Tai Basin. Sci. Total Environ. 2021, 771, 144848. [Google Scholar] [CrossRef]
- Xiang, X.; Zhou, L.; Ma, C.; Jiang, H.; Hou, J.; Zhou, X. Sedative and hypnotic effects of water dropwort extract. Acta Chin. Med. 2019, 34, 1244–1247. (In Chinese) [Google Scholar]
- Park, J.C.; Choi, J.W. Effects of methanol extract of Oenanthe javanica on the hepatic alcohol-metabolizing enzyme system and its bioactive component. Phytother. Res. 2015, 11, 260–262. [Google Scholar] [CrossRef]
- Duan, M.; Li, H.; Gu, J.; Tuo, X.; Sun, W.; Qian, X.; Wang, X. Effects of biochar on reducing the abundance of oxytetracycline, antibiotic resistance genes, and human pathogenic bacteria in soil and lettuce. Environ. Pollut. 2017, 224, 787–795. [Google Scholar] [CrossRef]
- Chen, Q.L.; Fan, X.T.; Zhu, D.; An, X.L.; Su, J.Q.; Cui, L. Effect of biochar amendment on the alleviation of antibiotic resistance in soil and phyllosphere of Brassica chinensis L. Soil Biol. Biochem. 2018, 119, 74–82. [Google Scholar] [CrossRef]
- Chi, F.; Shen, S.H.; Cheng, H.P.; Jing, Y.X.; Yanni, Y.G.; Dazzo, F.B. Ascending migration of endophytic rhizobia, from roots to leaves, inside rice plants and assessment of benefits to rice growth physiology. Appl. Environ. Microbiol. 2005, 71, 7271–7278. [Google Scholar] [CrossRef] [Green Version]
- Liu, H.; Carvalhais, L.C.; Crawford, M.; Singh, E.; Dennis, P.G.; Pieterse, C.M.; Schenk, P.M. Inner plant values: Diversity, colonization and benefits from endophytic bacteria. Front. Microbiol. 2017, 8, 2552. [Google Scholar] [CrossRef]
- Zhang, Y.J.; Hu, H.W.; Chen, Q.L.; Yan, H.; Wang, J.T.; Chen, D.; He, J.Z. Manure application did not enrich antibiotic resistance genes in root endophytic bacterial microbiota of cherry radish plants. Appl. Environ. Microbiol. 2020, 86, 12. [Google Scholar] [CrossRef]
- Song, M.; Peng, K.; Jiang, L.; Zhang, D.; Song, D.; Chen, G.; Xu, H.; Li, Y.; Luo, C. Alleviated antibiotic-resistant genes in the rhizosphere of agricultural soils with low antibiotic concentration. J. Agric. Food. Chem. 2020, 68, 2457–2466. [Google Scholar] [CrossRef]
- Du, S.; Shen, J.P.; Hu, H.W.; Wang, J.T.; Han, L.L.; Sheng, R.; Wei, W.X.; Fang, Y.T.; Zhu, Y.G.; Zhang, L.M.; et al. Large-scale patterns of soil antibiotic resistome in Chinese croplands. Sci. Total Environ. 2020, 712, 136418. [Google Scholar] [CrossRef]
- Ngweme, G.N.; Al Salah, D.M.M.; Laffite, A.; Sivalingam, P.; Grandjean, D.; Konde, J.N.; Mulaji, C.K.; Breider, F.; Poté, J. Occurrence of organic micropollutants and human health risk assessment based on consumption of Amaranthus viridis, Kinshasa in the Democratic Republic of the Congo. Sci. Total Environ. 2021, 754, 142175. [Google Scholar] [CrossRef]




| Number | Gene Name | Forward Primer | Reverse Primer | Classification |
|---|---|---|---|---|
| 1 | 16S rRNA | GGGTTGCGCTCGTTGC | ATGGYTGTCGTCAGCTCGTG | |
| 2 | blaOXA1 | CGGATGGTTTGAAGGGTTTATTAT | TCTTGGCTTTTATGCTTGATGTTAA | Beta-lactamase |
| 3 | blaPSE | TTGTGACCTATTCCCCTGTAATAGAA | TGCGAAGCACGCATCATC | Beta-lactamase |
| 4 | blaTEM | AGCATCTTACGGATGGCATGA | TCCTCCGATCGTTGTCAGAAGT | Beta-lactamase |
| 5 | ermA | TTGAGAAGGGATTTGCGAAAAG | ATATCCATCTCCACCATTAATAGTAAACC | MLSB |
| 6 | ermB | TAAAGGGCATTTAACGACGAAACT | TTTATACCTCTGTTTGTTAGGGAATTGAA | MLSB |
| 7 | ermF | CAGCTTTGGTTGAACATTTACGAA | AAATTCCTAAAATCACAACCGACAA | MLSB |
| 8 | sul1 | CAGCGCTATGCGCTCAAG | ATCCCGCTGCGCTGAGT | Sulfonamide |
| 9 | sul2 | TCATCTGCCAAACTCGTCGTTA | GTCAAAGAACGCCGCAATGT | Sulfonamide |
| 10 | tetA-01 | GCTGTTTGTTCTGCCGGAAA | GGTTAAGTTCCTTGAACGCAAACT | Tetracycline |
| 11 | tetG-01 | TCAACCATTGCCGATTCGA | TGGCCCGGCAATCATG | Tetracycline |
| 12 | tetO-01 | ATGTGGATACTACAACGCATGAGATT | TGCCTCCACATGATATTTTTCCT | Tetracycline |
| 13 | tetQ | CGCCTCAGAAGTAAGTTCATACACTAAG | TCGTTCATGCGGATATTATCAGAAT | Tetracycline |
| 14 | tetW | GAGAGCCTGCTATATGCCAGC | GGGCGTATCCACAATGTTAAC | Tetracycline |
Publisher’s Note: MDPI stays neutral with regard to jurisdictional claims in published maps and institutional affiliations. |
© 2022 by the authors. Licensee MDPI, Basel, Switzerland. This article is an open access article distributed under the terms and conditions of the Creative Commons Attribution (CC BY) license (https://creativecommons.org/licenses/by/4.0/).
Share and Cite
Yao, D.; Chang, Y.; Wang, W.; Sun, L.; Liu, J.; Zhao, H.; Zhang, W. The Safety of Consuming Water Dropwort Used to Purify Livestock Wastewater Considering Accumulated Antibiotics and Antibiotic Resistance Genes. Antibiotics 2022, 11, 428. https://doi.org/10.3390/antibiotics11040428
Yao D, Chang Y, Wang W, Sun L, Liu J, Zhao H, Zhang W. The Safety of Consuming Water Dropwort Used to Purify Livestock Wastewater Considering Accumulated Antibiotics and Antibiotic Resistance Genes. Antibiotics. 2022; 11(4):428. https://doi.org/10.3390/antibiotics11040428
Chicago/Turabian StyleYao, Dongrui, Yajun Chang, Wei Wang, Linhe Sun, Jixiang Liu, Huijun Zhao, and Weiguo Zhang. 2022. "The Safety of Consuming Water Dropwort Used to Purify Livestock Wastewater Considering Accumulated Antibiotics and Antibiotic Resistance Genes" Antibiotics 11, no. 4: 428. https://doi.org/10.3390/antibiotics11040428
APA StyleYao, D., Chang, Y., Wang, W., Sun, L., Liu, J., Zhao, H., & Zhang, W. (2022). The Safety of Consuming Water Dropwort Used to Purify Livestock Wastewater Considering Accumulated Antibiotics and Antibiotic Resistance Genes. Antibiotics, 11(4), 428. https://doi.org/10.3390/antibiotics11040428

