Abstract
The development of bacterial resistance to antibiotics and the consequent lack of effective therapy is one of the biggest problems in modern medicine. A consequence of these processes is an urgent need to continuously design and develop novel antimicrobial agents. Among the compounds showing antimicrobial potential, lactones are a group to explore. For centuries, their antimicrobial activities have been used in folk medicine. Currently, novel lactone compounds are continuously described in the literature. Some of those structures exhibit high antimicrobial potential and some are an inspiration for design and synthesis of future drugs. This paper describes recent developments on antimicrobial lactones with smaller ring sizes, up to seven membered ε-lactones. Their isolation from natural sources, chemical synthesis, synergistic activity with antibiotics, and effects on quorum sensing are presented herein.
1. Introduction
Lactones are a group of compounds widely distributed in nature [1,2,3,4]. Chemically, they can be classified as intramolecular esters of hydroxycarboxylic acids with different ring sizes. Due to the stability of the ring structure, the most common are γ- and δ-lactones with five- and six-membered rings [5]. However, lactones with other ring sizes can also be isolated from natural sources or obtained by chemical synthesis [6,7]. Compounds with the lactone moiety may have completely different carbon skeletons and may be assigned to different classes of compounds, such as sesquiterpene lactones [8,9], coumarins [10], or steroid skeleton lactones [11]. Thanks to this diversity, it is an extremely interesting group that exhibits several important biological properties. Among these activities, the most frequently mentioned are cytotoxic [12,13,14], anti-inflammatory [15,16], antiplasmodial [17], antiviral [18], and antibacterial. Therefore, a wide selection of articles provides an overview of those biological properties or most often presents, in detail, the anticancer properties [4,5,9,19]. However, the topic of the antimicrobial activity of this group of compounds deserves more attention. For that reason, the goal of this work was to present some recent developments in the area of lactone compounds with antimicrobial activity in context of the constant search for new therapeutic agents. The World Health Organization scored this area as one of the main global concerns [20]. It should be noted that the emergence of strains resistant to antibiotics is associated with many threats to human and animal life and health. Considering that, at present, the new compounds used in antimicrobial therapy are modifications of already known antibiotics and their mechanism of action does not differ from their precursors, microorganisms develop resistance to these substances extremely quickly [21,22]. The widespread use and overuse of antibiotics also contributes to this problem. Therefore, the search for new substances that do not belong to the already known groups of antibiotics is of particular importance. Lactones may be a target group here, due to them having such a wide potential as biologically active compounds. So far, they have been used as drugs for hypertension (spironolactone 1, eplerenone 2), malaria (artemisinin 3), vitiligo (psoralen 4 and bergaptene 5), and also as antibiotics belonging to macrolides (Figure 1) [5]. However, as macrolides are a wide topic itself [23], we did not cover it in this review; instead, we focused mainly on lactones with small ring sizes, up to seven-membered ε-lactones.
Figure 1.
Spironolactone (1), eplerenone (2), artemisinin (3), psoralen (4), bergaptene (5).
2. Isolation
2.1. Lactones Isolated from Plants
From the beginning, drug development has been correlated with the use of various medicinal plants and remedies from other natural sources [24]. Nowadays, we link the spectrum of biological activity with specific compounds isolated from these plants and microorganisms. After centuries of their application in traditional folk medicines, we are still able to discover new active substances responsible for their therapeutic properties. Among them, lactones play an important role. Some of those compounds are well-known as one of the plant’s chemical defense elements against microbial pathogens. One of the most distinguished groups are sesquiterpene lactones, known for their broad-spectrum biological potential including antimicrobial properties [25,26]. The mechanism of their action is often related with the presence of α,β-unsaturated γ-lactone moiety, although other structural features can also play an important role. The occurrence of an α-methylene group or an α,β-unsaturated lactone ring provides an opportunity for alkylation by nucleophilic Michael addition and results in irreversible bonding with other molecules, for example, enzymes [19]. Interestingly, this type of mechanism is often related with the cytotoxic potential of this group of compounds. The antimicrobial activity of sesquiterpenes can also be associated with changes in protein synthesis, altered cellular permeability, or interaction with cell wall phospholipids disturbing the membrane integrity [9]. In recent years, several new antimicrobial sesquiterpene lactones were isolated. The sources of them are often medicinal plants, marine organisms, and fungi.
Artemisia annua L. (Asteraceae) is an annual herb native to Asia and has been used for many centuries in traditional Asian medicine for the treatment and prevention of fever and chills. Kim et al. [27] proposed antimicrobial activity of artemisinin (3) against periodontopathic microorganisms—Gram-negative anaerobic bacteria such as Aggregatibacter actinomycetemcomitans, Fusobacterium species, Prevotella intermedia. Periodontal disease and severe periodontitis can result in periodontal destruction, pain, alveolar bone resorption, and tooth loss. Appalasamy et al. [28] indicated that artemisinin can be an effective drug against not only Gram-negative Salmonella sp. but also Gram-positive Staphylococcus aureus, Bacillus subtilis. In another study by Boulanger et al. [29], helenalin (6) was presented as a strong antimicrobial agent in vivo against S. aureus in mouse models with infected mammary glands.
As with artemisinin (3), many other known sesquiterpene lactones, with a wide spectrum of biological activity, are currently under investigation for their antimicrobial properties. Costunolide (7) was first isolated from costus (Saussurea lappa Clarke) root and then isolated from various other plant species. Kim et al. reported that this compound, in addition to antioxidant, anti-inflammatory, antiallergic, bone remodeling, neuroprotective, anticancer, and antidiabetic properties, has antimicrobial properties against Mycobacterium tuberculosis, Mycobacterium avium, Helicobacter pylori [13]. The activities are expressed as minimum inhibitory concentration (MIC) and are presented in Table 1. Häkkinen at. al reported costunolide activity against P. aeruginosa IBRS P001 [26]. Another known sesquiterpene lactone—lactucopicrin (8), derived from the plant Lactuca virosa (wild lettuce), as well as being found in some related plants such as Cichorium intybus, exhibits antimicrobial activity against S. aureus ATCC 11632, P. aeruginosa ATCC 27853, P. aeruginosa IBRS P001. Parthenolide (9), a sesquiterpene lactone derived from the leaves of feverfew (Tanacetum parthenium), is considered a main bioactive component of this herb. Feverfew has been used orally or as an infusion for the treatment of migraine, arthritis, fever, and stomachache. Besides its anti-inflammatory and antimigraine properties, and anticancer in a variety of cell lines, parthenolide also shows antimicrobial activities against S. aureus strains and P. aeruginosa ATCC 27853. It contains an α-methylene-γ-lactone ring and an epoxide moiety which are able to interact with the nucleophilic groups of biologically important molecules [26,30].
Table 1.
Antimicrobial activity of lactones isolated from plants.
Anvillea garcinii is a medicinal plant from the Asteraceae family, commonly known as Arabian oxeye. It is well-known for its medicinal properties and used for intestinal diseases, liver and lung disease, digestive problems, and as antidiabetic. In an ethanolic leaves extract, two new guaianolides and four sesquiterpene lactones were found. Their antimicrobial activity was evaluated against yeast Candida parapsilosis and Candida albicans but also several Gram-positive and Gram-negative strains of bacteria. The guaianolide-type lactones 10 and 11 were active antifungals and displayed remarkable antibacterial activity against S. aureus (MIC values of compound 10—0.32 and compound 11—1.4 µg/mL) and Escherichia fergusonii (MIC values of compound 10—1.7 and compound 11—3.5 µg/mL) [31].
A further example of Asteraceae is Schkuhria pinnata (Lam.) or Kuntze ex Thell, native to South America but also widespread as a weed in South Africa. Traditionally, it is used to treat bacterial infections and inflammations such as dermatitis, eczema, acne, eye infections, pneumonia, stomach problems, oedema, or even diabetes. For that reason, the search for compounds with antibacterial activity is particularly pertinent in this plant. From the plant’s extract, several sesquiterpene lactones were isolated and evaluated for their antibacterial potential. The most active was the mixture of two compounds 12 and 13 containing an α-methylene group in γ-lactone moiety. The lower MIC value 46.8 µg/mL was determined for P. aeruginosa among other tested bacteria such as E. coli (125 µg/mL), E. faecalis (125 µg/mL), or S. aureus (62.5 µg/mL). Ampicillin was used as the positive control with MIC values ranging from 20 to 80 µg/mL [32].
Moderate antibacterial activity was detected for two germacrane derivatives, centaureolides A (14) and B (15) isolated from Centaurea pungens. This herbaceous plant can be found on rocky and sandy pasturages in Algeria and Mauritania, occurring throughout the Sahara area and used in folk medicine for the treatment of respiratory infections. Isolated lactones are representatives of a group of sesquiterpenes containing l-proline residue. In order to determine the legitimacy of using C. pungens in traditional medicine, the antibacterial activity towards Gram-negative P. aeruginosa DSM 50071 and Pseudomonas fragi DSM 3456 and Gram-positive Listeria innocua DSM 20649 were tested. The minimal inhibitory concentrations were reported as 100, 400, and 400 µg/mL, respectively [33].
Vernonia blumeoides Hook f. is a perennial herb from the Asteraceae family growing across Northern Nigeria. The plant is used in Northern Nigerian ethnomedicine and is a rich source of biologically active substances. Its crude extract exhibited various treatments for diarrhea and malaria. One of the eudesmanolide sesquiterpene lactones—blumeoidolide-A (16), isolated from the aerial parts of this plant, demonstrated limited but interesting antibacterial activity against B. subtilis ATCC 6633 and two Staphylococcus strains [34] (Table 1).
Vernonanthura nudiflora (Less.) H. Rob., is a species native to South America, occurring in Argentina, Brazil, and Uruguay. The crude extract and dichloromethane fractions together with isolated hirustinolides piptocarphins A and B (17, 18) were subjected to antimicrobial evaluation. Interestingly, while the crude extract was inactive against almost all tested bacterial strains, the dichloromethane fraction was active towards Mycobacterium tuberculosis, Enterococcus faecalis, and Aeromonas hydrophila, with an MIC of 62.5, 125, and 125 µg/mL, respectively. Whereas the mixture of piptocarphins A and B (17, 18) isolated from the dichloromethane fraction showed selective and promising activity against M. tuberculosis with an MIC of 15.6 µg/mL [35].
Gastrointestinal infections worldwide are the most common cause of diarrhea and are an important cause of morbidity and mortality in developing countries. Diarrheal diseases (DD) cause millions of deaths. There is a wide range of pathogens that can cause DD, including enterotoxin-producing bacterial strains such as Escherichia coli, Salmonella typhi, Vibrio cholerae, Shigella sonnei, and Shigella flexneri. Some Decachaeta species are used in traditional medicine in Mexico and Central American countries to treat gastrointestinal disorders such as diarrhea and abdominal pain [36,37,38]. Fractionation of the dichloromethane extract of D. incompta leaves using antiprotozoal and antimicrobial tests revealed the importance of incomptin A (19) and B (20). Incomptin A shows antiprotozoal activity against Vibrio cholerae. Incomptin B is an effective antibacterial sesquiterpene lactone against Gram-negative strains of chloramphenicol-resistant bacteria, including, E. coli, S. sonnei, and S. flexneri [37].
In addition to sesquiterpenes, diterpene compounds containing lactone moiety also have potent antimicrobial activities. They can be isolated from Vitex vestitaa (Lamiaceae), which is a shrub widely distributed throughout southeast Asia. The isolation of the bioactive compounds was preceded by extensive screening of the extracts derived from tropical plants towards 15 Gram-positive and 26 Gram-negative bacteria species. Subsequent bioassay-guided purification of the dichloromethane extract of the leaves of Vitex vestita led to the isolation of six new labdane-type diterpenoids. New vitexolide A (21) exhibited the most potent antibacterial activity against B. cereus, S. hemolyticus, and several S. aureus strains with minimal inhibitory concentration values ranging from 6 to 12 μM (2–4 mg/mL). The authors also stressed that the presence of a β-hydroxyalkyl-γ-hydroxybutenolide subunit contributed significantly to antibacterial activity [39]. Another member of the Lamiaceae family is Salvia leriifolia Benth. This perennial plant occurs solely in hot, southern regions of the Khorasan and Semnan provinces of Iran and in traditional medicine, is used for the treatment of tuberculosis and eczema. From the n-hexane extract of the aerial parts of S. leriifolia, both a new and a known labdane diterpenoid containing a γ-lactone ring were isolated. The compounds were tested for activity against Gram-negative E. coli and Gram-positive S. aureus together with four methicillin resistant S. aureus (MRSA) strains. Compound 22 showed an MIC of 213 µM against methicillin resistant S. aureus [40].
2.2. Lactones Isolated from Other Sources
Apart from plants, various strains of fungi can also be a valuable source of new antibacterials. Aspergillus hiratsukae SCSIO 5Bn1003 is a strain derived from unidentified coral collected in the South China Sea. Its crude extract exhibited various antibacterial activities in the pre-active screening, including Bacillus subtilis, Bacillus thuringiensis, Staphylococcus aureus, Vibrio alginolyticus XSBZ14, multiresistant Pseudomonas aeruginosa, and Micrococcus lutea. Three new compounds were isolated from it, including two with a lactone ring and several whose structures were described previously. The isolated γ-lactones—dimethylincisterol A2 (23) and butyrolactone I (24), showed significant antibacterial activities against B. subtilis, with MIC values of 10.26 ± 0.76 µM and 5.30 ± 0.29 µM, respectively (Table 2) [42]. Another marine-derived Aspergillus strain (Aspergillus fumigatus HNMF0047) was reported to be a source of γ- and δ-lactone derivatives of the already known helvolic acid, which is classified as a fusidane-type antibacterial. From the EtOAc extract of the fermentation broth, five new and two already described lactones were isolated. The antimicrobial potential of those compounds was tested against S. aureus, E. coli, B. subtilis, and Streptococcus agalactiae. Compound 25, as well as helvolic acid, showed antibacterial activity against S. agalactiae with MIC values of 64 and 8 μg/mL, respectively (with tobramycin as the positive control, MIC 32 μg/mL) [43].
Table 2.
Antimicrobial activity of lactones isolated from other sources.
The next interesting species of fungi, which is a source of biologically active lactones, is mangrove-derived Penicillium. From Penicillium sp. TGM112 strain, three penicilactones was resourced through subsequent bioassay-guided fractionation and isolation. Those new compounds with a 6,7-dihydroxyocta-2,4-dien skeleton were tested towards six pathogenic bacteria, E. coli ATCC 25922, S. aureus ATCC 25923, S. albus ATCC 8799, Micrococcus luteus ATCC 10240, Vibrio parahaemolyticus ATCC 17802, and V. alginolyticus ATCC 17749. Only Penicilactone A (26) exhibited the relevant antibacterial properties against S. aureus with an MIC value of 6.25 µg/mL [44].
A new sesquiterpene lactone named eut-Guaiane sesquiterpene (27) was isolated from Eutypella sp. derived from the soil of the London Island of Kongsfjorden of Ny-Ålesund District of the Arctic. This compound showed strong antibacterial activities compared to the control ampicillin in the agar well diffusion assay against E. coli, B. subtilis, and S. aureus [45].
The higher fungi can also be an important source of antibacterial substances. In large-scale screening tests, the antibacterial activity of 160 extracts of 40 mushroom species, collected in Hungary, against standard bacterial strains and clinical isolates was checked [46]. Among these, the extracts of Tapinella atrotomentosa (Batsch) Šutara exhibited not only a broad-spectrum of antimicrobial activity on Gram-positive and Gram-negative pathogens but demonstrated also a significant inhibitory activity against resistant bacterial strains. The antibacterial lactones found in this chloroform extract are osmundalactone (28) and 5-hydroxy-hex-2-en-4-olide (29). These two fairly small molecules possess significant antibacterial activity against multiresistant Acinetobacter baumannii (MIC value of 10 and 6 µg/mL, respectively) and extended-spectrum β-lactamase (ESBL)-producing E. coli (MIC value of 10 µg/mL for both tested compounds) [47].
The vast majority of lactones showing antimicrobial properties are γ- and δ-lactones. However, there are also reports of ε-lactones showing antibacterial potential. Penicillilactone A (30) was isolated from the sponge-derived (Haliclona sp.) fungus Penicillium sp. LS54 as a first natural product containing a 7-membered lactone ring fused with a furan core. This interesting compound exhibited antibacterial activity (MIC value of 8 μg/mL) towards an aquatic pathogen Vibrio harveyi [48].
Abyssomicin C (31) from actinomycetes found in deep-sea sediment samples shows activity against Gram-positive bacteria, such as methicillin- and vancomycin-resistant strains of S. aureus (Table 2). Abyssomicin C acts by preventing the conversion of chorismate to p-aminobenzoic acid (pABA), a precursor in the biosynthesis of tetrahydrofolate. This pathway appears to be of significant interest for the development of new antibiotics, as it is directly related to folic acid biosynthesis, which is established in plants, fungi, prokaryotes, and apicomplexa parasites (Plasmodium, Toxoplasma) but not in vertebrates [22].
β-Lactone rings occur infrequently in nature but are constituents of several different natural product classes. Structurally similar to β-lactam rings, they are effective electrophiles able to form covalent linkages with the nucleophilic residues of target proteins and possess significant therapeutic value as hydrolase inhibitors [49]. Obafluorin (32) is the structurally unique β-lactone, produced by Pseudomonas fluorescens ATCC 39502, active against both Gram-positive and -negative pathogens. Scott et al. proposed threonyl-tRNA synthetase as its biological target [50].
3. Synergistic Antimicrobial Activity
Even though almost 100 years have passed since the discovery of penicillin by A. Fleming, β-lactam antibiotics are still the group of the most commonly used antibacterial drugs, both for home treatment and for those requiring hospitalization [51]. Unfortunately, the emergence of strains resistant to these antibiotics is often associated with the activity of β-lactamase or as with methicillin resistant S. aureus, the spreading of genes mecA encoding the penicillin-binding protein 2a (PBP2a). This enzyme is responsible for crosslinking the peptidoglycans in the bacterial cell wall. PBP2a has a low affinity for β-lactams and this directly leads to resistance to this class of antibiotics [52]. The therapies that combine β-lactam antibiotics and inhibitors of the β-lactamase activity are currently attracting great interest as an effective method for combating drug-resistant bacteria [21]. In this strategy, often antibiotics and antibiotic adjuvants are mixed to ensure their prolonged activity. The drawback of this approach is related to these inhibitors’ intrinsic antibacterial activity which may induce the development of further bacterial resistance. Interestingly, the combination of antibiotics and compounds that do not exhibit antimicrobial properties but can inhibit β-lactamase activity were also considered. There are several examples of combining β-lactam antibiotics with certain lactones to achieve a synergistic effect. One of them is the combination of penicillin G and isoalantolactone (IAL) (33) (Figure 2). The tests were performed on 21 β-lactamase-positive S. aureus strains which were obtained from porcine samples or purchased from American Type Culture Collection and included 15 methicillin resistant S. aureus. For all tested microorganisms with identified β-lactamase activity, the MIC values presented for penicillin G alone were significantly higher than those registered for the mixture of antibiotics and IAL. The authors presented their results as fractional inhibitory concentration—FIC index. Tt was calculated as (MIC value of IAL alone/MIC value of IAL in combination) + (MIC value of antibiotic alone/MIC value of antibiotic in combination). When the FIC index values are below 0.5, it is considered as a synergistic effect; between 0.5 and 1 is an additive; in range from 1 to 2, it represents no interaction; and above 2 is defined as antagonistic. For this study, all FIC indexes of penicillin G, in combination with IAL, were less than 0.5 and ranged from 0.10 to 0.38. Additionally, the effectiveness of the combined therapeutic effect was tested in vivo on a mouse model of intranasal lung infection. The results indicated that the survival rate of S. aureus-infected mice increased significantly from 35.29% to 88.24% within 144 h following multiple compound therapy approach [53].
Figure 2.
Lactones 33–40.
Another example applies to sesquiterpene lactones isolated from Centratherum punctatum Cass. from the Asteraceae family. The two already described lactones isolated from the dichloromethane leaf extract identified as centratherin (34) (Figure 2) and 5-epi-isocentratherin (35) together with ampicillin were subjected to this study. The tests were performed towards two Gram-negative drug-resistant pathogens, β-lactamase (TEM-1)-producing E. coli ATCC 25218, and beta-lactamase (SHV-18)-producing Klebsiella pneumoniae ATCC 700603. The compounds tested individually showed low or no antibacterial activity. However, when ampicillin and centratherin (34) were combined, they showed synergistic interaction against both bacterial strains. The individual MIC values for centratherin and ampicillin were 5000 and 1250 μg/mL, respectively, for E. coli, and 5000 and 2500 μg/mL for K. pneumoniae. In combination, they reduced to 625 and 78 μg/mL for E. coli, and 1250 and 78 μg/mL for K. pneumoniae. Moreover, the FIC index indicated the synergistic effect of the compounds used in the experiment with values ranging from 0.185 for E. coli to 0.28 for K. pneumoniae [54].
Coronarin D (36) (Figure 2) has also been shown to have a synergistic potential with various antibiotics. This labdane-type diterpene consists of a 4-hydroxy-γ-lactone moiety combined with a decalin ring and exhibits antifungal and cytotoxic activity against cancer cells. In the present study, the activity of coronarin D and different antibiotics were tested against three strains of Gram-negative bacteria (Pseudomonas aeruginosa, Escherichia coli, and Salmonella typhimunium), four strains of Gram-positive bacteria (S. aureus, S. epidermidis, E. faecalis, and B. cereus), and several yeast and fungi strains. The results indicated that coronarin D was weakly active against the tested fungi, inactive against the tested Gram-negative bacteria, and active towards the Gram-positive bacteria. The authors adopted an approach in which they wanted to combine the positive antibacterial effect of coronarin D and nine commercially used antibiotics on Gram-positive bacteria. The results showed those synergistic or partial synergistic effects in most of the tested combinations. The lowest FIC index value was registered for the combination of coronarin D and gentamicin against E. faecalis—0.16. A strong synergistic effect was also observed for the mixture of coronarin D–gentamicin against S. epidermidis (0.19), S. aureus, and E. faecalis (0.25). For the coronarin D and oxacillin mixture, the FIC index reached 0.19 towards S. epidermidis and 0.25 against B. cereus and S. aureus [55].
Cartagena reported the synergistic interactions between some melampolide-type lactones and oxacillin or gentamicin against pathogenic strains of S. aureus and E. faecalis. The sesquiterpene lactones were isolated from Acanthospermum hispidum DC., a shrub native to northern Argentina. The plant is used in ethnomedicine against infections, and as a diuretic, abortive, and insect repellent, and is a rich source of biologically active substances. In previous research, the authors found that the sesquiterpene lactones isolated from A. hispidum exhibited selective antibacterial activity against Gram-positive human pathogenic strains of bacteria, being harmless on Lactobacillus [56,57]. Those findings led the authors to the idea of combining the antimicrobial potential of isolated lactones and two commonly used antibiotics. The most promising interactions were observed when acanthospermal B (37) (Figure 2) was combined with gentamicin on an ex vivo culture of methicillin-resistant S. aureus. The synergistic effect was manifested in a significant MIC reduction in acanthospermal B (312.5 to 78.1 μg/mL) and gentamicin (120 μg/mL to 3 μg/mL), and the value of the FIC index reached 0.3. Compound (38) (Figure 2) improved the antibiotic potency of oxacillin towards ampicillin-resistant E. faecalis. For this pair of tested compounds, the FIC index value reached 0.1 [58].
According to the World Health Organization, tuberculosis currently remains the second leading cause of death due to a single infectious agent—Mycobacterium tuberculosis [59]. The spread of antibiotic resistance is a major challenge for the treatment of M. tuberculosis infections. In addition, drug efficacy is often restricted by the limited permeability of the cell membrane. First-line antibiotics inhibit mycomembrane biosynthesis, leading to rapid cell death. A β-lactone named EZ120 (39) (Figure 2) as a mycolic acid mimetic inhibits serine hydrolases involved in their biosynthesis and, as a result, exhibits potent antibacterial and bactericidal activity. Simultaneous administration with first-line antibiotics increases their potency against M. tuberculosis by more than 100-fold, thus demonstrating therapeutic potential [60].
The fungal metabolite 6-pentyl-α-pyrone lactone (40) (Figure 2) is produced by the Trichoderma species and shows a strong antifungal activity against selected Fusarium, Penicillium, and Aspergillus strains [61]. The antimicrobial properties of this compound are much lower; however, in combination with zinc oxide nanoparticles, (ZnONPs) they exhibited a synergistic effect against multidrug-resistant Enterobacterales recovered from urinary tract infections in humans. ZnONPs arouse great interest in the field of biomedicine, especially as anticancer and antibacterial compounds. The antimicrobial effect of ZnONPs against the investigated isolates is shown in the MIC values ranging from 0.015 to 32 µg/mL. Nevertheless, the MICs decreased 5–12-fold for 6-pentyl-α-pyrone lactone (40) and 3–11-fold for ZnONPs, after their combination [62].
4. Quorum Sensing
Quorum sensing (QS) is a specific cell-to-cell signaling used by bacteria for communication and allows it to function as a population by regulating gene expression. QS controls different aspects of pathogenicity such as susceptibility to antibiotics, biofilm formation, and cell adhesion. Such a wide range of activities regulated by QS provides an interesting target for the design of new types of substances modulating bacterial “behavior”. Both Gram-positive and Gram-negative bacteria are regulated by QS signaling. However, in the case of Gram-negative bacteria, N-acyl-homoserine lactones (AHSLs) (Figure 3) are the main players [63,64].
Figure 3.
General structure of N-acyl-homoserine lactones.
Pseudomonas aeruginosa is one of the pathogens that, under the acronym ESKAPE (Enterococcus faecium, Staphylococcus aureus, Klebsiella pneumoniae, Acinetobacter baumannii, Pseudomonas aeruginosa and Enterobacter species), is on the WHO’s list of bacteria that pose the greatest threat with an urgent need for developing new treatments [65,66]. It is an opportunistic pathogen that can cause multidrug-resistant infections. Nosocomial infections with high morbidity and mortality, mainly among immunocompromised patients and intensive care units, are a particular problem. As with many Gram-negative bacteria, also for P. aeruginosa, LuxI/R signaling systems are involved in QS [67,68] (Figure 4).
Figure 4.
The LuxI/LuxR quorum sensing system of Gram-negative bacteria.
LuxI-type enzymes produce acyl homoserine lactones (AHSL) which are small signaling molecules. LuxR-type proteins act as AHSL receptors and serve as transcriptional regulators. AHSLs consist of a homoserine ring attached with an acyl side chain which may have an oxo- or hydroxyl group at the C-3 position. In general, AHSLs differ mainly by the length and substitution of this acyl chain. For P. aeruginosa, two systems (LasI/R and RhlI/R) function within the LuxI/R signaling cascade and two AHSLs are involved as signaling molecules: N-(3-oxododecanoyl)homoserine lactone (41) and N-butyrylhomoserine lactone (42) (Figure 5) [69]. One interesting aspect of the design of QS modulators is the modification of the HSL side chain to obtain anti-QS compounds. Kalaiarasan et al. reported the synthesis of two lactones which act as biofilm formation inhibitors. The structure of N-(4-{4-fluoroanilno}butanoyl)-l-homoserine lactone (43) and N-(4-{4-chlororoanilno}butanoyl)-l-homoserine lactone (44) (Figure 5) was designed on the basis of in silico docking analysis with LasR protein. Those compounds were designed to exhibit a higher hydrogen bonding potential to the LasR receptor. Inhibition of biofilm formation was performed on extensively drug-resistant P. aeruginosa. The experiments proved that both compounds have the potential to serve as biofilm inhibitors via disabling the QS system [70].
Figure 5.
Lactones 41–51.
A different approach can be related to modulations of homoserine lactone synthases activity (LasI and RhlI). To answer the question of whether modifications of the structure of HSL derivatives may affect the activity of these enzymes, more than 90 compounds with different structural features were taken into consideration. For this extensive study, Shin et al. analyzed several groups of HSL analogs such as d- and l-homoserine lactones, d- and l-homoserine tiolactones, sulfonamides, and compounds without lactone moiety. This led to the conclusions that for both lactones and thiolactones, the d-configuration of the stereogenic center at the head group increased the inhibition potency towards the RhlI synthase. The strong inhibition activity was also noticed for longer, unsubstituted acyl-chain thiolactones. In contrast, the analogs with thiolactone head group attached to short and medium 3-oxoacyl-chains are enzyme activators [71].
Some studies also combine the traditional antibiotics with antivirulence factors to benefit from virulence suppression and effective pathogen removal. Furanone C-30 (45) (Figure 5) is a synthetic, dibrominated AHSL analog which acts as a bacterial quorum sensing inhibitor by competing with the AHSL for binding to the LasR receptor in a concentration-dependent manner. In the study, the effectiveness of combined treatment with Furanone C-30 (45) and four clinically relevant antibiotics such as ciprofloxacin, colistin, meropenem, and tobramycin was evaluated. The model microorganism used, in this case, was antibiotic-resistant P. aeruginosa. Antagonistic interactions were observed mainly for furanone–meropenem and furanone–ciprofloxacin combinations. Whereas for furanone–colistin and furanone–tobramycin, significant synergistic effect was observed [72].
Additionally, for Vibrio fischeri, AHSLs act as a QS regulator by binding to their cognate transcriptional regulators belonging to the LuxR family. The AHSL structural analogs which belong to the carbamate, thiocarbamate, and hydrazide family were synthesized and evaluated as QS modulators. Ethyl-substituted carbamate (46) (Figure 5) exhibited a weak agonistic activity on the V. fischeri QS system, whereas compounds with longer side chain or with benzyl substituents exhibited significant antagonistic activity. The compounds with the highest activity were 4-nitrobenzyl carbamate (47) and thiocarbamate (48) (Figure 5) which displayed an IC50 value of about 20 µM. Docking experiments carried out on the LuxR model indicated the additional hydrogen bond formation between the carbamate group and Tyr70. The most active compound with a p-nitro benzyl substituent (47) exhibited additional interactions with Lys178 [73].
Not only the HSL analogs may be targeted as virulence inhibitors. Sesquiterpene lactones may also modulate QS. Some eudesmanolide-type sesquiterpene lactones that were isolated from Vernonia blumeoides were tested as quorum sensing inhibitors by violacein (purple pigment) inhibition assays with Chromobacterium violaceum and Agrobacterium tumefaciens biosensor systems and in silico molecular docking. The first test showed ≥ 80% inhibition of violacein production by blumeoidolide A (49) (Figure 5) in concentrations ≥ 3.6 mg/mL and 0.071 mg/mL for blumeoidolide B (50) (Figure 5). Agar diffusion double ring assays indicated that blumeoidolides A and B modulated the CviI (LuxI synthase homologue) activity and docking experiments suggested that both lactones have a tendency to inhibit CviR and CviR’ (LuxR homologues) with varying binding affinities [74].
Coumarin (51) (Figure 5) also has potential to control the virulence behavior of a broad spectrum of bacterial pathogens. It inhibited biofilm formation in 1.36 mM concentration for P. aeruginosa PA14, E. coli MUH, V. anguillarum, E. tarda, and S. aureus NCDO949 strains. The fact that coumarin has the ability to inhibit biofilm formation in both Gram-negative and Gram-positive bacteria could support its role as a universal QS inhibitor. The effect of coumarin towards the biosensor system was evaluated. The microorganisms (Serratia marcescens, C. violaceum, and A. tumefaciens) were selected to target the short, medium and long chain AHSL-mediated processes. Coumarin exhibited a strong QS inhibition activity against all three biosensors and additionally inhibited QS system-associated pigment production on all three biosensor strains at 100 and 125 μg [75].
5. Design and Synthesis
Currently, there are two main approaches to designing biologically active compounds. One is to modify known structures with proven activity. The other is to use computer techniques to design new compounds active towards molecular targets.
Traditional chemical synthesis is one of the most frequently used methods to modify the structure of biologically active compounds. The purpose of these transformations is to obtain pharmaceuticals with greater efficiency or for which microorganisms have not yet developed resistance mechanisms. A great example is the tricyclic β-lactams in which the additional ring is specifically a lactone ring. They were designed as analogs of already known Lactivicin (52) (Figure 6), the only clinically relevant, naturally occurring, penicillin-binding protein inhibitor [76]. The designed compounds were evaluated for in vitro antibacterial activities against carbapenem-resistant Enterobacterales. The most active compound 53 (Figure 6) showed significant antibacterial potential against class C β-lactamase producers while maintaining antibacterial activities against class A, B, and D β-lactamase producers. Evaluation of antibacterial activities against clinical isolates of E. coli, Enterobacter cloacae, K. pneumoniae, Enterobacter aerogenes, or Citrobacter freundii showed that 53 exhibited lower MIC90 values than those of the already approved combinations of β-lactam and β-lactamase inhibitor and showed a potent therapeutic efficacy in the neutropenic mouse lung infection model [77]. The modification of Lactivicin with a 2-aminothiazol side chain (54) and, additionally, with catechol-type siderophore (55) (Figure 6) increased its potency 1000-fold against Stenotrophomonas maltophilia, a species notoriously resistant to antimicrobial drugs. Calvopiña et al. reported that the MIC90 values for 55 against a wide range of extensively drug-resistant clinical S. maltophilia isolates were about 0.063 µg/mL. Lactone 55 was not observed to have an inhibitory effect on the production of the L1 and L2 lactamases. Moreover, no reduced hydrolysis of lactone 55 by L1 and L2 was observed. Therefore, the authors believed that such high activity of the obtained derivative was related to substantially increased penetration via siderophore uptake [78].
Figure 6.
Lactones 52–57.
On the basis of described by Lehmann et al. [60] of the activity of β-lactones towards M. tuberculosis, new modification of the structure was also designed and some α,β-disubstituted β-lactones were tested towards different mycobacterial pathogens. Among the 16 β-lactones, 3-hexadecyloxetan-2-one (56) (Figure 6) exhibited significant activity against M. abscessus, whereas most of the β-lactones showed promising activities against M. marinum, similar to that of the isoniazid. There were 6 compounds found to be active against M. tuberculosis, with trans-(Z)-3-(hexadec-7-en-1-yl)-4-propyloxetan-2-one (57) (Figure 6) being the best growth inhibitor with an MIC50 value reaching 19.7 µg/mL [79].
Based on the previous findings on Ocotillol antibacterial activity (triterpene isolated from Fouquieria splendens Engelm.), a series of novel ocotillol-type lactone derivatives were designed and synthesized. The five-step synthesis started from 20(S)-protopanaxadiol (PPD, 58) and included the protection of hydroxyls by acetic anhydride, epoxidation followed by nucleophilic addition in situ to target the tetrahydrofuran derivative, oxidation by Jones reagent to provide acetylated lactone, and, afterwards, removing the protecting groups and subsequent reaction with acids, anhydrides or amino acid to afford the target Ocotillol derivatives (Figure 7). Among the tested derivatives, compounds 63 and 64 were found to be the most active with minimum inhibitory concentrations of 1–4 μg/mL against Gram-positive bacteria, and at the same time, they exhibited low cytotoxicity against normal and cancer cell lines. The synergistic effect was tested with kanamycin and chloramphenicol and results showed that compounds 63 and 64 enhance the susceptibility of MRSA USA300 and B. subtilis 168 (FICI < 0.5). The authors suggested that the most active lactone 64 may exert its antibacterial effect by damaging bacterial cell membranes and disrupting the function of DNA [80].
Figure 7.
The synthesis of lactones 63 and 64.
The structure and the activity of naturally occurring α-methylene-γ-lactones was the starting point for the design of an α-methylene-γ-butyrolactones series bearing aryl moieties at the β- and γ-positions. The compounds were synthesized via allylboration or allylindation reactions and subsequently tested towards MRSA. The activity of the most potent 70a, 70b, and 70c (Figure 8) were comparable to vancomycin and linezolid, the drugs of last resort for MRSA infections. The mammalian cells (Caco-2 and HaCaT) showed acceptable tolerability against the most promising compounds. Additionally, butyrolactones also exhibited rapid bactericidal killing kinetics against MRSA, outperforming the vancomycin. The lactones were also tested for inhibiting staphylococcal protease production and turned out to be more active than vancomycin [81].
Figure 8.
The synthesis of lactones 70a–c.
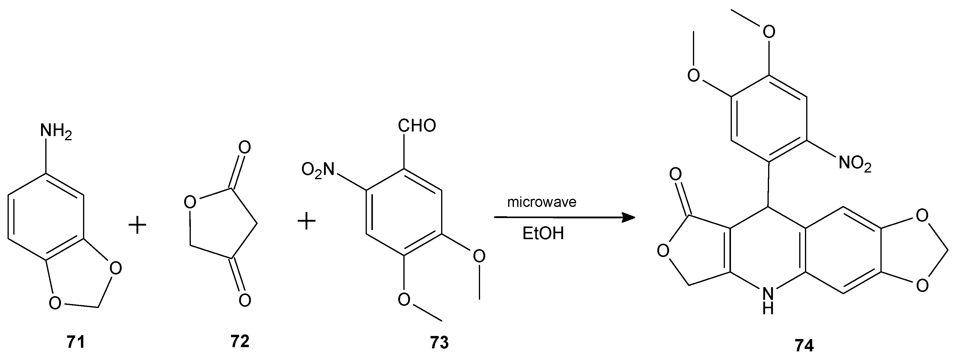
The combination of 1,4-dihydroquinoline and lactone rings results in 7-azo synthetic analogs of lignan lactones. This group of compounds is well-known for their biological potential but still the antibacterial properties are not thoroughly researched. Therefore, a series of 39 lactone 1,4-dihydroquinoline derivatives was obtained via a microwave-assisted reaction between aniline derivative 71, tetronic acid 72, and aromatic aldehydes (e.g., 73) performed in ethanol, and their antibacterial activity was evaluated against several bacterial strains including M. tuberculosis, M. avium, and Mycobacterium kansasii. Overall, compound 74 (Figure 9) was the most active against the three strains of Mycobacterium with MIC values ≥125 µg/mL. Based on structure–activity relationship studies, the authors noticed that the presence of a nitro group on the benzylic ring and a methylenedioxy group on the dihydroquinoline ring enhanced the antibacterial activity of the derivatives [82].
Figure 9.
The synthesis of lactone 74.
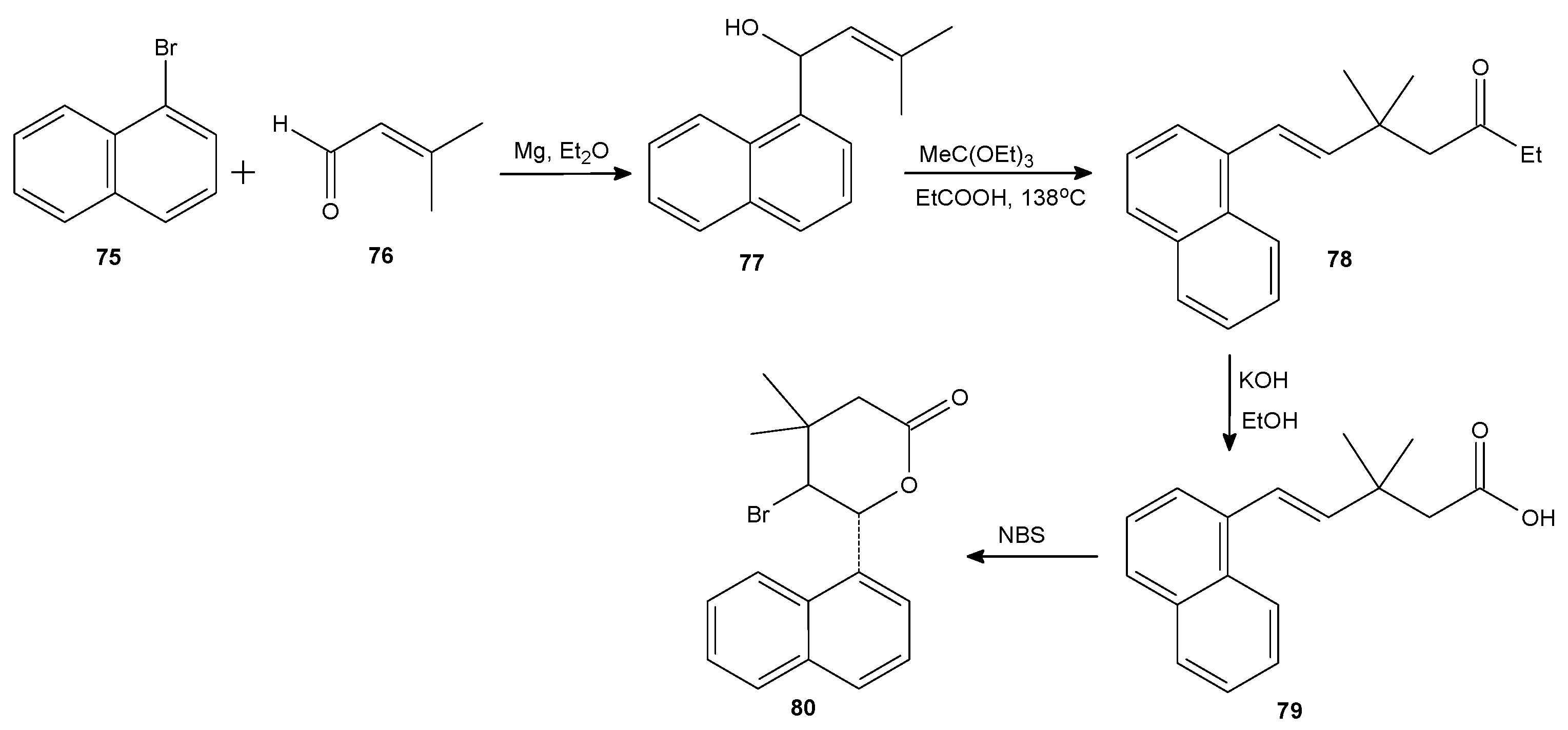
Some other aromatic lactones were obtained by Kamizela et al. in a four-step chemical synthesis (Figure 10). Starting with the Grignard reaction between 3-methyl crotonaldehyde and three aromatic magnesium bromides (α-naphthylene, phenyl, and p-fluorophenyl), the three corresponding unsaturated secondary alcohols were obtained and reacted via the Johnson–Claisen rearrangement to unsaturated esters. After the following hydrolysis, the acids were subjected to three halolactonization reactions resulting in iodo-, bromo-, and chloro-δ-lactones. Their antibacterial activity was evaluated against E. coli ATCC 8739 and S. aureus ATCC 65389. The most active lactone 80 in concentration 50 µg/mL decreased the average number of colony-forming units (CFUs), by about 50% for both microorganisms, compared to the number of CFUs in the control [83]. A similar synthetic pathway was applied by Kowalczyk et al. to achieve a series of aromatic δ-lactones. The starting Grignard reaction was performed this time with crotonaldehyde. An in-depth study was also carried out on the antibacterial activity of those compounds against E. coli strains diversified in terms of occurrence and length of lipopolysaccharides (LPS) in its structure. The most sensitive was the E. coli strain with the longest LPS. Moreover, oxidative damage of bacterial DNA was also analyzed and the damage values were comparable to those obtained for ciprofloxacin, bleomycin, and cloxacillin [84].
Figure 10.
The synthesis of lactone 80.
Gładkowski et al. presented the synthesis of γ-oxa-ε-lactones in which chalkones and flavanones were the intermediates. (Figure 11). Starting with Claisen–Schmidt condensation under alkaline conditions between 2′-hydroxyacetophenones (81) and benzaldehydes (82), the cyclisation of the obtained 2′-hydroxychalcones (83a–d) was performed in the presence of sodium acetate. In the third step, the synthesized flavanones (84a–d) were oxidized with m-CPBA to gain results corresponding ε-lactones (85a–d). All the compounds were tested for their antimicrobial activity towards a wide range of pathogenic bacteria (E. coli, B. subtilis, S. aureus), fungi (Fusarium graminearum, Aspergillus niger, Alternaria sp.), and yeast (Candida albicans). Lactone 85a exhibited the broadest spectrum of activity especially towards filamentous fungi and yeast. The methoxy substitution in the 3′ (85b) and 4′ (85c) position of the B ring enhanced the antibacterial activity, whereas substitution in the 7 position of the A ring (85d) enhanced antifungal properties. In most cases, the introduction of lactone function increased the activity of the lactones compared to its chalcone and flavanone precursors [85].
Figure 11.
The synthesis of lactone 85a–d.
6. Biotransformations as a Method for Obtaining New Lactone Derivatives
Microbial transformations of chemical compounds are an interesting tool for obtaining new derivatives. Currently, purified enzymes are very often used for this purpose, but the use of whole cells of microorganizms is an interesting alternative. Crucial advantages are no need to isolate the biocatalyst and no need to add expensive cofactors. It is possible to obtain reaction products more easily in cascade processes. Biotransformations can also be very useful for obtaining derivatives with interesting biological activities. Some bicyclic γ-lactones with a methyl substituted cyclohexane ring (86, 87, 88) also exhibit antimicrobial potential. Those compounds were prepared by different halolactonization strategies. Iodolactonization of γ,δ-unsaturated acids was performed in the I2/KI mixture in aqueous NaHCO3. Bromo- and chlorolactonization was mediated by NBS and NCS, respectively. Interestingly, the obtained lactone compounds were subjected to the biotransformation reaction in which the enzymatic potential of selected filamentous fungi (Fusarium culmorum AM10, Fusarium equiseti AM22, Fusarium solani AM203) was used to modify the lactone structure. As a result of these experiments, the halogen atom was replaced by hydroxyl (89), regardless of the type of halolactone used as the substrate. The antimicrobial activity experiments indicated that these compounds have the ability to inhibit or limit the growth of bacteria, yeast, and fungi. However, the yeast and fungi were more sensitive and hydroxylactone was the least active compound. The most significant inhibitory effect on bacterial growth was shown by the halolactones with a methyl group at the C-3 position (compounds 86, 87, 88) (Figure 12) [86].
Figure 12.
Lactones 86–89.
Some bicyclic lactones with cyclohexane moiety are well-documented antifeedants, especially towards storage product pests [87,88]. There are some examples for which this unique activity is combined with antimicrobial potential, such as for lactones with 4-methylcyclohexane system. Three bicyclic halolactones with a 4-methylcyclohexane ring were subjected to microbial transformation in order to obtain the hydroxyderivative in the hydrolytic dehalogenation process. All lactones, both substrate and biotransformation products, were able to inhibit the growth of the S. aureus strain. Complete inhibition was observed for lactones 90a–c, and lactone 91 (Figure 13) showed a slight inhibition on the growth of this strain together with a significant extension of the adaptive phase (20–36 h) [89].
Figure 13.
Lactones 90a–95.
In other work, Wińska et al. presented similarly designed research in the subjects of synthesis and the transformations of halolactones with 6-methylcyclohexane (92a–c). Moreover, for these compounds, the biotransformation processes in the culture of Fusarium equiseti AM22 and Yarrowia lipolytica AM71 led to the hydrolytic dehalogenation product (92d), but also in Penicillium vermiculatum AM30 culture, the hydroxyl substituent was introduced at C-5 without removal of the halogen atom (93a–c). As in the studies discussed above, the same tendency was also noticeable in the tests of antibacterial activity. The halolactones were much more potent than hydroxylactone obtained as biotransformation product. The presented results may suggest that the presence of the halogen atom significantly increases the antimicrobial activity of this group of compounds [90]. Interestingly, for unsaturated lactone 94 and its biotransformation product, hydroxyderivative 95 (Figure 13), the tendency for antifungal activity was rather reversed. The most active was hydroxylactone 95 which, at 0.025 mg/mL, completely inhibited the growth of the Fusarium linii A3 strain [91].
7. Nafithromycin—New Promising Antibiotic
Macrolide-resistant S. pneumoniae coharboring penicillin-resistant isolates are a current concern in community-acquired pneumonia in adults. Nafithromycin (WCK 4873) (96) (Figure 14) is a product from Wockhardt’s drug discovery program. It is a novel antimicrobial agent of the lactone ketolide class, under clinical development as an orally administered antibiotic for the treatment of community-acquired bacterial pneumonia and other respiratory tract infections. Nafithromycin is classified as a ketolide but has an additional γ-lactone ring instead of a carbamate moiety. That unique structural feature plays a key role in inhibiting RNA-dependent protein biosynthesis and enables nafithromycin to demonstrate potent activity against macrolide-resistant S. pneumoniae [92]. Nafithromycin also showed excellent activity against methicillin-susceptible S. aureus ATCC 29213, E. faecalis ATCC 29212, S. pyogenes and moderate activity against H. influenzae, and potent activity against M. catarrhalis [93,94,95]. Safety, tolerability, and pharmacokinetics during oral administration of nafithromycin was also tested in randomized, double-blind, placebo-controlled studies (registered at ClinicalTrials.gov at the no. NCT03926962 and NCT03979859). At first, single ascending oral doses of nafithromycin (100 to 1200 mg) were administered to human subjects under fasted or fed conditions to evaluated the effects of food on the bioavailability of nafithromycin. Single oral doses of nafithromycin were well-tolerated at all dose levels tested. There were no deaths or treatment-emergent serious adverse events reported and no withdrawals from the study due to an adverse event. No difference in tolerability was detected between the fed and fasted conditions. In the second study, multiple ascending oral doses of 600, 800, or 1000 mg of nafithromycin were administered once daily for 7 days under fed conditions. In this experiment, nafithromycin was also well-tolerated at all doses tested and no serious or severe adverse events were observed. In single-dose pharmacokinetic experiments, the highest geometric mean plasma concentrations were observed between 1 and 6 h postdose, and the mean maximum plasma concentration ranged from 0.099 to 1.742 mg/L. The experiments also led to the finding that plasma exposure to nafithromycin appeared to increase more than dose proportionally and appeared to be increased by the administration of food. In the multiple-dose study, the day 7 nafithromycin maximum plasma concentration ranged from 1.340 to 2.987 mg/L and the area under the concentration–time curve over the final dosing interval (AUC0–24) ranged from 13.48 to 43.46 h·mg/L. The steady state was achieved after 3 days in the group where doses of 600 and 800 mg was administered and after 4 days when 1000 mg was administered. On day 7 of dosing, the nafithromycin showed moderate accumulation. All data collected during this study support further development of nafithromycin [96].
Figure 14.
Nafithromycin (WCK 4873) (96).
8. Summary
The development of bacterial resistance to antibiotics and, consequently, the lack of effective antibiotic therapy is one of the greatest problems of medicine today. Some of the most serious related risks are longer hospital stays, higher medical costs, and increased mortality. Although antibiotic resistance occurs naturally, the overuse and misuse of antibiotics in human and animal therapy lead to the aggravation of the problem. Microbial resistance is increasing to dangerously high levels worldwide as new resistance mechanisms emerge and spread. The consequence of these processes is an urgent need for the continuous design and development of new antimicrobial agents. Given the total number of drugs approved each year on the global market, the number of new substances with antimicrobial activity is insufficient. Therefore, special attention should be given to research focusing on obtaining new antimicrobial substances that, in the long term, can be in the front line of the fight against the most dangerous pathogens. The solution to this problem will probably not be an antibiotic holy grail that is ideal in all cases. However, a much more restrictive use of antibiotics, development of combination therapies together with increased public awareness of the topic of resistance, and increased research funding linked to the discovery of novel antibacterials can certainly play a key role. Small size ring lactones are a very diverse group of compounds that can act by different mechanisms. In some cases, their mode of action is known, and further modification of their structure improves pharmacokinetic properties or broadens the spectrum of action. An example is nafithromycin, an antibiotic in phase III clinical trials. An interesting alternative is to search for new compounds active against other molecular targets, as in the case of exploiting the quorum sensing phenomenon and developing the possibility of using compounds with a lactone ring as its inhibitors. Inspirations for this research can be taken from nature, or it can come from molecular modeling and precise drug design, but the most important thing in this field right now is to find new therapeutics that are effective particularly against drug-resistant microorganisms. It is possible that among those future pharmaceuticals compounds with the lactone moiety will have their share.
Author Contributions
Conceptualization, M.M.; writing—original draft preparation, M.M.; writing—review and editing, M.M. and D.M.; visualization, D.M. All authors have read and agreed to the published version of the manuscript.
Funding
This research received no external funding.
Institutional Review Board Statement
Not applicable.
Informed Consent Statement
Not applicable.
Data Availability Statement
Not applicable.
Conflicts of Interest
The authors declare no conflict of interest.
References
- Sun, Y.; Pan, R.; Chen, H.; Zhao, C.; Han, R.; Li, M.; Xue, G.; Chen, H.; Du, K.; Wang, J.; et al. Cytotoxic Polyhydroxylated Oleanane Triterpenoids from Cissampelos Pareira Var. Hirsuta. Molecules 2022, 27, 1183. [Google Scholar] [CrossRef] [PubMed]
- Bassey, K.; Mamabolo, P.; Cosa, S. An Andrographolide from Helichrysum Caespitium (Dc.) Sond. Ex Harv., (Asteraceae) and Its Antimicrobial, Antiquorum Sensing, and Antibiofilm Potentials. Biology 2021, 10, 1224. [Google Scholar] [CrossRef] [PubMed]
- Mishra, A.; Shaik, H.A.; Sinha, R.K.; Shah, B.R. Andrographolide: A Herbal-Chemosynthetic Approach for Enhancing Immunity, Combating Viral Infections, and Its Implication on Human Health. Molecules 2021, 26, 7036. [Google Scholar] [CrossRef] [PubMed]
- Surowiak, A.K.; Balcerzak, L.; Lochyński, S.; Strub, D.J. Biological Activity of Selected Natural and Synthetic Terpenoid Lactones. Int. J. Mol. Sci. 2021, 22, 5036. [Google Scholar] [CrossRef] [PubMed]
- Sartori, S.K.; Diaz, M.A.N.; Diaz-Muñoz, G. Lactones: Classification, Synthesis, Biological Activities, and Industrial Applications. Tetrahedron 2021, 84, 132001. [Google Scholar] [CrossRef]
- Yang, J.; Yang, Z.; Yin, Y.; Rao, M.; Liang, Y.; Ge, M. Three Novel Polyene Macrolides Isolated from Cultures of Streptomyces Lavenduligriseus. J. Antibiot. 2016, 69, 62–65. [Google Scholar] [CrossRef]
- Fan, B.Z.; Hiasa, H.; Lv, W.; Brody, S.; Yang, Z.Y.; Aldrich, C.; Cushman, M.; Liang, J.H. Design, Synthesis and Structure-Activity Relationships of Novel 15-Membered Macrolides: Quinolone/Quinoline-Containing Sidechains Tethered to the C-6 Position of Azithromycin Acylides. Eur. J. Med. Chem. 2020, 193, 112222. [Google Scholar] [CrossRef]
- Moujir, L.; Callies, O.; Sousa, P.M.C.; Sharopov, F.; Seca, A.M.L. Applications of Sesquiterpene Lactones: A Review of Some Potential Success Cases. Appl. Sci. 2020, 10, 3001. [Google Scholar] [CrossRef]
- Padilla-Gonzalez, G.F.; dos Santos, F.A.; Da Costa, F.B. Sesquiterpene Lactones: More Than Protective Plant Compounds With High Toxicity. CRC. Crit. Rev. Plant Sci. 2016, 35, 18–37. [Google Scholar] [CrossRef]
- Annunziata, F.; Pinna, C.; Dallavalle, S.; Tamborini, L.; Pinto, A. An Overview of Coumarin as a Versatile and Readily Accessible Scaffold with Broad-Ranging Biological Activities. Int. J. Mol. Sci. 2020, 21, 4618. [Google Scholar] [CrossRef]
- Jastrzebska, I. Synthesis and Application of Steroidal 22,16β-Carbolactones: A Review. J. Steroid Biochem. Mol. Biol. 2020, 199, 105592. [Google Scholar] [CrossRef] [PubMed]
- Pawlak, A.; Gładkowski, W.; Mazur, M.; Henklewska, M.; Obmińska-Mrukowicz, B.; Rapak, A. Optically Active Stereoisomers of 5-(1-Iodoethyl)-4-(4′-Isopropylphenyl)Dihydrofuran-2-One: The Effect of the Configuration of Stereocenters on Apoptosis Induction in Canine Cancer Cell Lines. Chem. Biol. Interact. 2017, 261, 18–26. [Google Scholar] [CrossRef] [PubMed]
- Kim, D.Y.; Choi, B.Y. Costunolide—A Bioactive Sesquiterpene Lactone with Diverse Therapeutic Potential. Int. J. Mol. Sci. 2019, 20, 2926. [Google Scholar] [CrossRef] [PubMed]
- Włoch, A.; Stygar, D.; Bahri, F.; Bażanów, B.; Kuropka, P.; Chełmecka, E.; Pruchnik, H.; Gładkowski, W. Antiproliferative, Antimicrobial and Antiviral Activity of β-Aryl-δ-Iodo-γ-Lactones, Their Effect on Cellular Oxidative Stress Markers and Biological Membranes. Biomolecules 2020, 10, 1594. [Google Scholar] [CrossRef]
- Matos, M.S.; Anastácio, J.D.; Dos Santos, C.N. Sesquiterpene Lactones: Promising Natural Compounds to Fight Inflammation. Pharmaceutics 2021, 13, 991. [Google Scholar] [CrossRef]
- Drogosz, J.; Janecka, A. Helenalin—A Sesquiterpene Lactone with Multidirectional Activity. Curr. Drug Targets 2018, 20, 444–452. [Google Scholar] [CrossRef]
- Bordignon, A.; Frédérich, M.; Ledoux, A.; Campos, P.E.; Clerc, P.; Hermann, T.; Quetin-Leclercq, J.; Cieckiewicz, E. In Vitro Antiplasmodial and Cytotoxic Activities of Sesquiterpene Lactones from Vernonia Fimbrillifera Less. (Asteraceae). Nat. Prod. Res. 2018, 32, 1463–1466. [Google Scholar] [CrossRef]
- Wang, Z.; Fang, J.; Luo, J.; Hou, D.; Tan, Y.; Gu, Z.; Ge, Y.; Mao, L.; Liu, L.; Liu, H.; et al. Antiviral Activity of 3D, a Butene Lactone Derivative against Influenza a Virus in Vitro and in Vivo. Viruses 2021, 13, 278. [Google Scholar] [CrossRef]
- Chadwick, M.; Trewin, H.; Gawthrop, F.; Wagstaff, C. Sesquiterpenoids Lactones: Benefits to Plants and People. Int. J. Mol. Sci. 2013, 14, 12780–12805. [Google Scholar] [CrossRef]
- World Health Organization. Available online: https://www.who.int/news-room/fact-sheets/detail/antimicrobial-resistance (accessed on 9 July 2022).
- Bush, K.; Page, M.G.P. What We May Expect from Novel Antibacterial Agents in the Pipeline with Respect to Resistance and Pharmacodynamic Principles. J. Pharmacokinet. Pharmacodyn. 2017, 44, 113–132. [Google Scholar] [CrossRef]
- O’Connell, K.M.G.; Hodgkinson, J.T.; Sore, H.F.; Welch, M.; Salmond, G.P.C.; Spring, D.R. Combating Multidrug-Resistant Bacteria: Current Strategies for the Discovery of Novel Antibacterials. Angew. Chemie. Int. Ed. 2013, 52, 10706–10733. [Google Scholar] [CrossRef] [PubMed]
- Song, X.; Yuan, G.; Li, P.; Cao, S. Guanidine-Containing Polyhydroxyl Macrolides: Chemistry, Biology, and Structure-Activity Relationship. Molecules 2019, 24, 3913. [Google Scholar] [CrossRef] [PubMed]
- Sile, I.; Romane, E.; Reinsone, S.; Maurina, B.; Tirzite, D.; Dambrova, M. Medicinal Plants and Their Uses Recorded in the Archives of Latvian Folklore from the 19th Century. J. Ethnopharmacol. 2020, 249, 112378. [Google Scholar] [CrossRef] [PubMed]
- Grauso, L.; Cesarano, G.; Zotti, M.; Ranesi, M.; Sun, W.; Bonanomi, G.; Lanzotti, V. Exploring Dittrichia Viscosa (L.) Greuter Phytochemical Diversity to Explain Its Antimicrobial, Nematicidal and Insecticidal Activity. Phytochem. Rev. 2020, 19, 659–689. [Google Scholar] [CrossRef]
- Häkkinen, S.T.; Soković, M.; Nohynek, L.; Ćirić, A.; Ivanov, M.; Stojković, D.; Tsitko, I.; Matos, M.; Baixinho, J.P.; Ivasiv, V.; et al. Chicory Extracts and Sesquiterpene Lactones Show Potent Activity against Bacterial and Fungal Pathogens. Pharmaceuticals 2021, 14, 941. [Google Scholar] [CrossRef]
- Kim, W.S.; Choi, W.J.; Lee, S.; Kim, W.J.; Lee, D.C.; Sohn, U.D.; Shin, H.S.; Kim, W. Anti-Inflammatory, Antioxidant and Antimicrobial Effects of Artemisinin Extracts from Artemisia annua L. Korean J. Physiol. Pharmacol. 2015, 19, 21–27. [Google Scholar] [CrossRef]
- Appalasamy, S.; Lo, K.Y.; Ch’Ng, S.J.; Nornadia, K.; Othman, A.S.; Chan, L.K. Antimicrobial Activity of Artemisinin and Precursor Derived from in Vitro Plantlets of Artemisia annua L. BioMed Res. Int. 2014, 2014, 215872. [Google Scholar] [CrossRef]
- Boulanger, D.; Brouillette, E.; Jaspar, F.; Malouin, F.; Mainil, J.; Bureau, F.; Lekeux, P. Helenalin Reduces Staphylococcus Aureus Infection in Vitro and in Vivo. Vet. Microbiol. 2007, 119, 330–338. [Google Scholar] [CrossRef]
- Koprowska, K.; Czyz, M. Molecular Mechanisms of Parthenolide’s Action: Old Drug with a New Face. Postepy Hig. Med. Dosw. 2010, 64, 100–114. Available online: https://publisherspan.
- Perveen, S.; Alqahtani, J.; Orfali, R.; Al-Taweel, A.M.; Yusufoglu, H.S.; Abdel-Kader, M.S.; Taglialatela-Scafati, O. Antimicrobial Guaianolide Sesquiterpenoids from Leaves of the Saudi Arabian Plant Anvillea Garcinii. Fitoterapia 2019, 134, 129–134. [Google Scholar] [CrossRef]
- Kudumela, R.G.; Mazimba, O.; Masoko, P. Isolation and Characterisation of Sesquiterpene Lactones from Schkuhria Pinnata and Their Antibacterial and Anti-Inflammatory Activities. South African J. Bot. 2019, 126, 340–344. [Google Scholar] [CrossRef]
- Labed, F.; Masullo, M.; Mirra, V.; Nazzaro, F.; Benayache, F.; Benayache, S.; Piacente, S. Amino Acid-Sesquiterpene Lactone Conjugates from the Aerial Parts of Centaurea Pungens and Evaluation of Their Antimicrobial Activity. Fitoterapia 2019, 133, 51–55. [Google Scholar] [CrossRef] [PubMed]
- Aliyu, A.B.; Moodley, B.; Chenia, H.; Koorbanally, N.A. Sesquiterpene Lactones from the Aerial Parts of Vernonia Blumeoides Growing in Nigeria. Phytochemistry 2015, 111, 163–168. [Google Scholar] [CrossRef] [PubMed]
- Ramos, A.V.G.; de Sá, N.; Araújo, D.L.O.; Cabral, M.R.P.; Costacurta, G.F.; de Freitas, B.C.; Vilegas, L.V.; Scodro, R.B.D.L.; Siqueira, V.L.D.; Cotica, E.S.K.; et al. The Chemistry of Vernonanthura Nudiflora (Less.) H. Rob. Flowers and Its Antimicrobial Activities. Nat. Prod. Res. 2021, 1–6. [Google Scholar] [CrossRef]
- Adekenov, S.M. Natural Sesquiterpene Lactones as Renewable Chemical Materials for New Medicinal Products. Eurasian Chem. J. 2013, 15, 163–174. [Google Scholar] [CrossRef]
- Calzada, F.; Bautista, E.; Hidalgo-figueroa, S.; García-hernández, N.; Velázquez, C.; Barbosa, E.; Valdes, M.; Solares-pascasio, J.I. Understanding the Anti-Diarrhoeal Properties of Incomptines A and B: Antibacterial Activity against Vibrio Cholerae and Its Enterotoxin Inhibition. Pharmaceuticals 2022, 15, 196. [Google Scholar] [CrossRef]
- Turner, B.L. A New Species of Decachaeta (Asteracae: Eupatorieae), from Oaxaca, Mexico. Phytologia 2011, 93, 346–350. Available online: http://www.phytologia.
- Corlay, N.; Lecsö-Bornet, M.; Leborgne, E.; Blanchard, F.; Cachet, X.; Bignon, J.; Roussi, F.; Butel, M.J.; Awang, K.; Litaudon, M. Antibacterial Labdane Diterpenoids from Vitex Vestita. J. Nat. Prod. 2015, 78, 1348–1356. [Google Scholar] [CrossRef]
- Farimani, M.M.; Taleghani, A.; Aliabadi, A.; Aliahmadi, A.; Esmaeili, M.A.; Sarvestani, N.N.; Khavasi, H.R.; Smieško, M.; Hamburger, M.; Ebrahimi, S.N. Labdane Diterpenoids from Salvia Leriifolia: Absolute Configuration, Antimicrobial and Cytotoxic Activities. Planta Med. 2016, 82, 1279–1285. [Google Scholar] [CrossRef]
- Calzadaa, F.; Yepez-Mulia, L.; Amparo Tapia-Contreras, A.O. Antiprotozoal and Antibacterial Properties Of. Rev. Latinoamer. Quím. 2009, 37, 97–103. [Google Scholar]
- Zeng, Q.; Chen, Y.; Wang, J.; Shi, X.; Che, Y.; Chen, X.; Zhong, W.; Zhang, W.; Wei, X.; Wang, F.; et al. Diverse Secondary Metabolites from the Coral-Derived Fungus Aspergillus Hiratsukae SCSIO 5Bn1003. Mar. Drugs 2022, 20, 150. [Google Scholar] [CrossRef] [PubMed]
- Kong, F.D.; Huang, X.L.; Ma, Q.Y.; Xie, Q.Y.; Wang, P.; Chen, P.W.; Zhou, L.M.; Yuan, J.Z.; Dai, H.F.; Luo, D.Q.; et al. Helvolic Acid Derivatives with Antibacterial Activities against Streptococcus Agalactiae from the Marine-Derived Fungus Aspergillus Fumigatus HNMF0047. J. Nat. Prod. 2018, 81, 1869–1876. [Google Scholar] [CrossRef] [PubMed]
- Bai, M.; Huang, G.L.; Mei, R.Q.; Wang, B.; Luo, Y.P.; Nong, X.H.; Chen, G.Y.; Zheng, C.J. Bioactive Lactones from the Mangrove-Derived Fungus Penicillium Sp. TGM112. Mar. Drugs 2019, 17, 433. [Google Scholar] [CrossRef]
- Zhou, Y.; Zhang, Y.X.; Zhang, J.P.; Yu, H.B.; Liu, X.Y.; Lu, X.L.; Jiao, B.H. A New Sesquiterpene Lactone from Fungus Eutypella sp. D-1. Nat. Prod. Res. 2017, 31, 1676–1681. [Google Scholar] [CrossRef] [PubMed]
- Liktor-Busa, E.; Kovács, B.; Urbán, E.; Hohmann, J.; Ványolós, A. Investigation of Hungarian Mushrooms for Antibacterial Activity and Synergistic Effects with Standard Antibiotics against Resistant Bacterial Strains. Lett. Appl. Microbiol. 2016, 62, 437–443. [Google Scholar] [CrossRef] [PubMed]
- Béni, Z.; Dékány, M.; Kovács, B.; Csupor-Löffler, B.; Zomborszki, Z.P.; Kerekes, E.; Szekeres, A.; Urbán, E.; Hohmann, J.; Ványolós, A. Bioactivity-Guided Isolation of Antimicrobial and Antioxidant Metabolites from the Mushroom Tapinella Atrotomentosa. Molecules 2018, 23, 1082. [Google Scholar] [CrossRef]
- Liu, Y.; Ding, L.; Fang, F.; He, S. Penicillilactone A, a Novel Antibacterial 7-Membered Lactone Derivative from the Sponge-Associated Fungus Penicillium Sp. LS54. Nat. Prod. Res. 2019, 33, 2466–2470. [Google Scholar] [CrossRef] [PubMed]
- Kluge, A.F.; Petter, R.C. Acylating Drugs: Redesigning Natural Covalent Inhibitors. Curr. Opin. Chem. Biol. 2010, 14, 421–427. [Google Scholar] [CrossRef]
- Scott, T.A.; Batey, S.F.D.; Wiencek, P.; Chandra, G.; Alt, S.; Francklyn, C.S.; Wilkinson, B. Immunity-Guided Identification of Threonyl-TRNA Synthetase as the Molecular Target of Obafluorin, a β-Lactone Antibiotic. ACS Chem. Biol. 2019, 14, 2663–2671. [Google Scholar] [CrossRef]
- Lima, L.M.; da Silva, B.N.M.; Barbosa, G.; Barreiro, E.J. β-Lactam Antibiotics: An Overview from a Medicinal Chemistry Perspective. Eur. J. Med. Chem. 2020, 208, 112829. [Google Scholar] [CrossRef]
- Turner, N.A.; Sharma-Kuinkel, B.K.; Maskarinec, S.A.; Eichenberger, E.M.; Shah, P.P.; Carugati, M.; Holland, T.L.; Fowler, V.G. Methicillin-Resistant Staphylococcus Aureus: An Overview of Basic and Clinical Research. Nat. Rev. Microbiol. 2019, 17, 203–218. [Google Scholar] [CrossRef] [PubMed]
- Zhou, Y.; Guo, Y.; Wen, Z.; Ci, X.; Xia, L.; Wang, Y.; Deng, X.; Wang, J. Isoalantolactone Enhances the Antimicrobial Activity of Penicillin g against Staphylococcus Aureus by Inactivating β-Lactamase during Protein Translation. Pathogens 2020, 9, 161. [Google Scholar] [CrossRef]
- Chukwujekwu, J.C.; Van Heerden, F.R.; Van Staden, J. Synergistic Properties of Sesquiterpene Lactones Isolated from Centratherum Punctatum Cass. in Combination with Ampicillin against Beta-Lactam-Resistant Gram-Negative Bacteria. South Afr. J. Bot. 2018, 117, 79–82. [Google Scholar] [CrossRef]
- Reuk-Ngam, N.; Chimnoi, N.; Khunnawutmanotham, N.; Techasakul, S. Antimicrobial Activity of Coronarin D and Its Synergistic Potential with Antibiotics. BioMed Res. Int. 2014, 2014, 581985. [Google Scholar] [CrossRef] [PubMed]
- Arena, M.E.; Cartagena, E.; Gobbato, N.; Baigori, M.; Valdez, J.C.; Bardon, A. In Vivo and in Vitro Antibacterial Activity of Acanthospermal B, a Sesquiterpene Lactone Isolated from Acanthospermum Hispidum. Phyther. Res. 2011, 25, 597–602. [Google Scholar] [CrossRef] [PubMed]
- Cartagena, E.; Montanaro, S.; Bardon, A. Improvement of the Antibacterial Activity of Sesquiterpene Lactones. Rev. Latinoam. Química 2008, 36, 43–51. [Google Scholar]
- Cartagena, E.; Alva, M.; Montanaro, S.; Bardõn, A. Natural Sesquiterpene Lactones Enhance Oxacillin and Gentamicin Effectiveness against Pathogenic Bacteria without Antibacterial Effects on Beneficial Lactobacilli. Phyther. Res. 2015, 29, 695–700. [Google Scholar] [CrossRef]
- Global Tuberculosis Repor. Available online: https://www.who.int/teams/global-tuberculosis-programme/tb-reports (accessed on 7 September 2022).
- Lehmann, J.; Cheng, T.Y.; Aggarwal, A.; Park, A.S.; Zeiler, E.; Raju, R.M.; Akopian, T.; Kandror, O.; Sacchettini, J.C.; Moody, D.B.; et al. An Antibacterial β-Lactone Kills Mycobacterium Tuberculosis by Disrupting Mycolic Acid Biosynthesis. Angew. Chem. Int. Ed. 2018, 57, 348–353. [Google Scholar] [CrossRef]
- Ismaiel, A.A.; Ali, D.M.I. Antimicrobial Properties of 6-Pentyl-α-Pyrone Produced by Endophytic Strains of Trichoderma Koningii and Its Effect on Aflatoxin B1 Production. Biologia 2017, 72, 1403–1415. [Google Scholar] [CrossRef]
- Kotb, A.M.E.; Abd El-Aziz, N.K.; Elariny, E.Y.T.; Yahya, R.; Alkhalifah, D.H.M.; Ahmed, R.M. Synergistic Antibacterial Potential of 6-Pentyl-α-Pyrone Lactone and Zinc Oxide Nanoparticles against Multidrug-Resistant Enterobacterales Isolated from Urinary Tract Infections in Humans. Antibiotics 2022, 11, 440. [Google Scholar] [CrossRef]
- Majik, M.S.; Gawas, U.B.; Mandrekar, V.K. Next Generation Quorum Sensing Inhibitors: Accounts on Structure Activity Relationship Studies and Biological Activities. Bioorganic Med. Chem. 2020, 28, 115728. [Google Scholar] [CrossRef] [PubMed]
- Shaaban, M.; Elgaml, A.; Habib, E.S.E. Biotechnological Applications of Quorum Sensing Inhibition as Novel Therapeutic Strategies for Multidrug Resistant Pathogens. Microb. Pathog. 2019, 127, 138–143. [Google Scholar] [CrossRef] [PubMed]
- De Oliveira, D.M.P.; Forde, B.M.; Kidd, T.J.; Harris, P.N.A.; Schembri, M.A.; Beatson, S.A.; Paterson, D.L.; Walker, M.J. Antimicrobial Resistance in ESKAPE Pathogens. Clin. Microbiol. Rev. 2020, 33, e00181-19. [Google Scholar] [CrossRef] [PubMed]
- Lakemeyer, M.; Zhao, W.; Mandl, F.A.; Hammann, P.; Sieber, S.A. Thinking Outside the Box—Novel Antibacterials To Tackle the Resistance Crisis. Angew. Chem. Int. Ed. 2018, 57, 14440–14475. [Google Scholar] [CrossRef]
- Venturi, V. Regulation of Quorum Sensing in Pseudomonas. FEMS Microbiol. Rev. 2006, 30, 274–291. [Google Scholar] [CrossRef]
- Yu, Z.; Yu, D.; Mao, Y.; Zhang, M.; Ding, M.; Zhang, J.; Wu, S.; Qiu, J.; Yin, J. Identification and Characterization of a LuxI/R-Type Quorum Sensing System in Pseudoalteromonas. Res. Microbiol. 2019, 170, 243–255. [Google Scholar] [CrossRef]
- De Kievit, T.R.; Kakai, Y.; Register, J.K.; Pesci, E.C.; Iglewski, B.H. Role of the Pseudomonas Aeruginosa Las and Rhl Quorum-Sensing Systems in RhlI Regulation. FEMS Microbiol. Lett. 2002, 212, 101–106. [Google Scholar] [CrossRef]
- Kalaiarasan, E.; Thirumalaswamy, K.; Harish, B.N.; Gnanasambandam, V.; Sali, V.K.; John, J. Inhibition of Quorum Sensing-Controlled Biofilm Formation in Pseudomonas Aeruginosa by Quorum-Sensing Inhibitors. Microb. Pathog. 2017, 111, 99–107. [Google Scholar] [CrossRef]
- Shin, D.; Gorgulla, C.; Boursier, M.E.; Rexrode, N.; Brown, E.C.; Arthanari, H.; Blackwell, H.E.; Nagarajan, R. N-Acyl Homoserine Lactone Analog Modulators of the Pseudomonas Aeruginosa Rhll Quorum Sensing Signal Synthase. ACS Chem. Biol. 2019, 14, 2305–2314. [Google Scholar] [CrossRef]
- Rezzoagli, C.; Archetti, M.; Mignot, I.; Baumgartner, M.; Kümmerli, R. Combining Antibiotics with Antivirulence Compounds Can Have Synergistic Effects and Reverse Selection for Antibiotic Resistance in Pseudomonas Aeruginosa. PLoS Biol. 2020, 18, e3000805. [Google Scholar] [CrossRef]
- Zhang, Q.; Queneau, Y.; Soulère, L. Biological Evaluation and Docking Studies of New Carbamate, Thiocarbamate, and Hydrazide Analogues of ACYL Homoserine Lactones as Vibrio Fischeri-Quorum Sensing Modulators. Biomolecules 2020, 10, 455. [Google Scholar] [CrossRef] [PubMed]
- Aliyu, A.B.; Koorbanally, N.A.; Moodley, B.; Singh, P.; Chenia, H.Y. Quorum Sensing Inhibitory Potential and Molecular Docking Studies of Sesquiterpene Lactones from Vernonia Blumeoides. Phytochemistry 2016, 126, 23–33. [Google Scholar] [CrossRef] [PubMed]
- Gutiérrez-Barranquero, J.A.; Reen, F.J.; McCarthy, R.R.; O’Gara, F. Deciphering the Role of Coumarin as a Novel Quorum Sensing Inhibitor Suppressing Virulence Phenotypes in Bacterial Pathogens. Appl. Microbiol. Biotechnol. 2015, 99, 3303–3316. [Google Scholar] [CrossRef] [PubMed]
- Wang, D.Y.; Abboud, M.I.; Markoulides, M.S.; Brem, J.; Schofield, C.J. The Road to Avibactam: The First Clinically Useful Non-β-Lactam Working Somewhat like a β-Lactam. Future Med. Chem. 2016, 8, 1061–1082. [Google Scholar] [CrossRef]
- Sato, J.; Kusano, H.; Aoki, T.; Shibuya, S.; Yokoo, K.; Komano, K.; Oguma, T.; Matsumoto, S.; Sato, T.; Yasuo, K.; et al. A Novel Tricyclic β-Lactam Exhibiting Potent Antibacterial Activities against Carbapenem-Resistant Enterobacterales: Synthesis and Structure-Activity-Relationships. Bioorganic Med. Chem. 2021, 46, 116343. [Google Scholar] [CrossRef]
- Calvopiña, K.; Umland, K.D.; Rydzik, A.M.; Hinchliffe, P.; Brem, J.; Spencer, J.; Schofield, C.J.; Avison, M.B. Sideromimic Modification of Lactivicin Dramatically Increases Potency against Extensively Drug-Resistant Stenotrophomonas Maltophilia Clinical Isolates. Antimicrob. Agents Chemother. 2016, 60, 4170–4175. [Google Scholar] [CrossRef]
- Santucci, P.; Dedaki, C.; Athanasoulis, A.; Gallorini, L.; Munoz, A.; Canaan, S.; Cavalier, J.F.; Magrioti, V. Synthesis of Long-Chain β-Lactones and Their Antibacterial Activities against Pathogenic Mycobacteria. ChemMedChem 2019, 14, 349–358. [Google Scholar] [CrossRef]
- Zhang, Z.; Chen, Z.; Zhang, S.; Shao, X.; Zhou, Z. Antibacterial Activity of the Structurally Novel Ocotillol-Type Lactone and Its Analogues. Fitoterapia 2020, 144, 104597. [Google Scholar] [CrossRef]
- Hamann, H.J.; Abutaleb, N.S.; Pal, R.; Seleem, M.N.; Ramachandran, P.V. β,γ-Diaryl α-Methylene-γ-Butyrolactones as Potent Antibacterials against Methicillin-Resistant Staphylococcus Aureus. Bioorg. Chem. 2020, 104, 104183. [Google Scholar] [CrossRef]
- Laurentiz, R.S.; Gomes, W.P.; Pissurno, A.P.R.; Santos, F.A.; Santos, V.C.O.; Martins, C.H.G. Synthesis and Antibacterial Activity of New Lactone 1,4-Dihydroquinoline Derivatives. Med. Chem. Res. 2018, 27, 1074–1084. [Google Scholar] [CrossRef]
- Kamizela, A.; Gawdzik, B.; Urbaniak, M.; Lechowicz, Ł.; Białońska, A.; Gonciarz, W.; Chmiela, M. Synthesis, Characterization, Cytotoxicity, and Antibacterial Properties of Trans-γ-Halo-δ-Lactones. ChemistryOpen 2018, 7, 543–550. [Google Scholar] [CrossRef] [PubMed]
- Kowalczyk, P.; Gawdzik, B.; Trzepizur, D.; Szymczak, M.; Skiba, G.; Raj, S.; Kramkowski, K.; Lizut, R.; Ostaszewski, R. δ-Lactones—A New Class of Compounds That Are Toxic to E. Coli K12 and R2–R4 Strains. Materials 2021, 14, 2956. [Google Scholar] [CrossRef] [PubMed]
- Gładkowski, W.; Siepka, M.; Janeczko, T.; Kostrzewa-susłow, E.; Mazur, M.; Zarowska, B.; Łaba, W. Synthesis and Antimicrobial Activity of Methoxy- Substituted γ-Oxa-ε-Lactones Derived from Flavanones. Molecules 2019, 24, 4151. [Google Scholar] [CrossRef]
- Grabarczyk, M.; Wińska, K.; Mączka, W.; Żołnierczyk, A.K.; Żarowska, B.; Anioł, M. Lactones with Methylcyclohexane Systems Obtained by Chemical and Microbiological Methods and Their Antimicrobial Activity. Molecules 2015, 20, 3335–3353. [Google Scholar] [CrossRef]
- Mazur, M.; Gładkowski, W.; Podkowik, M.; Bania, J.; Nawrot, J.; Białońska, A.; Wawrzeńczyk, C. Lactones 43. New Biologically Active Lactones: β-Cyclocitral Derivatives. Pest Manag. Sci. 2014, 70, 286–294. [Google Scholar] [CrossRef] [PubMed]
- Grudniewska, A.; Kłobucki, M.; Dancewicz, K.; Szczepanik, M.; Gabryś, B.; Wawrzeńczyk, C. Synthesis and Antifeedant Activity of Racemic and Optically Active Hydroxy Lactones with the P-Menthane System. PLoS ONE 2015, 10, e0131028. [Google Scholar] [CrossRef]
- Wińska, K.; Grabarczyk, M.; Mączka, W.; Zarowska, B.; Maciejewska, G.; Dancewicz, K.; Gabryś, B.; Aniol, M. Biotransformation of Lactones with Methylcyclohexane Ring and Their Biological Activity. Appl. Sci. 2017, 7, 12. [Google Scholar] [CrossRef]
- Wińska, K.; Grabarczyk, M.; Mączka, W.; Żarowska, B.; Maciejewska, G.; Dancewicz, K.; Gabryś, B.; Szumny, A.; Anioł, M. Biotransformation of Bicyclic Halolactones with a Methyl Group in the Cyclohexane Ring into Hydroxylactones and Their Biological Activity. Molecules 2016, 21, 1453. [Google Scholar] [CrossRef]
- Grabarczyk, M.; Maczka, W.; Wińska, K.; Kondas, A.; Żarowska, B.; Maciejewska, G.; Gębarowska, E.; Pietr, S.J. Pleurotus Ostreatus as a Biocatalyst to Obtain Bicyclic Hydroxylactones with Three or Four Methyl Groups. Catalysts 2019, 9, 643. [Google Scholar] [CrossRef]
- Flamm, R.K.; Rhomberg, P.R.; Sader, H.S. In Vitro Activity of the Novel Lactone Ketolide Nafithromycin (WCK 4873) against Contemporary Clinical Bacteria from a Global Surveillance Program. Antimicrob. Agents Chemother. 2017, 61, e01230-17. [Google Scholar] [CrossRef]
- Trivedi, J.; Shaikh, J.; Chavan, N.; Thorve, D.; Chaudhary, B.; Karade, A.; Gupta, S.; Patel, A.; Bhagwat, S. Pretreatment of Nafithromycin Attenuates Inflammatory Response in Murine Lipopolysaccharide Induced Acute Lung Injury. Cytokine 2020, 129, 155049. [Google Scholar] [CrossRef] [PubMed]
- Hackel, M.A.; Karlowsky, J.A.; Dressel, D.; Sahm, D.F. Determination of Disk Diffusion and MIC Quality Control Ranges for Nafithromycin (WCK 4873), a New Lactone-Ketolide. J. Clin. Microbiol. 2017, 55, 3021–3027. [Google Scholar] [CrossRef] [PubMed]
- Veeraraghavan, B.; Varghese, R.; Saigal, K.; Balasubramanian, S.; Bai, P.S.P.; Lal Y, B.; Neeravi, A.; Baskar, P.; Anandhan, K.; Kumar, C.P.G.; et al. Activity of Novel Lactone Ketolide Nafithromycin against Multicentric Invasive and Non-Invasive Pneumococcal Isolates Collected in India. JAC-Antimicrobial Resist. 2021, 3, 3–6. [Google Scholar] [CrossRef]
- Iwanowski, P.; Bhatia, A.; Gupta, M.; Patel, A.; Chavan, R.; Yeole, R. Crossm Safety, Tolerability, and Pharmacokinetics of Oral Nafithromycin (WCK 4873) after Single or Multiple Doses and Effects of Food on Single-Dose Bioavailability in Healthy Adult Subjects. Antimicrob. Agents Chemother. 2019, 63, e01253-19. [Google Scholar] [CrossRef] [PubMed]
Publisher’s Note: MDPI stays neutral with regard to jurisdictional claims in published maps and institutional affiliations. |
© 2022 by the authors. Licensee MDPI, Basel, Switzerland. This article is an open access article distributed under the terms and conditions of the Creative Commons Attribution (CC BY) license (https://creativecommons.org/licenses/by/4.0/).








































