The Integration of Reference Electrode for ISFET Ion Sensors Using Fluorothiophenol-Treated rGO
Abstract
1. Introduction
2. Materials and Methods
2.1. Fabrication of Graphene RE and ITO Deposition
2.2. Ion-Selective Membrane and Buffer Solution
2.3. Method of Analysis
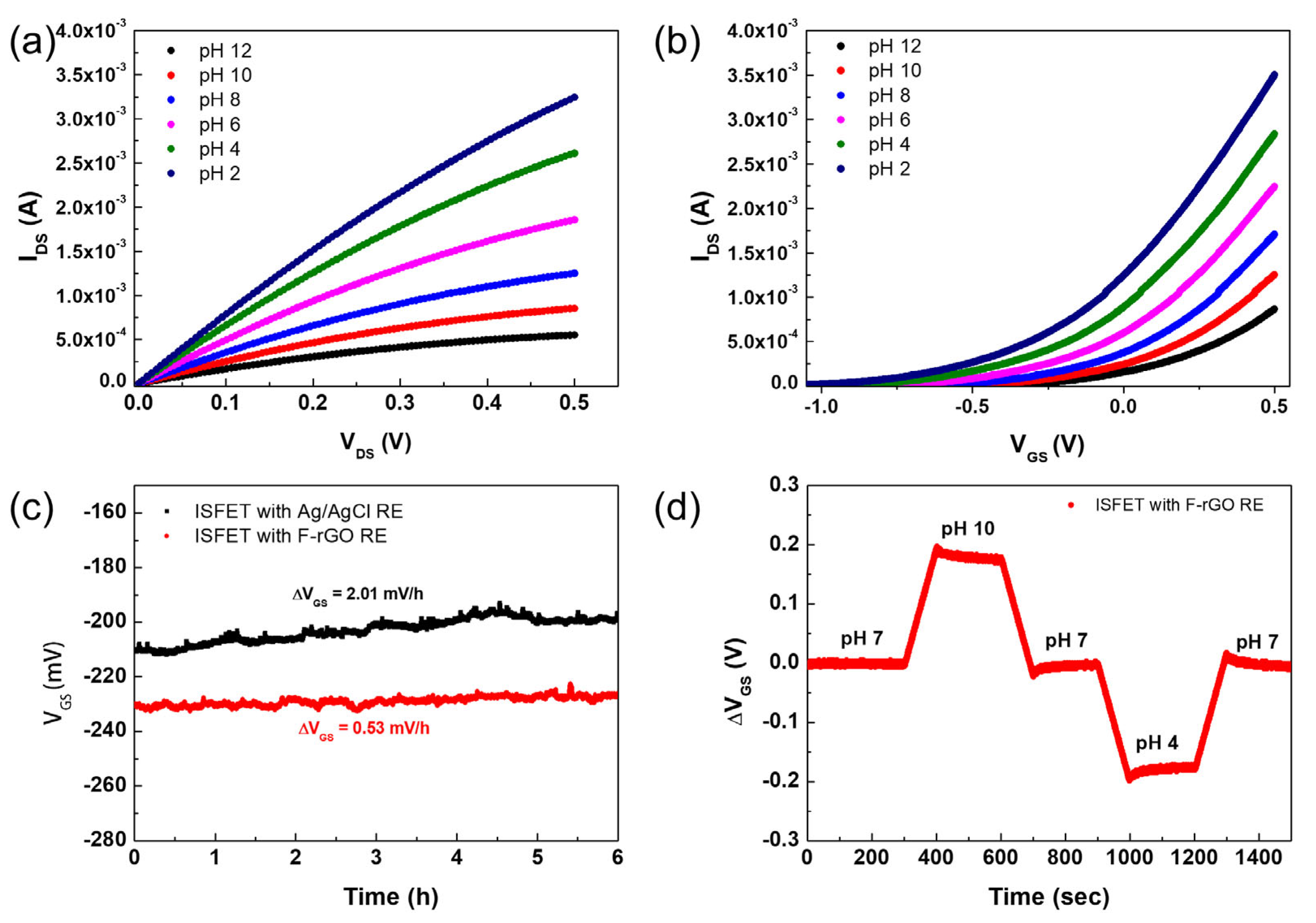
3. Results and Discussion
3.1. Evaluation of ITO and F-rGO
3.2. Characteristics of the ITO-ISFET and F-rGO RE
3.3. Ion Detection Using ITO-ISFET and F-rGO RE
4. Conclusions
Supplementary Materials
Author Contributions
Funding
Institutional Review Board Statement
Informed Consent Statement
Data Availability Statement
Conflicts of Interest
References
- Morozov, S.V.; Novoselov, K.S.; Katsnelson, M.I.; Schedin, F.; Elias, D.C.; Jaszczak, J.A.; Geim, A.K. Giant Intrinsic Carrier Mobilities in Graphene and Its Bilayer. Phys. Rev. Lett. 2008, 100, 16602. [Google Scholar] [CrossRef] [PubMed]
- Gómez-Navarro, C.; Weitz, R.T.; Bittner, A.M.; Scolari, M.; Mews, A.; Burghard, M.; Kern, K. Electronic Transport Properties of Individual Chemically Reduced Graphene Oxide Sheets. Nano Lett. 2007, 7, 3499–3503. [Google Scholar] [CrossRef] [PubMed]
- Feng, H.; Cheng, R.; Zhao, X.; Duan, X.; Li, J. A low-temperature method to produce highly reduced graphene oxide. Nat. Commun. 2013, 4, 1539. [Google Scholar] [CrossRef] [PubMed]
- Zhang, X.; Zhang, Y.; Liao, Q.; Song, Y.; Ma, S. Reduced Graphene Oxide-Functionalized High Electron Mobility Transistors for Novel Recognition Pattern Label-Free DNA Sensors. Small 2013, 9, 4045–4050. [Google Scholar] [CrossRef]
- Ahn, M.-S.; Ahmad, R.; Bhat, K.S.; Yoo, J.-Y.; Mahmoudi, T.; Hahn, Y.-B. Fabrication of a solution-gated transistor based on valinomycin modified iron oxide nanoparticles decorated zinc oxide nanorods for potassium detection. J. Colloid Interface Sci. 2018, 518, 277–283. [Google Scholar] [CrossRef]
- Garcia-Cordero, E.; Bellando, F.; Zhang, J.; Wildhaber, F.; Longo, J.; Guérin, H.; Ionescu, A.M. Three-Dimensional Integrated Ultra-Low-Volume Passive Microfluidics with Ion-Sensitive Field-Effect Transistors for Multiparameter Wearable Sweat Analyzers. ACS Nano 2018, 12, 12646–12656. [Google Scholar] [CrossRef]
- Fakih, I.; Centeno, A.; Zurutuza, A.; Ghaddab, B.; Siaj, M.; Szkopek, T. High resolution potassium sensing with large-area graphene field-effect transistors. Sensors Actuators B Chem. 2019, 291, 89–95. [Google Scholar] [CrossRef]
- Li, H.; Walsh, K.B.; Bayram, F.; Koley, G. Direct measurement of K+ ion efflux from neuronal cells using a graphene-based ion sensitive field effect transistor. RSC Adv. 2020, 10, 37728–37734. [Google Scholar] [CrossRef]
- Bao, C.; Kaur, M.; Kim, W.S. Toward a highly selective artificial saliva sensor using printed hybrid field effect transistors. Sensors Actuators B: Chem. 2019, 285, 186–192. [Google Scholar] [CrossRef]
- Hu, Q.; Chen, S.; Wang, Z.; Zhang, Z. Improving selectivity of ion-sensitive membrane by polyethylene glycol doping. Sensors Actuators B Chem. 2020, 328, 128955. [Google Scholar] [CrossRef]
- Yoon, J.H.; Park, H.J.; Park, S.H.; Lee, K.G.; Choi, B.G. Electrochemical characterization of reduced graphene oxide as an ion-to-electron transducer and application of screen-printed all-solid-state potassium ion sensors. Carbon Lett. 2019, 30, 73–80. [Google Scholar] [CrossRef]
- Pirovano, P.; Dorrian, M.; Shinde, A.; Donohoe, A.; Brady, A.J.; Moyna, N.M.; Wallace, G.; Diamond, D.; McCaul, M. A wearable sensor for the detection of sodium and potassium in human sweat during exercise. Talanta 2020, 219, 121145. [Google Scholar] [CrossRef]
- Cao, N.; Lyu, Q.; Li, J.; Wang, Y.; Yang, B.; Szunerits, S.; Boukherroub, R. Facile synthesis of fluorinated polydopa-mine/chitosan/reduced graphene oxide composite aerogel for efficient oil/water separation. Chem. Eng. J. 2017, 326, 17–28. [Google Scholar] [CrossRef]
- Zhan, D.; Ni, Z.; Chen, W.; Sun, L.; Luo, Z.; Lai, L.; Yu, T.; Wee, A.T.S.; Shen, Z. Electronic structure of graphite oxide and thermally reduced graphite oxide. Carbon 2011, 49, 1362–1366. [Google Scholar] [CrossRef]
- Park, Y.-C.; Kim, Y.-S.; Seo, H.-K.; Ansari, S.; Shin, H.-S. ITO thin films deposited at different oxygen flow rates on Si(100) using the PEMOCVD method. Surf. Coatings Technol. 2002, 161, 62–69. [Google Scholar] [CrossRef]
- Kim, J.; Bae, J.; Kim, H.; Lee, N.-E.; Yeom, G.; Oh, K. Effects of oxygen radical on the properties of indium tin oxide thin films deposited at room temperature by oxygen ion beam assisted evaporation. Thin Solid Films 2000, 377, 103–108. [Google Scholar] [CrossRef]
- Gianti, M.S.; Oh, H.G.; Cho, H.S.; Jo, D.A.; Indriatmoko, M.N.; Lim, J.M.; Jang, B.K.; Song, K.S. Low-cost fabrication of indium tin oxide (ITO) FETs for sodium detection in electrolytes and human urine. Electron. Lett. 2021, 57, 682–684. [Google Scholar] [CrossRef]
- Oh, H.; Jeon, D.; Gianti, M.; Cho, H.; Jo, D.; Indriatmoko, M.; Jang, B.; Lim, J.; Cho, S.; Song, K. Two–Dimensional Disposable Graphene Sensor to Detect Na+ Ions. Nanomaterials 2021, 11, 787. [Google Scholar] [CrossRef]
- Lue, C.-E.; Wang, I.-S.; Huang, C.-H.; Shiao, Y.-T.; Wang, H.-C.; Yang, C.-M.; Hsu, S.-H.; Chang, C.-Y.; Wang, W.; Lai, C.-S. pH sensing reliability of flexible ITO/PET electrodes on EGFETs prepared by a roll-to-roll process. Microelectron. Reliab. 2011, 52, 1651–1654. [Google Scholar] [CrossRef]
- Bergveld, P. Thirty years of ISFETOLOGY: What happened in the past 30 years and what may happen in the next 30 years. Sens. Actuators B Chem. 2003, 88, 1–20. [Google Scholar] [CrossRef]
- Hamberg, I.; Granqvist, C.G. Evaporated sn-doped in2o3 films: Basic optical properties and applications to energy-efficient windows. J. Appl. Phys. 1986, 60, R123–R160. [Google Scholar] [CrossRef]
- Shao, Y.; Xiao, X.; Wang, L.; Liu, Y.; Zhang, S. Anodized ito thin-film transistors. Adv. Funct. Mater. 2014, 24, 4170–4175. [Google Scholar] [CrossRef]
- Ono, S.; Miwa, K.; Seki, S.; Takeya, J. A comparative study of organic single-crystal transistors gated with various ionic-liquid electrolytes. Appl. Phys. Lett. 2009, 94, 63301. [Google Scholar] [CrossRef]
- Liu, N.; Chen, R.; Wan, Q. Recent Advances in Electric-Double-Layer Transistors for Bio-Chemical Sensing Applications. Sensors 2019, 19, 3425. [Google Scholar] [CrossRef] [PubMed]
- Han, S.; Yamamoto, S.; Polyravas, A.G.; Malliaras, G.G. Microfabricated Ion-Selective Transistors with Fast and Super-Nernstian Response. Adv. Mater. 2020, 32, 2004790. [Google Scholar] [CrossRef]
- Chou, J.C.; Tsai, H.M.; Shiao, C.N.; Lin, J.S. Study and simulation of the drift behaviour of hydrogenated amorphous silicon gate ph-isfet. Sens. Actuators B Chem. 2000, 62, 97–101. [Google Scholar] [CrossRef]
- Lim, H.-R.; Kim, Y.-S.; Kwon, S.; Mahmood, M.; Kwon, Y.-T.; Lee, Y.; Lee, S.M.; Yeo, W.-H. Wireless, Flexible, Ion-Selective Electrode System for Selective and Repeatable Detection of Sodium. Sensors 2020, 20, 3297. [Google Scholar] [CrossRef]
- Lim, H.-R.; Lee, S.; Mahmood, M.; Kwon, S.; Kim, Y.-S.; Lee, Y.; Yeo, W.-H. Development of Flexible Ion-Selective Electrodes for Saliva Sodium Detection. Sensors 2021, 21, 1642. [Google Scholar] [CrossRef]
- Kraut, J.A.; Madias, N.E. Metabolic acidosis: Pathophysiology, diagnosis and management. Nat. Rev. Nephrol. 2010, 6, 274–285. [Google Scholar] [CrossRef]
- Fried, L.F.; Palevsky, P.M. Hyponatremia and hypernatremia. Med. Clin. North Am. 1997, 81, 585–609. [Google Scholar] [CrossRef]
- Zou, J.; Zhang, K.; Cai, W.; Chen, T.; Nathan, A.; Zhang, Q. Optical-reconfigurable carbon nanotube and indium-tin-oxide complementary thin-film transistor logic gates. Nanoscale 2018, 10, 13122–13129. [Google Scholar] [CrossRef]
- Kovesdy, C.P.; Lott, E.H.; Lu, J.L.; Malakauskas, S.M.; Ma, J.Z.; Molnar, M.Z.; Kalantar-Zadeh, K. Hyponatremia, Hypernatremia, and Mortality in Patients With Chronic Kidney Disease With and Without Congestive Heart Failure. Circulation 2012, 125, 677–684. [Google Scholar] [CrossRef]






| Reference Electrode | Detection Ion | Sensitivity | Detection Limit | Sensor Type | Ref. |
|---|---|---|---|---|---|
| F-rGO | Na+ K+ | 62.1 mV/dec 57.6 mV/dec | 10 μM | ISFET | This work |
| Ag/AgCl | K+ | 4.65 uA/uM | 0.04 μM | ISFET | [5] |
| Ag/AgCl | Na+ K+ | 62 mV/dec 55 mV/dec | 5 mM | ISFET | [6] |
| Ag/AgCl | K+ | 37 mV/dec | 10 nM | ISFET | [7] |
| Ag/AgCl | K+ | 67 mV/dec | 10 μM | ISFET | [8] |
| Ag/AgCl | NH4+ K+ Ca2+ | 98 mV/dec 104 mV/dec 42 mV/dec | 10 μM | ISFET | [9] |
| Ag/AgCl | Na+ | 60 mV/dec | 60 μM | ISFET | [10] |
| Ag/AgCl | K+ | 53.34 mV/dec | 0.06 mM | rGO | [11] |
| Ag/AgCl | Na+K+ | 56.4 mV/dec 54.3 mV/dec | 100 μM100 μM | ISE | [12] |
| Ag/AgCl | Na+ | 56.1 mV/dec | 4 μM | ISE | [27] |
| Ag/AgCl | Na+ | 58.9 mV/dec | 42.7 μM | ISE | [28] |
| Urine | ||
|---|---|---|
| Na+ ion (mM) | K+ ion (mM) | Cl− ion (mM) |
| 76 | 56.8 | 49 |
Disclaimer/Publisher’s Note: The statements, opinions and data contained in all publications are solely those of the individual author(s) and contributor(s) and not of MDPI and/or the editor(s). MDPI and/or the editor(s) disclaim responsibility for any injury to people or property resulting from any ideas, methods, instructions or products referred to in the content. |
© 2023 by the authors. Licensee MDPI, Basel, Switzerland. This article is an open access article distributed under the terms and conditions of the Creative Commons Attribution (CC BY) license (https://creativecommons.org/licenses/by/4.0/).
Share and Cite
Kim, D.H.; Cho, H.S.; Kim, J.H.; Jo, D.A.; Oh, H.G.; Jang, B.K.; Song, K.S. The Integration of Reference Electrode for ISFET Ion Sensors Using Fluorothiophenol-Treated rGO. Biosensors 2023, 13, 89. https://doi.org/10.3390/bios13010089
Kim DH, Cho HS, Kim JH, Jo DA, Oh HG, Jang BK, Song KS. The Integration of Reference Electrode for ISFET Ion Sensors Using Fluorothiophenol-Treated rGO. Biosensors. 2023; 13(1):89. https://doi.org/10.3390/bios13010089
Chicago/Turabian StyleKim, Dae Hoon, Hae Shin Cho, Jin Heung Kim, Da Ae Jo, Hong Gi Oh, Byoung Kuk Jang, and Kwang Soup Song. 2023. "The Integration of Reference Electrode for ISFET Ion Sensors Using Fluorothiophenol-Treated rGO" Biosensors 13, no. 1: 89. https://doi.org/10.3390/bios13010089
APA StyleKim, D. H., Cho, H. S., Kim, J. H., Jo, D. A., Oh, H. G., Jang, B. K., & Song, K. S. (2023). The Integration of Reference Electrode for ISFET Ion Sensors Using Fluorothiophenol-Treated rGO. Biosensors, 13(1), 89. https://doi.org/10.3390/bios13010089

