An Interplay between Lossy Mode Resonance and Surface Plasmon Resonance and Their Sensing Applications
Abstract
:1. Introduction
2. The Model
3. Results
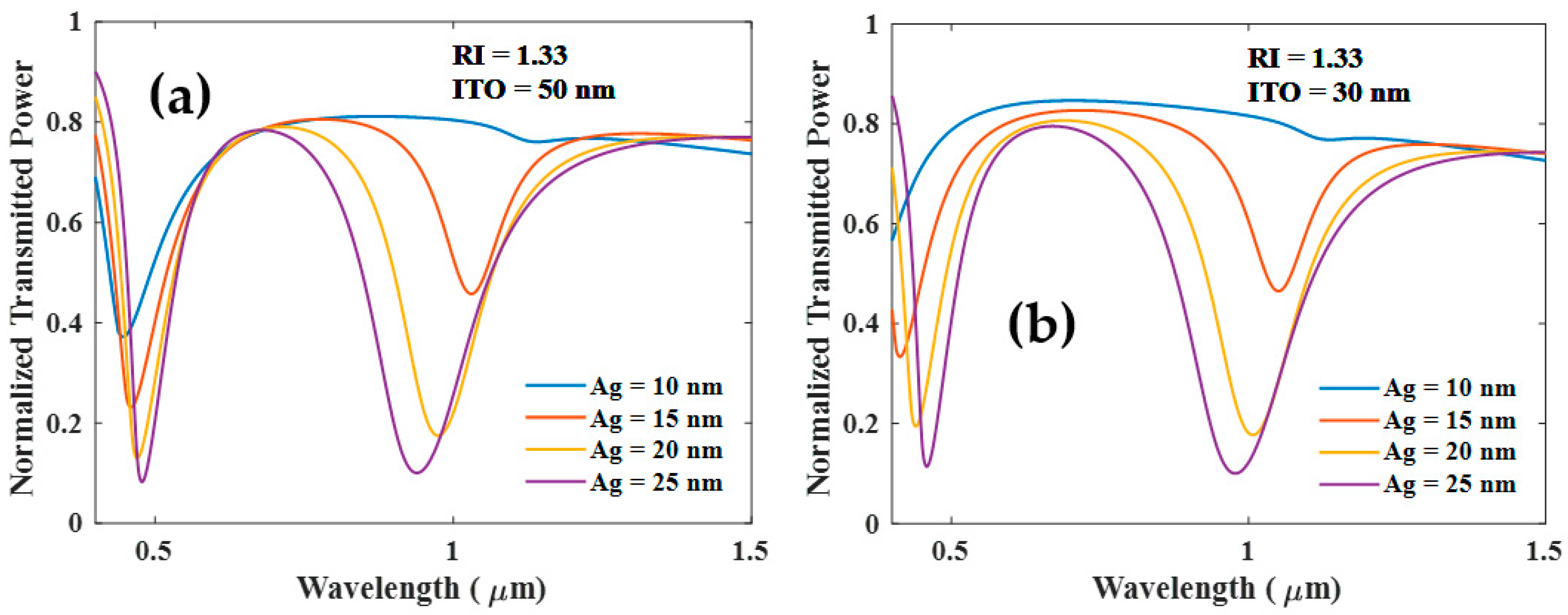
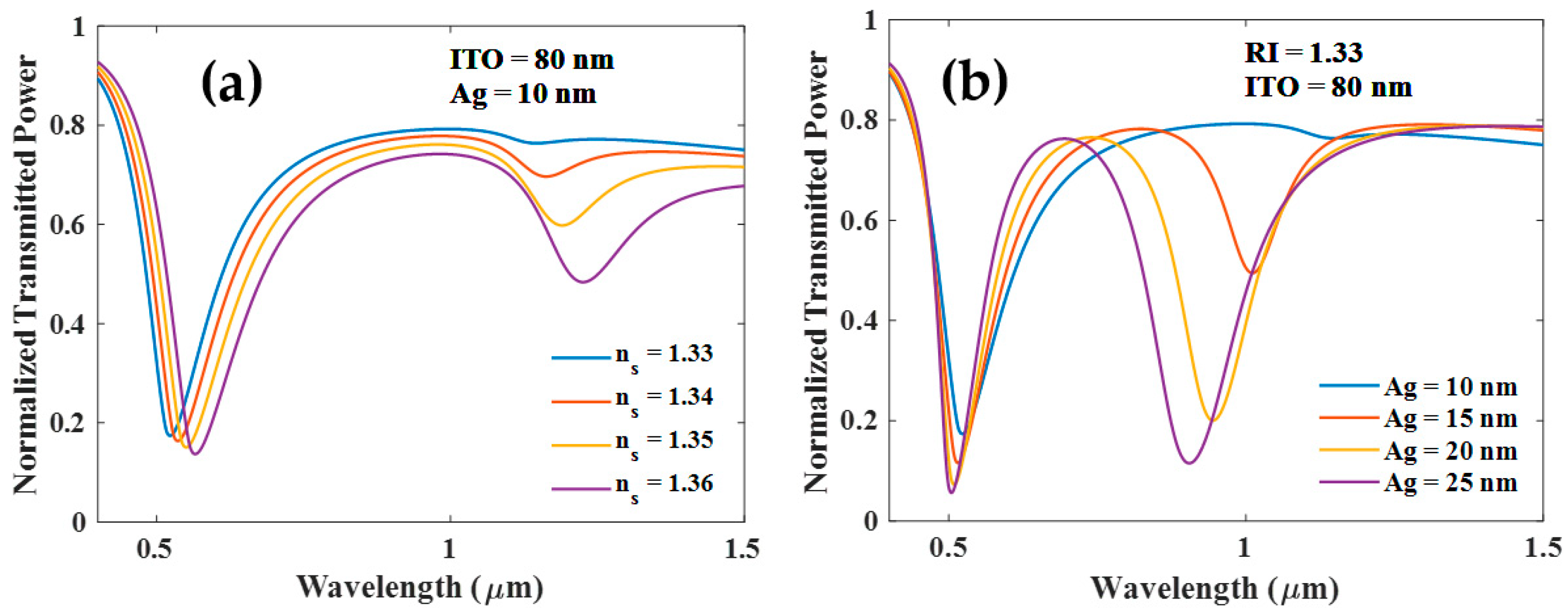
3.1. Bi-Layer Configuration (ITO + Ag)
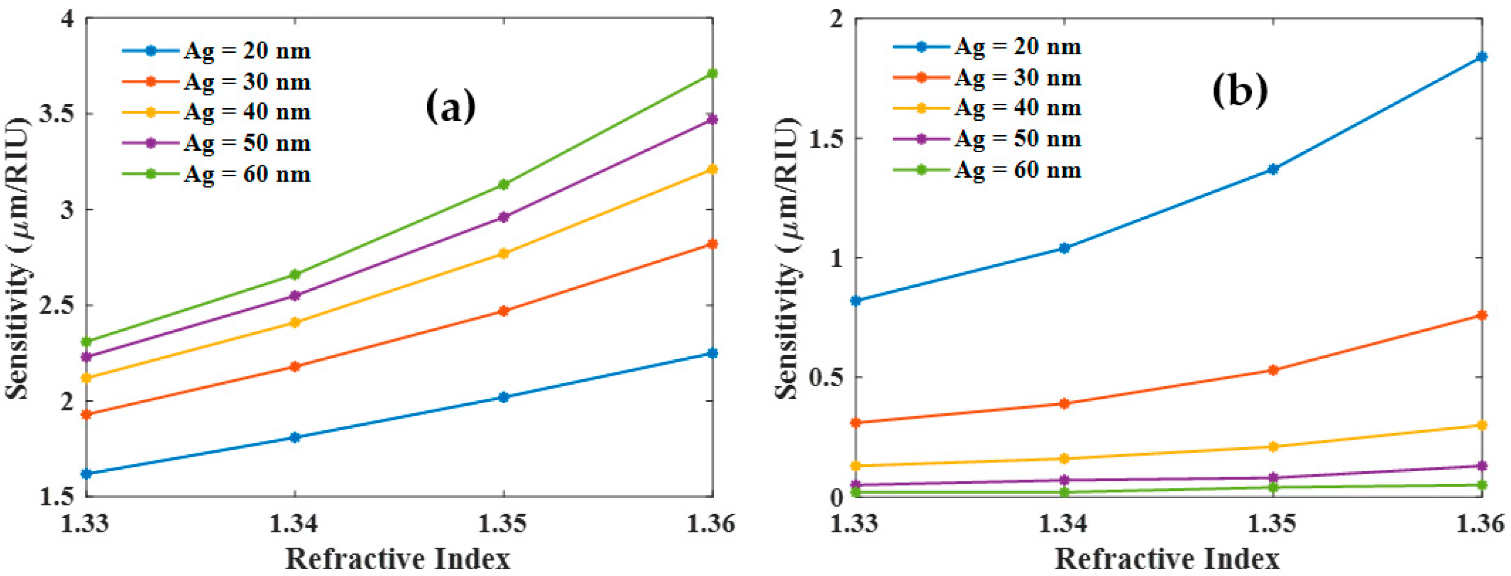
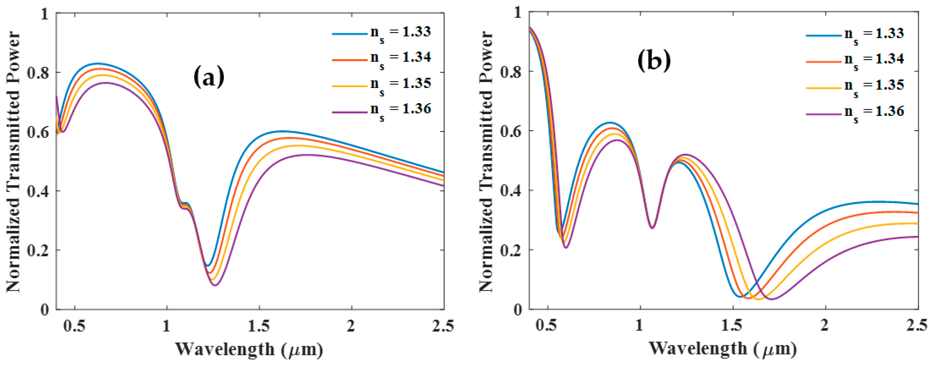
3.2. Tri-Layer Configuration
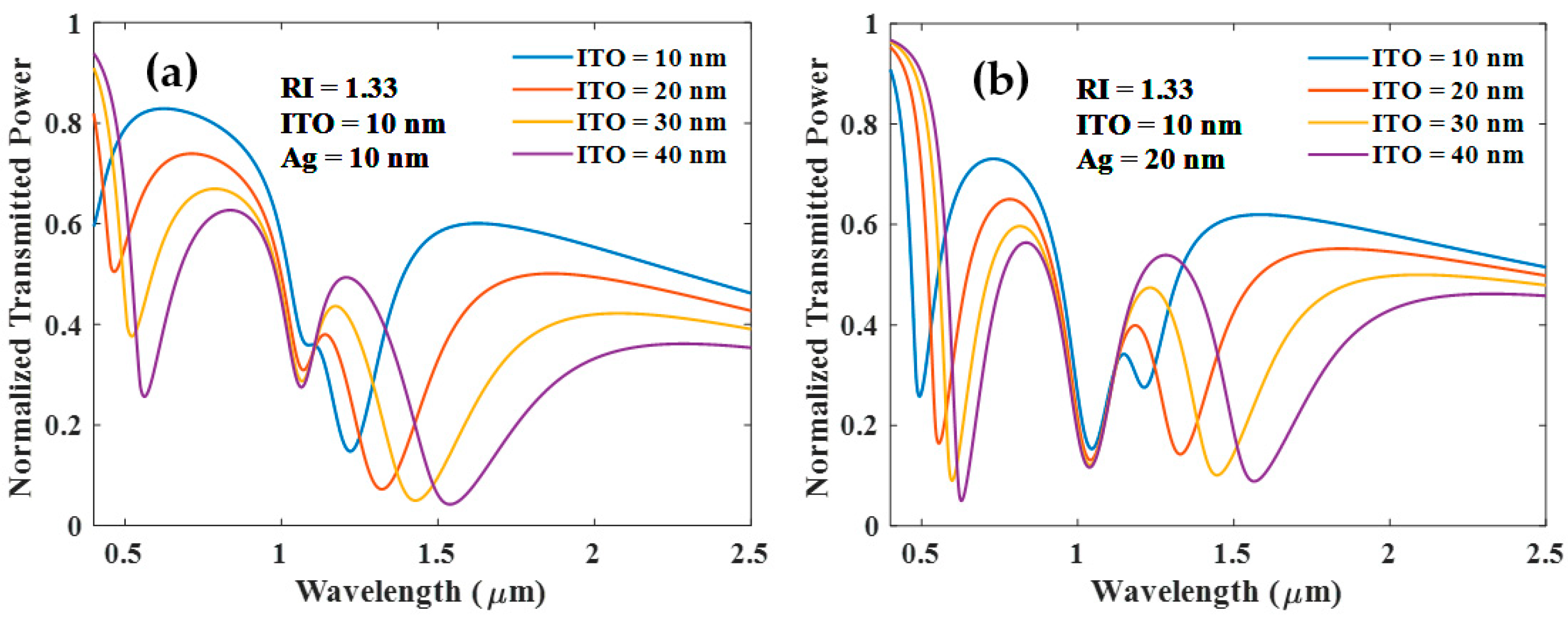
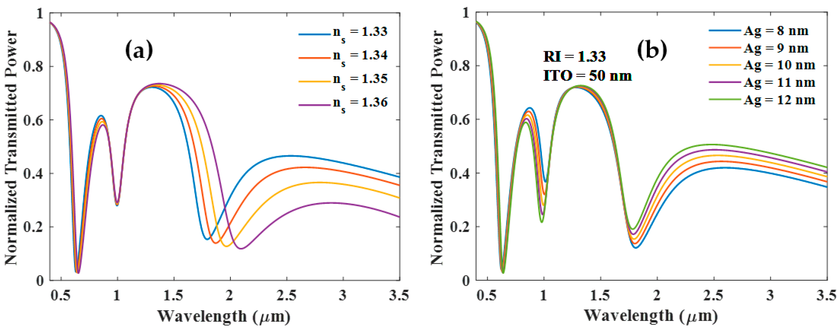
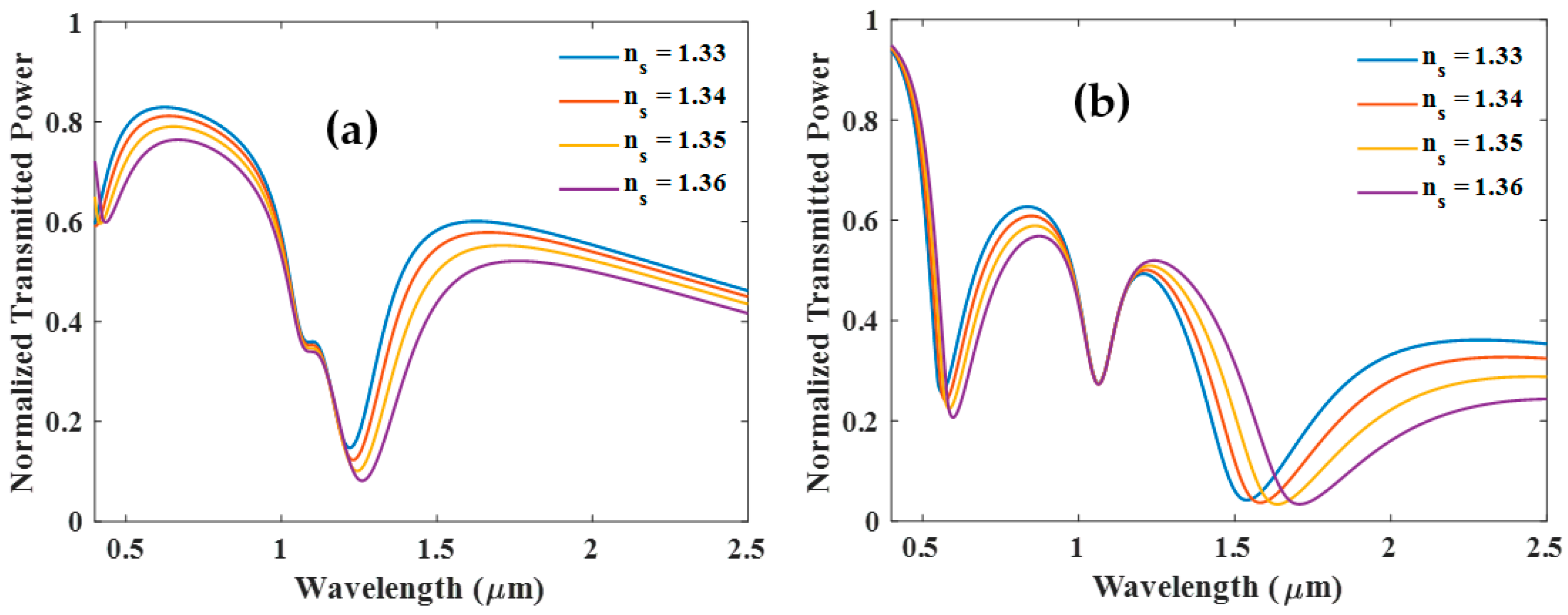
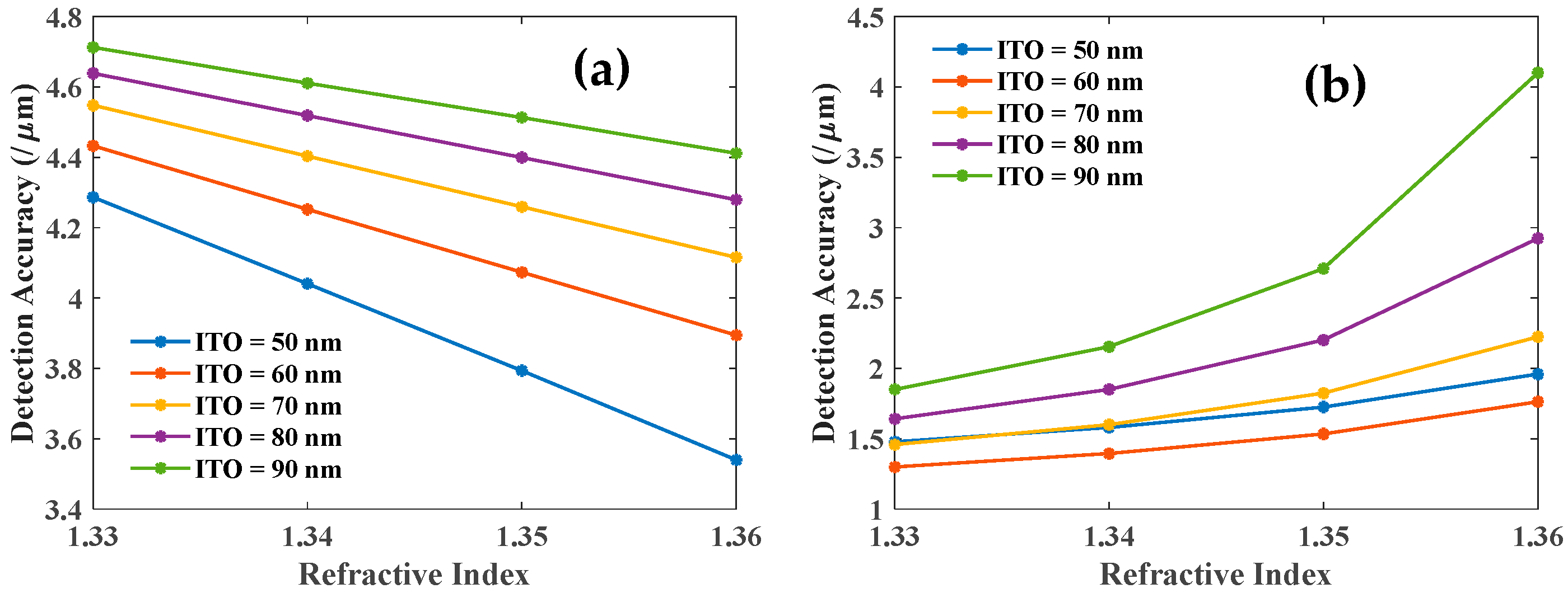
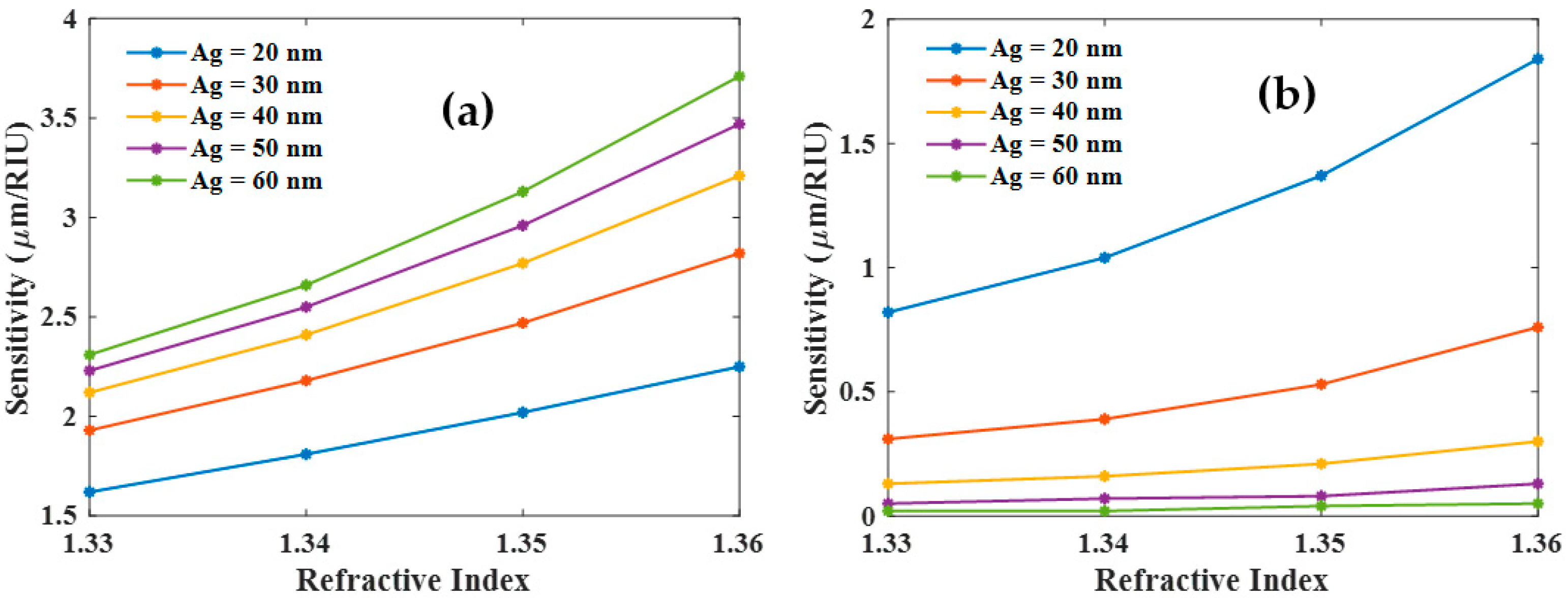
3.2.1. ITO (10 nm) + Ag (10 nm) + ITO (X nm)
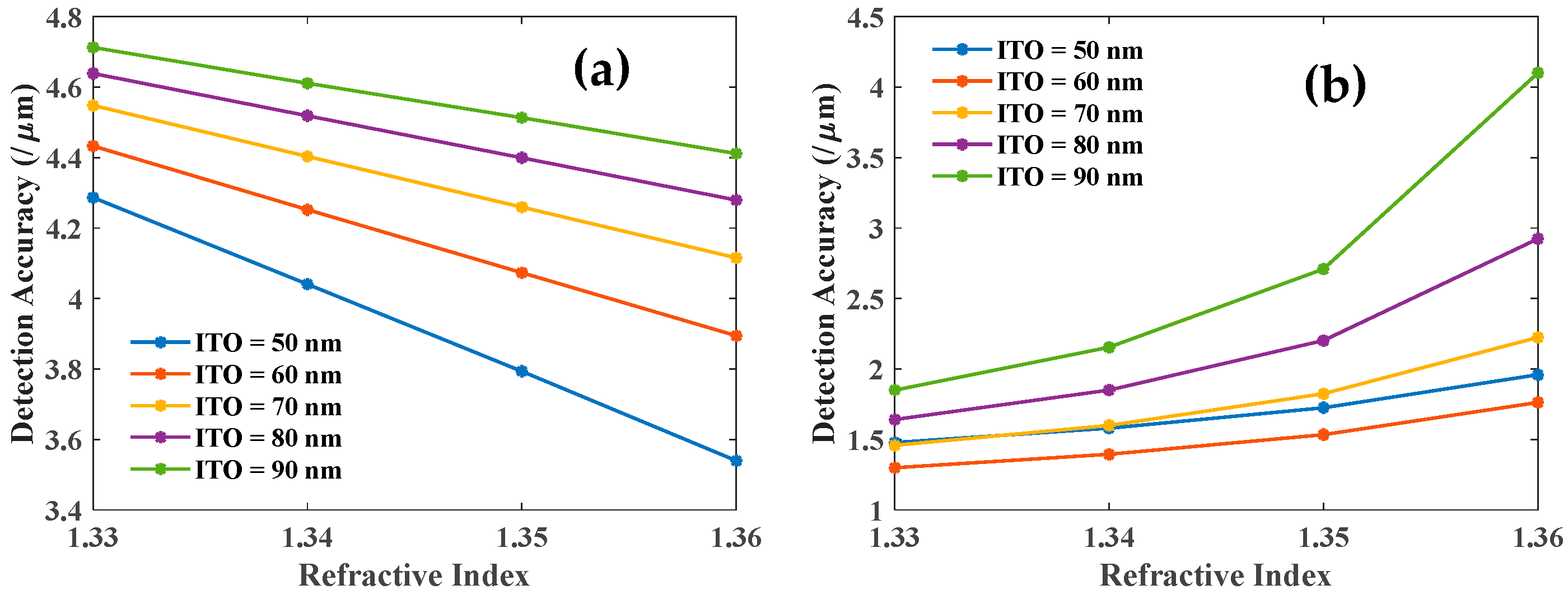
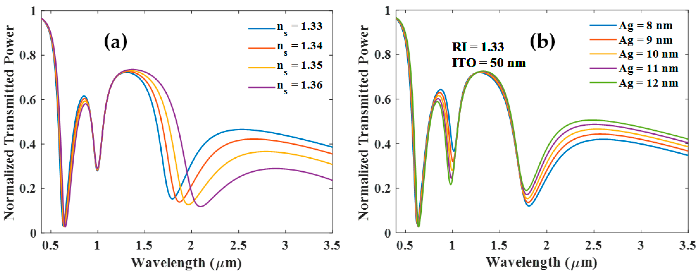
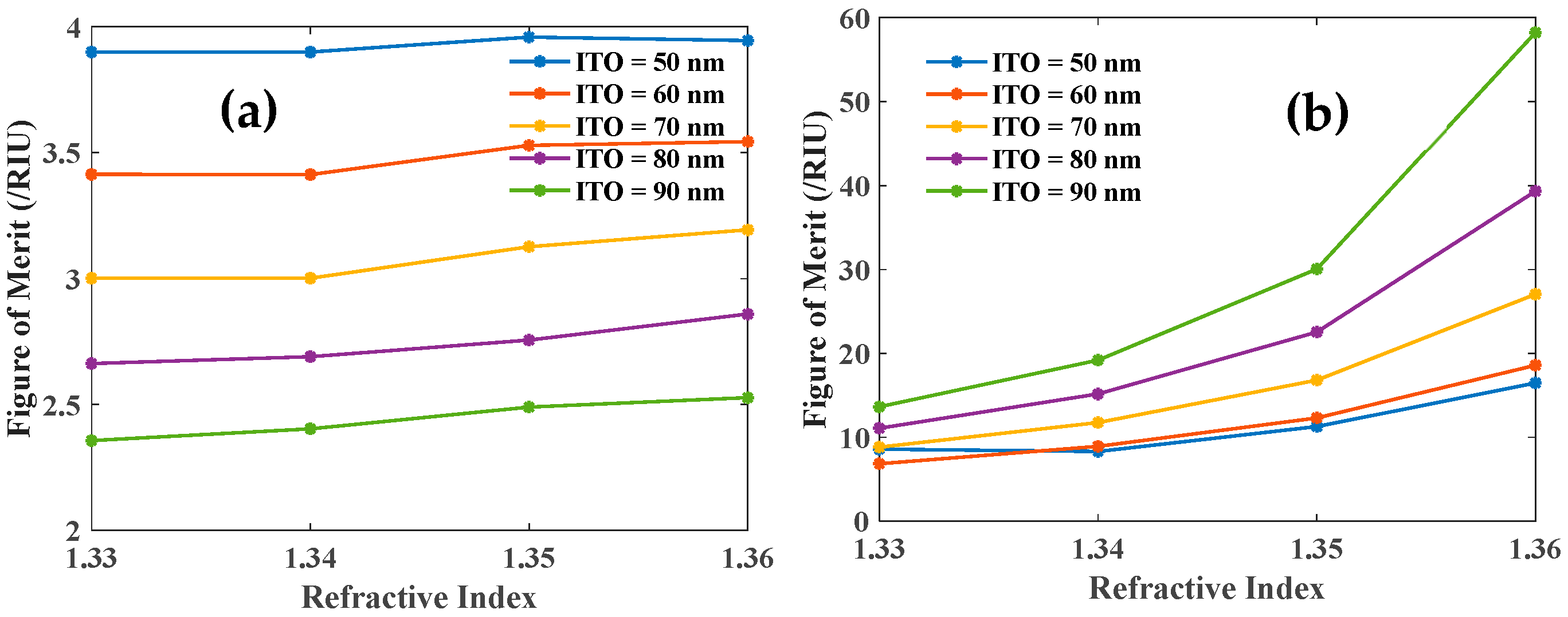
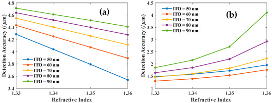
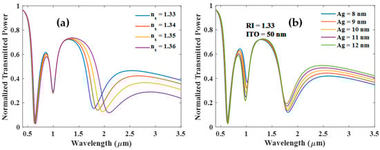
3.2.2. (ITO (50) + Ag (X) + (ITO (50))
4. Discussion and Conclusions
Author Contributions
Funding
Informed Consent Statement
Data Availability Statement
Conflicts of Interest
References
- Homola, J.; Yee, S.S.; Gauglitzb, G. Surface plasmon resonance sensors: Review. Sens. Actuators B Chem. 1999, 54, 3–8. [Google Scholar] [CrossRef]
- Verma, R.K.; Gupta, B.D. Surface plasmon resonance based fiber optic sensor for the IR region using a conducting metal oxide film. JOSA A 2010, 27, 846–851. [Google Scholar] [CrossRef] [PubMed]
- Raether, H. Surface Plasmons on Smooth and Rough Surfaces and on Gratings; Springer: Berlin/Heidelberg, Germany, 1988. [Google Scholar]
- Maier, S.A. Plasmonics: Fundamentals and Applications; Springer: Berlin/Heidelberg, Germany, 2007. [Google Scholar]
- Mishra, A.K.; Mishra, S.K.; Verma, R.K. Graphene and beyond graphene MoS2: A new window in surface plasmon resonance based fiber optic sensing. J. Phys. Chem. C 2016, 120, 2893–2900. [Google Scholar] [CrossRef]
- Sun, S.; Zhang, T.; Liu, Q.; Ma, L.; Du, Q.; Duan, H. Enhanced directional fluorescence emission of randomly oriented emitter via a metal-dielectric hybrid antenna. J. Phys. Chem. C 2019, 123, 21150–21160. [Google Scholar] [CrossRef]
- Puiu, M.; Bala, C. SPR and SPR Imaging: Recent Trends in Developing Nanodevices for Detection and Real-Time Monitoring of Biomolecular Events. Sensors 2016, 16, 870. [Google Scholar] [CrossRef]
- Mishra, S.K.; Malviya, K.D.; Mishra, A.K. Highly sensitive bimetallic plasmonic sensing probe for aqueous samples. Opt. Quantum Electron. 2020, 52, 284. [Google Scholar] [CrossRef]
- Mishra, S.K.; Verma, R.K.; Mishra, A.K. Versatile sensing structure: GaP/Au/Graphene/Silicon. Photonics 2021, 8, 547. [Google Scholar] [CrossRef]
- Shalabney, A.; Abdulhalim, I. Electromagnatic fields distribution in multilayer thin film structures and the origin of sensitivity enhancement in surface plasmon resonance sensors. Sens. Actuators A Phys. 2010, 159, 24–32. [Google Scholar] [CrossRef]
- Shukla, S.; Sharma, N.K.; Sajal, V. Sensitivity enhancement of a surface plasmon resonance based fiber optic sensor using ZnO Thin film: A theoretical study. Sens. Actuators B Chem. 2015, 206, 463–470. [Google Scholar] [CrossRef]
- Hansen, W.N. Electric fields produced by the propagation of plane coherent electromagnetic radiation in stratified medium. JOSA 1968, 58, 380–390. [Google Scholar] [CrossRef]
- Mishra, A.K.; Mishra, S.K.; Gupta, B.D. SPR based fiber optic sensor for refractive index sensing with enhanced detection accuracy and figure of merit in visible region. Opt. Comm. 2015, 344, 86–91. [Google Scholar] [CrossRef]
- Villar, I.D.; Zamarreño, C.R.; Hernaez, M.; Arregu, F.J. Lossy Mode Resonance Generation with Indium-Tin-Oxide-Coated Optical Fibers for Sensing Applications. J. Lightwave Technol. 2010, 28, 111–117. [Google Scholar] [CrossRef]
- Paliwal, N.; Joseph, J. Lossy Mode Resonance (LMR) Based Fiber Optic Sensors: A Review. J. Lightwave Technol. 2015, 15, 5361–5371. [Google Scholar] [CrossRef]
- Franzen, S.; Rhodes, C.; Cerruti, M.; Gerber, R.W.; Losego, M.; Maria, J.; Aspnes, D.E. Plasmonic phenomena in indium tin oxide and ITO–Au hybrid films. Opt. Lett. 2009, 34, 2867–2869. [Google Scholar] [CrossRef]
- Arregui, F.J.; Villar, I.D.; Zamarreno, C.R.; Zubiatea, P.; Matias, I.R. Giant sensitivity of optical fiber sensors by means of lossy mode resonance. Sens. Actuators B 2016, 232, 660–665. [Google Scholar] [CrossRef]
- Villar, I.D.; Torres, V.; Beruete, M. Experimental demonstration of lossy mode and surface plasmon resonance generation with Kretschmann configuration. Opt. Lett. 2015, 40, 4739–4742. [Google Scholar] [CrossRef]
- Zubiate, P.; Zamarreño, C.R.; Villar, I.D.; Matias, I.R.; Arregui, F.J. High sensitive refractometers based on lossy mode resonances (LMRs) supported by ITO coated D-shaped optical fibers. Opt. Express 2015, 23, 8045–8050. [Google Scholar] [CrossRef] [PubMed]
- Caucheteur, C.; Loyez, M.; Gonzalez-vila, A.; Wattiez, R. Evaluation of gold layer configuration for plasmonic fiber grating biosensors. Opt. Express 2018, 26, 24154–24163. [Google Scholar] [CrossRef] [PubMed]
- Wen, H.; Huang, C.H.; Li, Y.; Chen, J.; Yeh, Y.; Chiang, C.H. A lamping U-shaped fiber biosensor detector for microRNA. Sensors 2020, 20, 1509. [Google Scholar] [CrossRef]
- Fuentes, O.; Villar, I.D.; Dominguez, I.; Corres, J.M.; Matias, I.R. Simultaneous generation of surface plasmon and lossy mode resonances in the same planar platform. Sensors 2022, 22, 1505. [Google Scholar] [CrossRef]
- Rhodes, C.; Franzen, S. Surface plasmon resonance in conducting oxides. J. App. Phys. 2006, 100, 054905. [Google Scholar] [CrossRef]
- Villar, I.D.; Hernaez, M.; Zamarreño, C.R.; Sánchez, P.; Fernández-Valdivielso, C.; Arregui, F.J.; Matias, I.R. Design rules for lossy mode resonance based sensors. Appl. Opt. 2012, 51, 4298–4307. [Google Scholar] [CrossRef] [PubMed]
- Mishra, S.K.; Mishra, A.K. ITO/Polymer matrix assisted surface plasmon resonance based fiber optic sensor. Results Opt. 2021, 5, 100173. [Google Scholar] [CrossRef]
- Azad, S.; Khosravi, M.; Nikzad, A.; Mishra, S.K. A novel contemporary molecular imprinting technique for non-enzymatic selective glucose detection. Opt. Laser Technol. 2022, 148, 107786. [Google Scholar] [CrossRef]
- Mishra, S.K.; Singh, S.; Gupta, B.D. Surface plasmon resonance based fiber optic hydrogen sulphide gas sensor utilizing nickel oxide doped ITO thin film. Sens. Actuators B: Chem. 2014, 195, 215–222. [Google Scholar] [CrossRef]
- Mishra, S.K.; Gupta, B.D. Surface plasmon resonance based fiber optic sensor for the detection of CrO42− using Ag/ITO/hydrogel layers. Anal. Methods 2014, 6, 5191–5197. [Google Scholar] [CrossRef]
- Mishra, S.K.; Chiang, K.S. Phenolic-compounds sensor based on immobilization of tyrosinase in polyacrylamide gel on long-period fiber grating. Opt. Laser Technol. 2020, 131, 106464. [Google Scholar] [CrossRef]
- Mishra, S.K.; Usha, S.P.; Gupta, B.D. A lossy mode resonance-based fiber optic hydrogen gas sensor for room temperature using coatings of ITO thin film and nanoparticles. Meas. Sci. Technol. 2016, 27, 045103. [Google Scholar] [CrossRef]

















| Configuration | Wavelength of Operation | Refractive Index Range | Sensitivity | DA | Figure of Merit |
|---|---|---|---|---|---|
| ITO(10)/Ag(X) | 0.4–0.8 (LMR) | 1.33–1.36 | |||
| 0.8–1.5 (SPR) | 1.33–1.36 | ||||
| ITO(10)/Ag(10)/ ITO(X) | 0.4–0.8 (LMR) | 1.33–1.36 | |||
| 1.2–2.5 (SPR) | 1.33–1.36 | ||||
| ITO(50)/Ag(X)/ ITO(50) | 0.4–0.7 (LMR) | 1.33–1.36 | |||
| 1.2–3 (SPR) | 1.33–1.36 |
Publisher’s Note: MDPI stays neutral with regard to jurisdictional claims in published maps and institutional affiliations. |
© 2022 by the authors. Licensee MDPI, Basel, Switzerland. This article is an open access article distributed under the terms and conditions of the Creative Commons Attribution (CC BY) license (https://creativecommons.org/licenses/by/4.0/).
Share and Cite
Gaur, D.S.; Purohit, A.; Mishra, S.K.; Mishra, A.K. An Interplay between Lossy Mode Resonance and Surface Plasmon Resonance and Their Sensing Applications. Biosensors 2022, 12, 721. https://doi.org/10.3390/bios12090721
Gaur DS, Purohit A, Mishra SK, Mishra AK. An Interplay between Lossy Mode Resonance and Surface Plasmon Resonance and Their Sensing Applications. Biosensors. 2022; 12(9):721. https://doi.org/10.3390/bios12090721
Chicago/Turabian StyleGaur, Deependra Singh, Ankit Purohit, Satyendra Kumar Mishra, and Akhilesh Kumar Mishra. 2022. "An Interplay between Lossy Mode Resonance and Surface Plasmon Resonance and Their Sensing Applications" Biosensors 12, no. 9: 721. https://doi.org/10.3390/bios12090721
APA StyleGaur, D. S., Purohit, A., Mishra, S. K., & Mishra, A. K. (2022). An Interplay between Lossy Mode Resonance and Surface Plasmon Resonance and Their Sensing Applications. Biosensors, 12(9), 721. https://doi.org/10.3390/bios12090721

