A Dual Electrode Biosensor for Glucose and Lactate Measurement in Normal and Prolonged Obese Mice Using Single Drop of Whole Blood
Abstract
:1. Introduction
2. Materials and Methods
2.1. Enzyme Deposition on Electrodes
2.2. Stability
2.3. Selectivity
2.4. Sensitivity
2.5. Obesity Mice Model
2.6. Glucose and Lactate Measurements Using Mouse Whole Blood
3. Results and Discussion
3.1. Stability
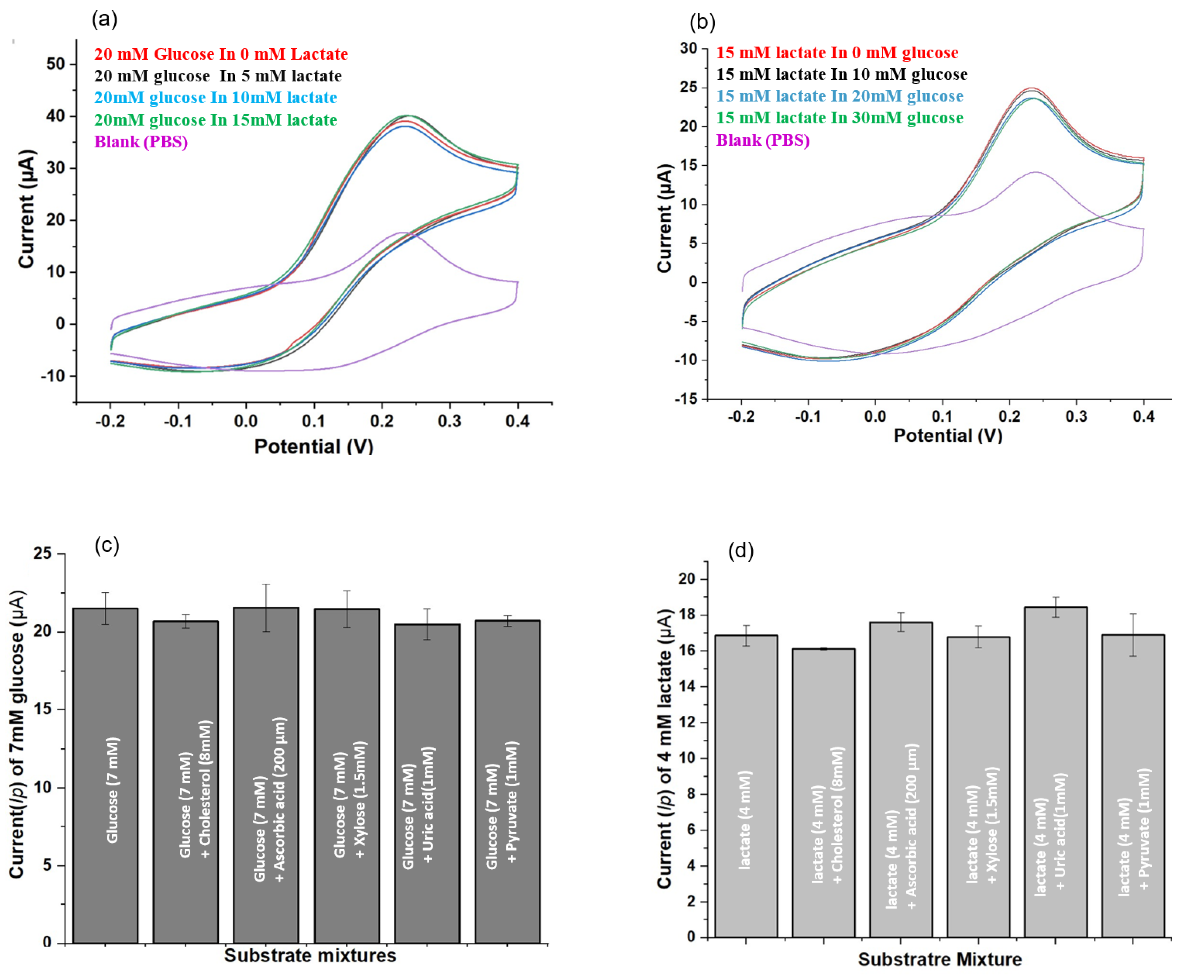
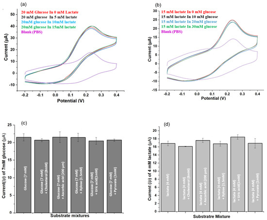
3.2. Selectivity
3.3. Sensitivity
| Company/Reference | Range of Measurement (mM) | Sensitivity (µA mm−2 mM) |
|---|---|---|
| Glucose meter (Freestyle lite) | 1.1–33.3 | - |
| Glucose meter (Aga matrix) | 1.1–33.3 | - |
| Glucose meter (Nova) | 1.1–33.3 | - |
| Glucose meter (Accu-check) | 1.1–33.3 | - |
| [23] | 0–12 | 0.16 |
| [24] | 0.025–17 | 0.251 |
| [25] | 0.1–5 | 0.77 |
| [26] | 0.1–10 | 0.75 |
| Proposed DWE | 0.5–35 | 1.22 |
| Company/Reference | Range of Measurement (mM) | Sensitivity (µA mm−2 mM) |
|---|---|---|
| EKF diagnostics (Lactate scout 4) | 0.5–25 | - |
| Arkray (Lactate pro-2), 2020 | 0.5–25 | - |
| Arkray (Lactate pro), 2012 | 0.8–23.3 | - |
| Nova biomedicals (Lactate plus), 2020 | 0.3–25 | - |
| [27] | 1–100 | - |
| [28] | 0–1.6 | 0.16 |
| [29] | 0.2–5 | - |
| [30] | 0.2–2 | 0.537 |
| [31] | 0.5–10 | - |
| [32] | 0.1–5 | 0.1 |
| [33] | 1–1.2 | 0.08 |
| Proposed DWE | 0.5–25 | 0.65 |
3.4. Efficiency with Whole Blood
3.4.1. Animal Management
3.4.2. Blood Glucose and Lactate
4. Conclusions
Supplementary Materials
Author Contributions
Funding
Institutional Review Board Statement
Informed Consent Statement
Data Availability Statement
Conflicts of Interest
References
- Bachmann, K.N.; Wang, T.J. Biomarkers of cardiovascular disease: Contributions to risk prediction in individuals with diabetes. Diabetologia 2018, 61, 987–995. [Google Scholar] [CrossRef] [Green Version]
- Landete, J.M. A review of food-grade vectors in lactic acid bacteria: From the laboratory to their application. Crit. Rev. Biotechnol. 2017, 37, 296–308. [Google Scholar] [CrossRef]
- Olczuk, D.; Priefer, R. A history of continuous glucose monitors (CGMs) in self-monitoring of diabetes mellitus. Diabetes Metab. Syndr. Clin. Res. Rev. 2018, 12, 181–187. [Google Scholar] [CrossRef]
- Rathee, K.; Dhull, V.; Dhull, R.; Singh, S. Biosensors based on electrochemical lactate detection: A comprehensive review. Biochem. Biophys. Rep. 2016, 5, 35–54. [Google Scholar] [CrossRef] [PubMed] [Green Version]
- Brooks, G.A. The Science and Translation of Lactate Shuttle Theory. Cell Metab. 2018, 27, 757–785. [Google Scholar] [CrossRef] [PubMed] [Green Version]
- Mulukutla, B.C.; Yongky, A.; Le, T.; Mashek, D.; Hu, W.-S. Regulation of Glucose Metabolism—A Perspective From Cell Bioprocessing. Trends Biotechnol. 2016, 34, 638–651. [Google Scholar] [CrossRef] [PubMed]
- Qasim, A.; Turcotte, M.; De Souza, R.J.; Samaan, M.C.; Champredon, D.; Dushoff, J.; Speakman, J.R.; Meyre, D. On the origin of obesity: Identifying the biological, environmental and cultural drivers of genetic risk among human populations. Obes. Rev. 2018, 19, 121–149. [Google Scholar] [CrossRef]
- Moioli, A.; Maresca, B.; Manzione, A.; Napoletano, A.; Coclite, D.; Pirozzi, N.; Punzo, G.; Menè, P. Metformin associated lactic acidosis (MALA): Clinical profiling and management. J. Nephrol. 2016, 29, 783–789. [Google Scholar] [CrossRef]
- Ciobanu, M.; Taylor, D.E.; Wilburn, J.P.; Cliffel, D.E. Glucose and Lactate Biosensors for Scanning Electrochemical Microscopy Imaging of Single Live Cells. Anal. Chem. 2008, 80, 2717–2727. [Google Scholar] [CrossRef] [Green Version]
- Kanso, H.; García, M.B.G.; Ma, S.; Ludwig, R.; Fanjul-Bolado, P.; Santos, D.H. Dual Biosensor for Simultaneous Monitoring of Lactate and Glucose Based on Thin-layer Flow Cell Screen-printed Electrode. Electroanalysis 2017, 29, 87–92. [Google Scholar] [CrossRef]
- Guerif, F.; McKeegan, P.; Leese, H.J.; Sturmey, R.G. A Simple Approach for COnsumption and RElease (CORE) Analysis of Metabolic Activity in Single Mammalian Embryos. PLoS ONE 2013, 8, e67834. [Google Scholar] [CrossRef]
- Crawford, S.O.; Hoogeveen, R.; Brancati, F.L.; Astor, B.C.; Ballantyne, C.M.; Schmidt, M.I.; Young, J.H. Association of blood lactate with type 2 diabetes: The Atherosclerosis Risk in Communities Carotid MRI Study. Int. J. Epidemiol. 2010, 39, 1647–1655. [Google Scholar] [CrossRef] [Green Version]
- Wu, Y.; Dong, Y.; Atefi, M.; Liu, Y.; Elshimali, Y.; Vadgama, J.V. Lactate, a Neglected Factor for Diabetes and Cancer Interaction. Mediat. Inflamm. 2016, 2016, 6456018. [Google Scholar] [CrossRef] [Green Version]
- Kim, S.-H.; Yang, S.-O.; Kim, H.-S.; Kim, Y.; Park, T.; Choi, H.-K. 1H-nuclear magnetic resonance spectroscopy-based metabolic assessment in a rat model of obesity induced by a high-fat diet. Anal. Bioanal. Chem. 2009, 395, 1117–1124. [Google Scholar] [CrossRef]
- Duggan, G.E.; Hittel, D.S.; Hughey, C.C.; Weljie, A.; Vogel, H.J.; Shearer, J. Differentiating short- and long-term effects of diet in the obese mouse using 1H-nuclear magnetic resonance metabolomics. Diabetes Obes. Metab. 2011, 13, 859–862. [Google Scholar] [CrossRef]
- Serkova, N.J.; Jackman, M.; Brown, J.L.; Liu, T.; Hirose, R.; Roberts, J.P.; Maher, J.J.; Niemann, C.U. Metabolic profiling of livers and blood from obese Zucker rats. J. Hepatol. 2006, 44, 956–962. [Google Scholar] [CrossRef]
- Waldram, A.; Holmes, E.; Wang, Y.; Rantalainen, M.; Wilson, I.D.; Tuohy, K.; McCartney, A.L.; Gibson, G.R.; Nicholson, J.K. Top-Down Systems Biology Modeling of Host Metabotype−Microbiome Associations in Obese Rodents. J. Proteome Res. 2009, 8, 2361–2375. [Google Scholar] [CrossRef] [PubMed]
- Rull, A.; Sage, F.C.; Hagedon, M.; Hamilton, L.; Patrone, J.; Gerasopoulos, K. Metabolic phenotyping of genetically modified mice: An. NMR metabonomic approach. Biochimie 2009, 91, 1053–1057. [Google Scholar] [CrossRef] [PubMed]
- Currano, L.J.; Sage, F.C.; Hagedon, M.; Hamilton, L.; Patrone, J.; Gerasopoulos, K. Wearable Sensor System for Detection of Lactate in Sweat. Sci. Rep. 2018, 8, 15890. [Google Scholar] [CrossRef] [PubMed] [Green Version]
- Sung, R.; Heo, Y. Sandwich ELISA-Based Electrochemical Biosensor for Leptin in Control and Diet-Induced Obesity Mouse Model. Biosensors 2020, 11, 7. [Google Scholar] [CrossRef] [PubMed]
- Chen, L.-D.; Wang, W.-J.; Wang, G.-J. Electrochemical Detection of Electrolytes Using a Solid-State Ion-Selective Electrode of Single-Piece Type Membrane. Biosensors 2021, 11, 109. [Google Scholar] [CrossRef]
- Van der Stam, W.; de Graaf, M.; Gudjonsdottir, S.; Geuchies, J.J.; Dijkema, J.J.; Kirkwood, N.; Evers, W.H.; Longo, A.; Houtepen, A.J. Tuning and Probing the Distribution of Cu+ and Cu2+ Trap States Responsible for Broad-Band Photoluminescence in CuInS2 Nanocrystals. ACS Nano 2018, 12, 11244–11253. [Google Scholar] [CrossRef] [PubMed] [Green Version]
- Cai, Y.; Liang, B.; Chen, S.; Zhu, Q.; Tu, T.; Wu, K.; Cao, Q.; Fang, L.; Liang, X.; Ye, X. One-step modification of nano-polyaniline/glucose oxidase on double-side printed flexible electrode for continuous glucose monitoring: Characterization, cytotoxicity evaluation and in vivo experiment. Biosens. Bioelectron. 2020, 165, 112408. [Google Scholar] [CrossRef] [PubMed]
- Song, Y.; Shen, Y.; Gong, C.; Chen, J.; Xu, M.; Wang, L.; Wang, L. A Novel Glucose Biosensor Based on Tb@Mesoporous Metal-Organic Frameworks/Carbon Nanotube Nanocomposites. ChemElectroChem 2017, 4, 1457–1462. [Google Scholar] [CrossRef]
- Wang, B.; Shen, J.; Huang, Y.; Liu, Z.; Zhuang, H. Graphene Quantum Dots and Enzyme-Coupled Biosensor for Highly Sensitive Determination of Hydrogen Peroxide and Glucose. Int. J. Mol. Sci. 2018, 19, 1696. [Google Scholar] [CrossRef] [PubMed] [Green Version]
- Guler, M.; Turkoglu, V.; Kivanc, M.R. A Novel Enzymatic Glucose Biosensor and Nonenzymatic Hydrogen Peroxide Sensor Based on (3-Aminopropyl) Triethoxysilane Functionalized Reduced Graphene Oxide. Electroanalysis 2017, 29, 2507–2515. [Google Scholar] [CrossRef]
- Bhide, A.; Lin, K.C.; Muthukumar, S.; Prasad, S. On-demand lactate monitoring towards assessing physiological responses in sedentary populations. Analyst 2021, 146, 3482–3492. [Google Scholar] [CrossRef]
- Rajarathinam, T.; Kim, S.; Thirumalai, D.; Lee, S.; Kwon, M.; Paik, H.J.; Kim, S.; Chang, S.C. Robust Nanozyme-Enzyme Nanosheets-Based Lactate Biosensor for Diagnosing Bacterial Infection in Olive Flounder (Paralichthys olivaceus). Biosensors 2021, 11, 439. [Google Scholar] [CrossRef]
- Nien, Y.H.; Kang, Z.X.; Su, T.Y.; Ho, C.S.; Chou, J.C.; Lai, C.H.; Kuo, P.Y.; Lai, T.Y.; Dong, Z.X.; Chen, Y.Y.; et al. Investigation of Flexible Arrayed Lactate Biosensor Based on Copper Doped Zinc Oxide Films Modified by Iron-Platinum Nanoparticles. Polymers 2021, 13, 2062. [Google Scholar] [CrossRef]
- Nesakumar, N.; Sethuraman, S.; Krishnan, U.M.; Rayappan, J.B. Fabrication of lactate biosensor based on lactate dehydrogenase immobilized on cerium oxide nanoparticles. J. Colloid Interface Sci. 2013, 410, 158–164. [Google Scholar] [CrossRef]
- Piano, M.; Serban, S.; Pittson, R.; Drago, G.A.; Hart, J.P. Amperometric lactate biosensor for flow injection analysis based on a screen-printed carbon electrode containing Meldola’s Blue-Reinecke salt, coated with lactate dehydrogenase and NAD+. Talanta 2010, 82, 34–37. [Google Scholar] [CrossRef] [PubMed]
- Rahman, M.M.; Shiddiky, M.J.; Rahman, M.A.; Shim, Y.B. A lactate biosensor based on lactate dehydrogenase/nictotinamide adenine dinucleotide (oxidized form) immobilized on a conducting polymer/multiwall carbon nanotube composite film. Anal. Biochem. 2009, 384, 159–165. [Google Scholar] [CrossRef] [PubMed]
- Prieto-Simón, B.; Fàbregas, E.; Hart, A. Evaluation of different strategies for the development of amperometric biosensors for l-lactate. Biosens. Bioelectron. 2007, 22, 2663–2668. [Google Scholar] [CrossRef] [PubMed]
- Zaryanov, N.V.; Nikitina, V.; Karpova, E.V.; Karyakina, E.E.; Karyakin, A.A. Nonenzymatic Sensor for Lactate Detection in Human Sweat. Anal. Chem. 2017, 89, 11198–11202. [Google Scholar] [CrossRef]
- Lan, T.; Zhang, J.; Lu, Y. Transforming the blood glucose meter into a general healthcare meter for in vitro diagnostics in mobile health. Biotechnol. Adv. 2016, 34, 331–341. [Google Scholar] [CrossRef] [Green Version]
- Muñoz, S.; Franckhauser, S.; Elias, I.; Ferré, T.; Hidalgo, A.; Monteys, A.M.; Molas, M.; Cerdán, S.; Pujol, A.; Ruberte, J.; et al. Chronically increased glucose uptake by adipose tissue leads to lactate production and improved insulin sensitivity rather than obesity in the mouse. Diabetologia 2010, 53, 2417–2430. [Google Scholar] [CrossRef] [Green Version]
- Chang, R.C.-A.; Shi, L.; Huang, C.C.-Y.; Kim, A.J.; Ko, M.L.; Zhou, B.; Ko, G.Y.-P. High-Fat Diet–Induced Retinal Dysfunction. Investig. Opthalmol. Vis. Sci. 2015, 56, 2367–2380. [Google Scholar] [CrossRef] [Green Version]
- Cheng, J.; Morisaki, H.; Toyama, K.; Sugimoto, N.; Shintani, T.; Tandelilin, A.; Hirase, T.; Holmes, E.W.; Morisaki, T. AMPD1: A novel therapeutic target for reversing insulin resistance. BMC Endocr. Disord. 2014, 14, 96. [Google Scholar] [CrossRef] [PubMed] [Green Version]
- Soto, M.; Orliaguet, L.; Reyzer, M.L.; Manier, M.L.; Caprioli, R.M.; Kahn, C.R. Pyruvate induces torpor in obese mice. Proc. Natl. Acad. Sci. USA 2018, 115, 810–815. [Google Scholar] [CrossRef] [Green Version]
- Choi, Y.-S.; Kang, S.; Ko, S.-Y.; Lee, S.; Kim, J.Y.; Lee, H.; Song, J.E.; Kim, D.-H.; Kim, E.; Kim, C.H.; et al. Hyperpolarized [1–13C] pyruvate MR spectroscopy detect altered glycolysis in the brain of a cognitively impaired mouse model fed high-fat diet. Mol. Brain 2018, 11, 74. [Google Scholar] [CrossRef]
- Sun, C.; Li, X.; Liu, L.; Conet, M.J.; Guan, Y.; Fan, Y.; Zhou, Y. Effect of fasting time on measuring mouse blood glucose level. Int. J. Clin. Exp. 2016, 2, 4186–4189. [Google Scholar]
- Haugen, Ø.P.; Vallenari, E.; Belhaj, I.; Småstuen, M.C.; Storm-Mathisen, J.; Bergersen, L.H.; Åmellem, I. Blood lactate dynamics in awake and anaesthetized mice after intraperitoneal and subcutaneous injections of lactate—Sex matters. PeerJ 2020, 8, e8328. [Google Scholar] [CrossRef] [PubMed]
- Iversen, N.K.; Malte, H.; Baatrup, E.; Wang, T. The normal acid–base status of mice. Respir. Physiol. Neurobiol. 2012, 180, 252–257. [Google Scholar] [CrossRef]
- Chen, C.-N.; Liao, Y.-H.; Lin, S.-Y.; Yu, J.-X.; Li, Z.-J.; Lin, Y.-C.; Chang, G.-J.; Lin, C.-H.; Wong, A.M.-K. Diet-induced obesity accelerates blood lactate accumulation of rats in response to incremental exercise to maximum. Am. J. Physiol. Integr. Comp. Physiol. 2017, 313, R601–R607. [Google Scholar] [CrossRef] [PubMed] [Green Version]
- Miao, H.; Chen, L.; Hao, L.; Zhang, X.; Chen, Y.; Ruan, Z.; Liang, H. Stearic acid induces proinflammatory cytokine production partly through activation of lactate-HIF1α pathway in chondrocytes. Sci. Rep. 2015, 5, 13092. [Google Scholar] [CrossRef] [PubMed]
- Placzkowska, S.; Pawlik-Sobecka, L.; Kokot, I.; Piwowar, A. Indirect insulin resistance detection: Current clinical trends and laboratory limitations. Biomed. Pap. 2019, 163, 187–199. [Google Scholar] [CrossRef] [PubMed] [Green Version]
- Milano, S.; Carmosino, M.; Gerbino, A.; Svelto, M.; Procino, G. Hereditary Nephrogenic Diabetes Insipidus: Pathophysiology and Possible Treatment. An Update. Int. J. Mol. Sci. 2017, 18, 2385. [Google Scholar] [CrossRef] [Green Version]
- Abel, E.L. Alcohol-induced changes in blood gases, glucose, and lactate in pregnant and nonpregnant rats. Alcohol 1996, 13, 281–285. [Google Scholar] [CrossRef]
- Colberg, S.R.; Albright, A.L.; Blissmer, B.J.; Braun, B.; Chasan-Taber, L.; Fernhall, B.; Regensteiner, J.G.; Rubin, R.R.; Sigal, R.J.; American College of Sports Medicine; et al. Exercise and type 2 diabetes: The American College of Sports Medicine and the American Diabetes Association: Joint position statement. Diabetes Care 2010, 33, e147–e167. [Google Scholar] [CrossRef] [Green Version]





| HFD Period (Weeks) | Sampling | Glucose Concentrations (mM) | References | ||
|---|---|---|---|---|---|
| Normal Mice | Obese Mice | Increasing Ratios | |||
| 12 | Plasma | 6.1 | 10 | 64% | [34] |
| 8 | plasma | 7.6 | 8.8 | 15% | [35] |
| 12 | Whole blood | 5.7 ± 0.2 | 9.6 ± 0.3 | 70% | [36] |
| 13 | Plasma | 5.9 | 10 | 69% | [37] |
| 24 | Serum | 6.7 | 16.7 | 150% | [38] |
| 28 | Whole blood | 4.3 ± 0.7 | 14.3 ± 1.5 | 228% | Our result |
| HFD Period (Weeks) | Sampling | Lactate Concentrations (mM) | References | ||
|---|---|---|---|---|---|
| Normal Mice | Obese Mice | Increasing Ratios | |||
| NA | Whole blood | 4.5 | NA | NA | [39] |
| NA | NA | 4.6 ± 0.7 | NA | NA | [40] |
| 8 | plasma | 4.8 | 5.58 | 10% | [33] |
| 13 | plasma | 4.5 | 5.01 | 11% | [36] |
| 28 | Whole blood | 4.16 ± 0.82 | 6.7 ± 0.69 | 61% | Our result |
Publisher’s Note: MDPI stays neutral with regard to jurisdictional claims in published maps and institutional affiliations. |
© 2021 by the authors. Licensee MDPI, Basel, Switzerland. This article is an open access article distributed under the terms and conditions of the Creative Commons Attribution (CC BY) license (https://creativecommons.org/licenses/by/4.0/).
Share and Cite
Thapa, M.; Sung, R.; Heo, Y.S. A Dual Electrode Biosensor for Glucose and Lactate Measurement in Normal and Prolonged Obese Mice Using Single Drop of Whole Blood. Biosensors 2021, 11, 507. https://doi.org/10.3390/bios11120507
Thapa M, Sung R, Heo YS. A Dual Electrode Biosensor for Glucose and Lactate Measurement in Normal and Prolonged Obese Mice Using Single Drop of Whole Blood. Biosensors. 2021; 11(12):507. https://doi.org/10.3390/bios11120507
Chicago/Turabian StyleThapa, Mukesh, Ryong Sung, and Yun Seok Heo. 2021. "A Dual Electrode Biosensor for Glucose and Lactate Measurement in Normal and Prolonged Obese Mice Using Single Drop of Whole Blood" Biosensors 11, no. 12: 507. https://doi.org/10.3390/bios11120507
APA StyleThapa, M., Sung, R., & Heo, Y. S. (2021). A Dual Electrode Biosensor for Glucose and Lactate Measurement in Normal and Prolonged Obese Mice Using Single Drop of Whole Blood. Biosensors, 11(12), 507. https://doi.org/10.3390/bios11120507
