Bias-Modulated High Photoelectric Response of Graphene-Nanocrystallite Embedded Carbon Film Coated on n-Silicon
Abstract
1. Introduction
2. Experimental Methods
3. Results and Discussion
3.1. Nanostructure Characterization of GNEC Films
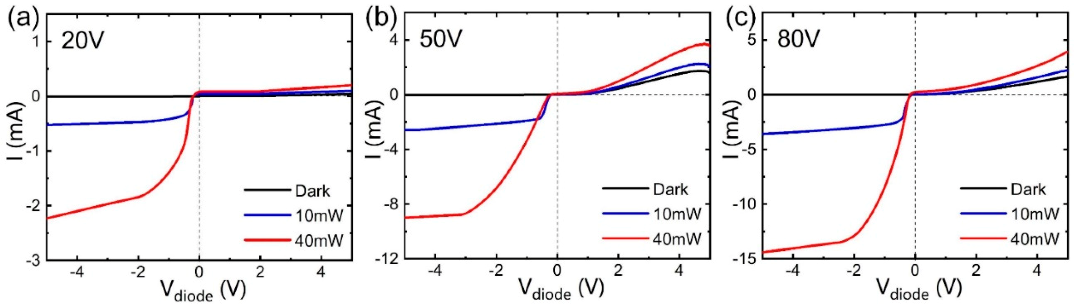
3.2. Device Characterization and Nanostructure-Dependent Photocurrent
3.3. Nanostructure-Dependent Spectral Responsivity
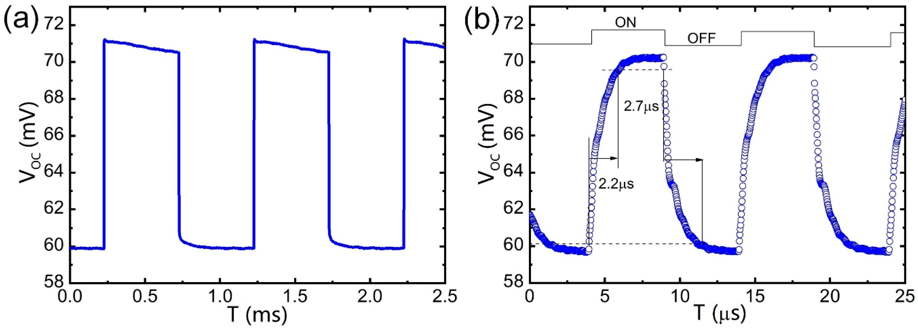
3.4. Response Time
3.5. Discussion of Principle
4. Conclusions
Supplementary Materials
Author Contributions
Funding
Acknowledgments
Conflicts of Interest
References
- Urban, F.; Peters, L.; Martucciello, N.; Mcevoy, N.; Di Bartolomeo, A. Environmental effects on the electrical characteristics of back-gated WSe2 field effect transistors. Nanomaterials 2018, 8, 901. [Google Scholar] [CrossRef] [PubMed]
- Xue, Y.Z.; Yuan, J.; Liu, J.Y.; Li, S.J. Controllable Synthesis of 2D Perovskite on Different Substrates and Its Application as Photodetector. Nanomaterials 2018, 8, 591. [Google Scholar] [CrossRef] [PubMed]
- Li, X.M.; Zhu, M.; Du, M.D.; Lv, Z.; Zhang, L.; Li, Y.C.; Yang, Y.; Yang, T.T.; Li, X.; Wang, K.L.; et al. High Detectivity Graphene-Silicon Heterojunction Photodetector. Small 2016, 12, 595–601. [Google Scholar] [CrossRef] [PubMed]
- Peumans, P.; Yakimov, A.; Forrest, S.R. Small molecular weight organic thin-film photodetectors and solar cells. J. Appl. Phys. 2003, 93, 3693–3723. [Google Scholar] [CrossRef]
- Ferrari, A.C. Graphene Photonics and Optoelectronics. Nature Photon. 2016, 4, 611–622. [Google Scholar]
- Mueller, T.; Xia, F.; Avouris, P. Graphene photodetectors for high-speed optical communications. Nature Photon. 2010, 4, 297–301. [Google Scholar] [CrossRef]
- Zhu, H.; Wei, J.; Wang, K.; Wu, D. Applications of carbon materials in photovoltaic solar cells. Sol. Energy Mater. Sol. Cells. 2009, 93, 1461–1470. [Google Scholar] [CrossRef]
- Xie, C.; Mak, C.; Tao, X.; Yan, F. Photodetectors Based on Two-Dimensional Layered Materials Beyond Graphene. Adv. Funct. Mater. 2016, 27. [Google Scholar] [CrossRef]
- Yu, H.A.; Kaneko, T.; Otani, S.; Sasaki, Y.; Yoshimura, S. Carbonaceous Thin Film Made by CVD and Its Application for a Carbon/n-Type Silicon (C/n-Si) Photovoltaic Cell. Carbon 1998, 36, 137–143. [Google Scholar] [CrossRef]
- Suk, J.W.; Kitt, A.; Magnuson, C.W.; Hao, Y.; Ahmed, S.; An, J.; Swan, A.K.; Goldberg, B.B.; Ruoff, R.S. Transfer of CVD-grown monolayer graphene onto arbitrary substrates. Acs Nano 2011, 5, 6916–6924. [Google Scholar] [CrossRef] [PubMed]
- An, Y.; Behnam, A.; Pop, E.; Ural, A. Metal-semiconductor-metal photodetectors based on graphene/p-type silicon Schottky junctions. Appl. Phys. Lett. 2013, 102, 013110. [Google Scholar] [CrossRef]
- Yim, C.; Mcevoy, N.; Duesberg, G.S. Characterization of graphene-silicon Schottky barrier diodes using impedance spectroscopy. Appl. Phys. Lett. 2013, 103, 193106. [Google Scholar] [CrossRef]
- Ayhan, M.; Kalita, G.; Kondo, M.; Tanemura, M. Photoresponsivity of silver nanoparticles decorated graphene-silicon Schottky junction. Rsc Adv. 2014, 4, 26866–26871. [Google Scholar] [CrossRef]
- Sinha, D.; Lee, J.U. Ideal graphene/silicon Schottky junction diodes. Nano Lett. 2014, 14, 4660. [Google Scholar] [CrossRef] [PubMed]
- Zhu, M.; Li, X.; Guo, Y.; Li, X.; Sun, P.; Zang, X.; Wang, K.; Zhong, M.; Wu, D.; Zhu, H. Vertical junction photodetectors based on reduced graphene oxide/silicon Schottky diodes. Nanoscale 2014, 6, 4909–4914. [Google Scholar] [CrossRef] [PubMed]
- Lu, Y.; Lerner, M.B.; Qi, Z.J.; Mitala, J.J., Jr.; Lim, J.H.; Discher, B.M.; Johnson, A.T.C. Graphene-protein bioelectronic devices with wavelength-dependent photoresponse. Appl. Phys. Lett. 2012, 100, 033110. [Google Scholar] [CrossRef]
- Vijapur, S.H.; Wang, D.; Botte, G.G. The growth of transparent amorphous carbon thin films from coal. Carbon 2013, 54, 22–28. [Google Scholar] [CrossRef]
- Yu, H.A.; Kaneko, Y.; Yoshimura, S.; Otani, S. Photovoltaic cell of carbonaceous film/n-type silicon. Appl. Phys. Lett. 1998, 68, 547–549. [Google Scholar] [CrossRef]
- Krishna, K.M.; Umeno, M.; Nukaya, Y.; Soga, T.; Jimbo, T. Photovoltaic and spectral photoresponse characteristics of n-C/p-C solar cell on a p-silicon substrate. Appl. Phys. Lett. 2000, 77, 1472–1474. [Google Scholar] [CrossRef]
- Xue, Q.; Wang, S.; Li, J.; Zhang, H.; Jiao, Z. Influence of substrate resistivity on photovoltaic characteristics of Pd-doped amorphous carbon film/SiO2/Si heterojunction. Phys. Status Solidi. 2012, 209, 1359–1362. [Google Scholar] [CrossRef]
- Ma, M.; Xue, Q.; Li, J.; Zhen, Y.; Wang, S. Light-induced resistance effect of Pd doped carbon film/SiO2/Si. J. Appl. Phys. 2011, 110, 966. [Google Scholar] [CrossRef]
- Xue, Q.; Ma, M.; Zhen, Y.; Zhou, X.; Wang, S. Large photoconductivity of Pd doped amorphous carbon film/SiO2/Si. Diamond Relat.Mater. 2012, 21, 24–27. [Google Scholar] [CrossRef]
- Wang, C.; Diao, D.; Fan, X.; Chen, C. Graphene sheets embedded carbon film prepared by electron irradiation in electron cyclotron resonance plasma. Appl. Phys. Lett. 2012, 100, 231909. [Google Scholar] [CrossRef]
- Yang, L.; Hu, G.; Zhang, D.; Diao, D. Nanosized graphene sheets enhanced photoelectric behavior of carbon film on p-silicon substrate. Appl. Phys. Lett. 2016, 109, 1461–1470. [Google Scholar] [CrossRef]
- Zhang, X.; Zhao, G.; Zhan, L.; Zhan, F.; Wang, J.; Han, G. The effects of microstructure on optical and thermal properties of porous silica films. Surf. Coat. Technol. 2017, 320, 174–177. [Google Scholar] [CrossRef]
- Wang, C.; Chen, C.; Diao, D. Top surface modification of carbon film on its structure, morphology and electrical resistivity using electron-ion hybrid irradiation in ECR plasma. Surf. Coat. Technol. 2016, 308, 50–56. [Google Scholar] [CrossRef]
- Bogaerts, W.; Wiaux, V.; Taillaert, D.; Beckx, S. Fabrication of photonic crystals in silicon-on-insulator using 248-nm deep UV lithography. IEEE J. Sel. Top. Quantum Electron. 2002, 8, 928–934. [Google Scholar] [CrossRef]
- Yoo, S.J.; Kim, C.Y.; Shin, J.W.; Lee, S.G.; Jeong, J.M.; Kim, Y.J.; Lee, S.H.; Kim, J.G. Characterization of an amorphous carbon film covering a Mo grid during in situ heating TEM study. Mater. Charact. 2013, 78, 31–36. [Google Scholar] [CrossRef]
- And, S.D.; Munichandraiah, N. Effect of Crystallographic Structure of MnO2 on Its Electrochemical Capacitance Properties. J. Phys. Chem. C 2008, 112, 4406–4417. [Google Scholar]
- Quhe, R.; Ma, J.; Zeng, Z.; Tang, K.; Zheng, J.; Wang, Y.; Ni, Z.; Wang, L.; Gao, Z.; Shi, J. Tunable band gap in few-layer graphene by surface adsorption. Sci. Rep. 2013, 3, 1794. [Google Scholar] [CrossRef]
- Ferrari, A.C.; Meyer, J.C.; Scardaci, V.; Casiraghi, C.; Lazzeri, M.; Mauri, F.; Piscanec, S.; Jiang, D.; Novoselov, K.S.; Roth, S. Raman spectrum of graphene and graphene layers. Phys. Rev. Lett. 2006, 97, 187401. [Google Scholar] [CrossRef] [PubMed]
- Huang, S.M.; Sun, Z.; Lu, Y.F.; Hong, M.H. Ultraviolet and visible Raman spectroscopy characterization of diamond–like carbon film growth by pulsed laser deposition. Appl. Phys. A 2002, 74, 519–523. [Google Scholar] [CrossRef]
- Lamberton, R.W.; Morley, S.M.; Maguire, P.D.; McLaughlin, J.A. Monitoring laser-induced microstructural changes of thin film hydrogenated amorphous carbon (a-C: H) using Raman spectroscopy. Thin Solid Films. 1998, 333, 114–125. [Google Scholar] [CrossRef]
- Tamor, M.A.; Haire, J.A.; Wu, C.H.; Hass, K.C. Correlation of the optical gaps and Raman spectra of hydrogenated amorphous carbon films. Appl. Phys. Lett. 1989, 54, 123–125. [Google Scholar] [CrossRef]
- Zhang, X.; Nie, Y.; Zheng, W.; Kuo, J.-l.; Sun, C.Q. Discriminative generation and hydrogen modulation of the Dirac-Fermi polarons at graphene edges and atomic vacancies. Carbon 2011, 49, 3615–3621. [Google Scholar] [CrossRef]
- Liu, X.; Zhang, X.; Bo, M.; Li, L.; Tian, H.; Nie, Y.; Sun, Y.; Xu, S.; Wang, Y.; Zheng, W.; et al. Coordination-Resolved Electron Spectrometrics. Chem. Rev. 2015, 115, 6746–6810. [Google Scholar] [CrossRef] [PubMed]
- Fangze, L.; Swastik, K. Quantum Carrier Reinvestment-induced ultrahigh and broadband photocurrent responses in graphene-silicon junctions. Acs Nano 2014, 8, 10270–10279. [Google Scholar]
- Xi, Z.; Da, P.; Zezhou, L.; Wencong, C.; Dongfeng, D. Edge Effect on the Photodetection Ability of the Graphene Nanocrystallites Embedded Carbon Film Coated on p-Silicon. Phys. Status Solidi RRL 2019, 1800511. [Google Scholar]
- Zhang, B.Y.; Liu, T.; Meng, B.; Li, X.; Liang, G.; Hu, X.; Wang, Q.J. Broadband high photoresponse from pure monolayer graphene photodetector. Nat. Commun. 2013, 4, 1811. [Google Scholar] [CrossRef] [PubMed]
- Yu, Y.; Kats, M.A.; Raji, S.; Yi, S.; Jing, K.; Marko, L.; Federico, C. Wide wavelength tuning of optical antennas on graphene with nanosecond response time. Nano Lett. 2014, 14, 214–219. [Google Scholar]
- Wu, W.; Zhang, Q.; Zhou, X.; Li, L.; Su, J.; Wang, F.; Zhai, T. Self-powered photovoltaic photodetector established on lateral monolayer MoS2-WS2 heterostructures. Nano Energy. 2018, 51, 45–53. [Google Scholar] [CrossRef]
- Liu, Y.; Cheng, R.; Liao, L.; Zhou, H.; Bai, J.; Liu, G.; Liu, L.; Huang, Y.; Duan, X. Plasmon resonance enhanced multicolour photodetection by graphene. Nat. Commun. 2011, 2, 579. [Google Scholar] [CrossRef] [PubMed]
- Woo Jong, Y.; Yuan, L.; Hailong, Z.; Anxiang, Y.; Zheng, L.; Yu, H.; Xiangfeng, D. Highly efficient gate-tunable photocurrent generation in vertical heterostructures of layered materials. Nat. Nanotech. 2013, 8, 952–958. [Google Scholar]
- Lv, P.; Zhang, X.; Zhang, X.; Deng, W.; Jie, J. High-Sensitivity and Fast-Response Graphene/Crystalline Silicon Schottky Junction-Based Near-IR Photodetectors. IEEE Electron Device Lett. 2013, 34, 1337–1339. [Google Scholar] [CrossRef]
- Zhang, X.; Wang, C.; Sun, C.Q.; Diao, D.F. Magnetism induced by excess electrons trapped at diamagnetic edge-quantum well in multi-layer graphene. Appl. Phys. Lett. 2014, 105, 042402. [Google Scholar] [CrossRef]
- An, X.; Liu, F.; Jung, Y.J.; Kar, S. Tunable Graphene–Silicon Heterojunctions for Ultrasensitive Photodetection. Nano Lett. 2013, 13, 909–916. [Google Scholar] [CrossRef] [PubMed]






| Type of Devices | Response Time | Responsivity | Wavelength |
|---|---|---|---|
| a-C film/Si [19,24] | - | 180 mA/W | 850 nm |
| MoS2-WS2 [41] | 4 μs | 4.36 mA/W | 532 nm |
| Plasmon resonance Au nanoparticle–Gr [42] | 50 μs | 6 mA/W | 532 nm |
| Gr–MoS2–Gr [43] | 50 μs | 220 mA/W | 488 nm |
| Combined Monolayer Gr (MLG)/Si [44] | 100 μs | 29 mA/W | 850 nm |
| GNEC/n-Si (this work) | 2.2 μs | 350 mA/W | 850 nm |
© 2019 by the authors. Licensee MDPI, Basel, Switzerland. This article is an open access article distributed under the terms and conditions of the Creative Commons Attribution (CC BY) license (http://creativecommons.org/licenses/by/4.0/).
Share and Cite
Zhang, X.; Lin, Z.; Peng, D.; Diao, D. Bias-Modulated High Photoelectric Response of Graphene-Nanocrystallite Embedded Carbon Film Coated on n-Silicon. Nanomaterials 2019, 9, 327. https://doi.org/10.3390/nano9030327
Zhang X, Lin Z, Peng D, Diao D. Bias-Modulated High Photoelectric Response of Graphene-Nanocrystallite Embedded Carbon Film Coated on n-Silicon. Nanomaterials. 2019; 9(3):327. https://doi.org/10.3390/nano9030327
Chicago/Turabian StyleZhang, Xi, Zezhou Lin, Da Peng, and Dongfeng Diao. 2019. "Bias-Modulated High Photoelectric Response of Graphene-Nanocrystallite Embedded Carbon Film Coated on n-Silicon" Nanomaterials 9, no. 3: 327. https://doi.org/10.3390/nano9030327
APA StyleZhang, X., Lin, Z., Peng, D., & Diao, D. (2019). Bias-Modulated High Photoelectric Response of Graphene-Nanocrystallite Embedded Carbon Film Coated on n-Silicon. Nanomaterials, 9(3), 327. https://doi.org/10.3390/nano9030327

