Effects of Al3+ Substitution on Structural and Magnetic Behavior of CoFe2O4 Ferrite Nanomaterials
Abstract
1. Introduction
2. Experimentation
2.1. Sample Preparation
2.2. Characterization
3. Results and Discussion
3.1. X-ray Diffraction Analysis (XRD)
3.2. Scanning Electron Microscopy (SEM)
3.3. Mössbauer Spectroscopy
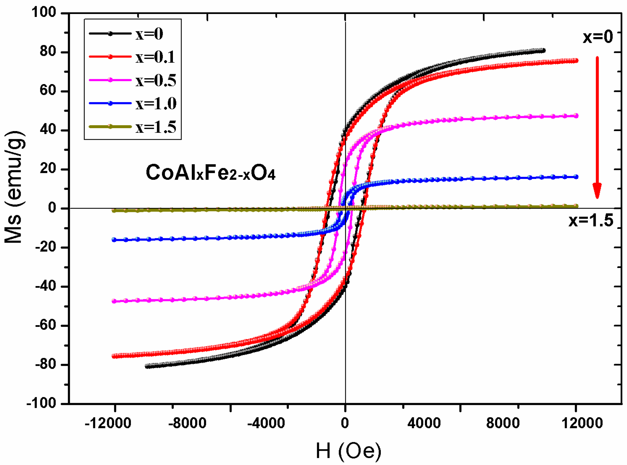
3.4. Magnetic Analysis
4. Conclusions
Author Contributions
Funding
Conflicts of Interest
References
- Mohamed, R.M.; Rashada, M.M.; Haraz, F.A.; Sigmund, W. Structure and magnetic properties of nanocrystalline cobalt ferrite powders synthesized using organic acid precursor method. J. Magn. Magn. Mater. 2010, 322, 2058–2064. [Google Scholar] [CrossRef]
- Amiri, S.; Shokrollahi, H. The role of cobalt ferrite magnetic nanoparticles in medical science. Mater. Sci. Eng. C 2013, 33, 1–8. [Google Scholar] [CrossRef] [PubMed]
- Sanpo, N.; Berndt, C.C.; Wen, C.; Wang, J. Transition metal-substituted cobalt ferrite nanoparticles for biomedical applications. Acta Biomater. 2013, 9, 5830–5837. [Google Scholar] [CrossRef] [PubMed]
- Chia, C.H.; Zakaria, S.; Yusoffa, M.; Goh, S.C.; Haw, C.Y.; Ahmadi, S.; Huang, N.M.; Lim, H.N. Size and crystallinity-dependent magnetic properties of CoFe2O4 nanocrystals. Ceramurg. Int. 2010, 36, 605–609. [Google Scholar] [CrossRef]
- Singhal, S.; Barthwal, S.K.; Chandra, K. XRD, magnetic and Mössbauer spectral studies of nano size aluminum substituted cobalt ferrites (CoAlxFe2−xO4). J. Magn. Magn. Mater. 2006, 306, 233–240. [Google Scholar] [CrossRef]
- Chae, K.P.; Lee, J.-G.; Kweon, H.S.; Lee, Y.B. Synthesis and magnetic properties of AlxCoFe2−xO4 ferrite powders. Phys. Status Solidi 2004, 201, 1883–1888. [Google Scholar] [CrossRef]
- Kumar, L.; Kar, M. Influence of Al3+ ion concentration on the crystal structure and magnetic anisotropy of nanocrystalline spinel cobalt ferrite. J. Magn. Magn. Mater. 2011, 323, 2042–2048. [Google Scholar] [CrossRef]
- Raghavender, A.T.; Jadhav, K.M. Dielectric properties of Al-substituted Co ferrite nanoparticles. Bull. Mater. Sci. 2009, 32, 575–578. [Google Scholar] [CrossRef]
- Chae, K.P.; Lee, J.; Kweon, H.S.; Lee, Y.B. The crystallographic, magnetic properties of Al, Ti doped CoFe2O4 powders grown by sol-gel method. J. Magn. Magn. Mater. 2004, 283, 103–108. [Google Scholar] [CrossRef]
- Kumar, S.; Farea, A.M.M.; Batoo, K.M.; Lee, C.G.; Koo, B.H.; Ali, Y. Mössbauer studies of Co0.5CdxFe2.5-xO4 (0.0-0.5) ferrite. Phys. B 2008, 403, 3604–3607. [Google Scholar] [CrossRef]
- He, Y.; Lei, C.; Lin, Q.; Dong, J.; Yu, Y.; Wang, L. Mössbauer and Structural properties of La-substituted Ni0.4Cu0.2Zn0.4Fe2O4 nanocrystalline ferrite. Sci. Adv. Mater. 2015, 7, 1809–1815. [Google Scholar] [CrossRef]
- Wang, L.; Lu, J.B.; Li, J.; Hua, J.; Liu, M.; Zhang, Y.M.; Li, H.B. Cation distribution and magnetic properties of CoAlxFe2−xO4/SiO2 nanocomposites. Phys. B 2013, 421, 8–12. [Google Scholar] [CrossRef]
- Zhang, C.; Liu, L.; Cui, X.; Zheng, L.; Deng, Y.; Shi, F. Chlorine as an Indicator in the Controllable Preparation of Active Nano-Gold Catalyst. Sci. Rep. 2013, 3, 1503. [Google Scholar] [CrossRef] [PubMed]
- Singhal, S.; Barthwal, S.K.; Chandra, K. Cation distribution in the nano size aluminium substituted cobalt ferrites using XRD, magnetic and Mössbauer spectral studies. Indian J. Pure Appl. Phys. 2007, 45, 821–825. [Google Scholar]
- Jadhav, K.M.; Kawade, V.B.; Modi, K.B.; Bichile, G.K.; Kulkarni, R.G. Structural, magnetization and susceptibility studies on cobalt-ferri-aluminates synthesized by wet-chemical method. Phys. B 2000, 291, 379–386. [Google Scholar] [CrossRef]
- Jadhav, S.S.; Shirsath, S.E.; Patange, S.M.; Jadhav, K.M. Effect of Zn substitution on magnetic properties of nanocrystalline cobalt ferrite. J. Appl. Phys. 2010, 108, 093920. [Google Scholar] [CrossRef]
- Wang, L.; Wang, D.; Cao, Q.; Zheng, Y.; Xuan, H.; Gao, J.; Du, Y. Electric control of magnetism at room temperature. Sci. Rep. 2012, 2, 223. [Google Scholar] [CrossRef] [PubMed]
- Babić-Stojić, B.; Janković, V.; Milivojević, D.; Jagličć, Z.; Markovec, D.; Jović, N.; Marinović-Cinović, M. Magnetic and Structural Studies of CoFe2O4 Nanoparticles Suspended in an Organic Liquid. J. Nanomater. 2013, 2013, 741036. [Google Scholar] [CrossRef]
- Lin, Q.; Lei, C.; He, Y.; Xu, J.; Wang, R. Mössbauer and XRD studies of Ni0.6Cu0.2Zn0.2CexFe2−xO4 ferrites By Sol-Gel auto-combustion. J. Nanosci. Nanotechnol. 2015, 15, 2997–3003. [Google Scholar] [CrossRef] [PubMed]
- Yafet, Y.; Kittel, C. Antiferromagnetic Arrangements in Ferrites. Phys. Rev. 1952, 87, 290–294. [Google Scholar] [CrossRef]
- Sharifi, I.; Shokrollahi, H. Nanostructural, magnetic and Mössbauer studies of nanosized Co1−xZnxFe2O4 synthesized by co-precipitation. J. Magn. Magn. Mater. 2012, 324, 2397–2403. [Google Scholar] [CrossRef]
- GöZüak, F.; Köseoğlu, Y.; Baykal, A.; Kavas, H. Synthesis and characterization of Co1−xZnxFe2O4magnetic nanoparticles via a PEG-assisted route. J. Magn. Magn. Mater. 2009, 321, 2170–2177. [Google Scholar] [CrossRef]
- Huang, F.; Wang, Z.; Lu, X.; Zhang, J.; Min, K.; Lin, W.; Ti, R.; Xu, T.; He, J.; Yue, C.; et al. Peculiar magnetism of BiFeO3 nanoparticles with size approaching the period of the spiral spin structure. Sci. Rep. 2013, 3, 2907. [Google Scholar] [CrossRef] [PubMed]
- Gabal, M.A.; Abdel-Daiem, A.M.; al Angari, Y.M.; Ismaeel, I.M. Influence of Al-substitution on structural, electrical and magnetic properties of Mn-Zn ferrites nanopowders prepared via the sol-gel auto-combustion method. Polyhedron 2013, 57, 105–111. [Google Scholar] [CrossRef]
- He, Y.; Yang, X.; Lin, J.; Lin, Q.; Dong, J. Mössbauer spectroscopy, Structural and magnetic studies of Zn2+ substituted magnesium ferrite nanomaterials prepared by Sol-Gel method. J. Nanomater. 2015, 2015, 854840. [Google Scholar] [CrossRef]
- Maghsoudi, I.; Shokrollahi, H.; Hadianfard, M.J.; Amighian, J. Synthesis and characterization of NiAlxFe2−xO4 magnetic spinel ferrites produced by conventional method. Powder Technol. 2013, 235, 110–114. [Google Scholar] [CrossRef]
- Lin, J.; He, Y.; Lin, Q.; Wang, R.; Chen, H. Microstructural and Mössbauer spectroscopy Studies of Mg1−xZnxFe2O4 (x = 0.5, 0.7) nanoparticles. J. Spectrosc. 2014, 2014, 540319. [Google Scholar] [CrossRef]
- Motavallian, P.; Abasht, B.; Abdollah-Pour, H. Zr doping dependence of structural and magnetic properties of cobalt ferrite synthesized by sol-gel based Pechini method. J. Magn. Magn. Mater. 2018, 451, 577–586. [Google Scholar] [CrossRef]









| Content (x) | Lattice Parameter (Å) | Average Crystallite Size (Å) | Density (g/cm3) |
|---|---|---|---|
| 0 | 8.38615 | 520 | 5.2847 |
| 0.1 | 8.37572 | 688 | 5.2392 |
| 0.2 | 8.35311 | 504 | 5.2161 |
| 0.3 | 8.36258 | 642 | 5.1328 |
| 0.4 | 8.33272 | 582 | 5.1216 |
| 0.5 | 8.33749 | 537 | 5.0470 |
| 0.6 | 8.33045 | 420 | 4.9959 |
| 0.7 | 8.32861 | 410 | 4.9583 |
| 0.8 | 8.32516 | 365 | 4.8666 |
| 0.9 | 8.27064 | 280 | 4.8992 |
| 1.0 | 8.25813 | 266 | 4.8534 |
| 1.5 | 8.16640 | 241 | 4.6668 |
| Temperature (℃) | Lattice Parameter (Å) | Average Crystallite Size (Å) | Density (g/cm3) |
|---|---|---|---|
| unsintered | 8.37425 | 337 | 5.2378 |
| 600 | 8.36801 | 346 | 5.2537 |
| 1000 | 8.37572 | 688 | 5.2392 |
| Content (x) | Component | Isomer Shift (I.S.) (mm/s) | Quadrupole Shift (Q.S.) (mm/s) | H(T) | Line Width (Γ) (mm/s) | Relative Area (A0) (%) |
|---|---|---|---|---|---|---|
| 0 | Sextet (A) | 0.238 | −0.011 | 48.852 | 0.366 | 28.4 |
| Sextet (B) | 0.355 | 0.0004 | 45.889 | 0.338 | 71.6 | |
| 0.1 | Sextet (A) | 0.245 | −0.002 | 48.387 | 0.376 | 29.88 |
| Sextet (B) | 0.332 | −0.017 | 45.563 | 0.348 | 70.2 | |
| 0.2 | Sextet (A) | 0.236 | 0.019 | 47.733 | 0.417 | 22.9 |
| Sextet (B) | 0.334 | 0.001 | 45.360 | 0.348 | 77.1 | |
| 0.3 | Sextet (A) | 0.236 | −0.030 | 47.293 | 0.381 | 15.8 |
| Sextet (B) | 0.311 | −0.002 | 44.824 | 0.348 | 84.2 | |
| 0.4 | Sextet (A) | 0.236 | 0.015 | 46.594 | 0.526 | 22.5 |
| Sextet (B) | 0.307 | −0.006 | 43.361 | 0.358 | 77.5 | |
| 0.5 | Sextet (A) | 0.224 | 0.102 | 45.589 | 0.329 | 7.5 |
| Sextet (B) | 0.305 | −0.003 | 42.156 | 0.374 | 92.5 | |
| 0.6 | Sextet (B) | 0.273 | −0.048 | 40.664 | 0.424 | 100 |
| 0.7 | Sextet (B) | 0.297 | −0.003 | 34.682 | 0.402 | 100 |
| 0.8 | Sextet (B) | 0.301 | 0.008 | 37.958 | 0.394 | 100 |
| 0.9 | Sextet (B) | 0.320 | −0.003 | 35.164 | 0.341 | 87.6 |
| Double | 0.302 | 0.670 | - | 0.466 | 12.4 | |
| 1.0 | Sextet (B) | 0.306 | −0.045 | 31.352 | 0.283 | 82.6 |
| Double | 0.321 | 0.726 | - | 0.406 | 17.4 | |
| 1.5 | Double | 0.318 | 0.752 | - | 0.389 | 100 |
| Sample | Cation Distribution |
|---|---|
| CoFe2O4 | (Co0.43Fe0.57)A[Co0.57Fe1.43]BO4 |
| CoAl0.1Fe1.9O4 | (Co0.43Fe0.57)A[Co0.57Fe1.33Al0.1]BO4 |
| CoAl0.2Fe1.8O4 | (Co0.43Fe0.41Al0.16)A[Co0.57Fe1.39Al0.04]BO4 |
| CoAl0.3Fe1.7O4 | (Co0.43Fe0.27Al0.3)A[Co0.57Fe1.43]BO4 |
| CoAl0.4Fe1.6O4 | (Co0.43Fe0.36Al0.21)A[Co0.57Fe1.27Al0.19]BO4 |
| CoAl0.5Fe1.5O4 | (Co0.43Fe0.11Al0.46)A[Co0.57Fe1.39Al0.04]BO4 |
| CoAl0.6Fe1.4O4 | (Co0.43Al0.57)A[Co0.57Fe1.40Al0.03]BO4 |
| CoAl0.7Fe1.3O4 | (Co0.43Al0.57)A[Co0.57Fe1.30Al0.13]BO4 |
| CoAl0.8Fe1.2O4 | (Co0.43Al0.57)A[Co0.57Fe1.20Al0.23]BO4 |
| CoAl0.9Fe1.1O4 | (Co0.43Al0.57)A[Co0.57Fe1.10Al0.33]BO4 |
| CoAl1.0Fe1.0O4 | (Co0.43Al0.57)A[Co0.57Fe1.00Al0.43]BO4 |
| CoAl1.5Fe0.5O4 | (Co0.43Al0.57)A[Co0.57Fe0.50Al0.93]BO4 |
| Content (x) | Ms (emu/g) | Hc (Oe) | Mr (emu/g) | nB |
|---|---|---|---|---|
| 0 | 80.89 | 802.77 | 37.15 | 3.40 |
| 0.1 | 75.66 | 802.76 | 37.75 | 3.14 |
| 0.5 | 47.43 | 301.11 | 22.54 | 1.87 |
| 1.0 | 16.13 | 150.56 | 5.45 | 0.59 |
| 1.5 | 1.06 | 150.38 | 0.10 | 0.04 |
| Temperature (°C) | Ms (emu/g) | Hc (Oe) | Mr (emu/g) | nB |
|---|---|---|---|---|
| unsintered | 65.52 | 902.92 | 32.77 | 2.72 |
| 600 | 63.78 | 1605.13 | 33.53 | 2.65 |
| 1000 | 75.66 | 802.76 | 37.75 | 3.14 |
© 2018 by the authors. Licensee MDPI, Basel, Switzerland. This article is an open access article distributed under the terms and conditions of the Creative Commons Attribution (CC BY) license (http://creativecommons.org/licenses/by/4.0/).
Share and Cite
Lin, Q.; He, Y.; Xu, J.; Lin, J.; Guo, Z.; Yang, F. Effects of Al3+ Substitution on Structural and Magnetic Behavior of CoFe2O4 Ferrite Nanomaterials. Nanomaterials 2018, 8, 750. https://doi.org/10.3390/nano8100750
Lin Q, He Y, Xu J, Lin J, Guo Z, Yang F. Effects of Al3+ Substitution on Structural and Magnetic Behavior of CoFe2O4 Ferrite Nanomaterials. Nanomaterials. 2018; 8(10):750. https://doi.org/10.3390/nano8100750
Chicago/Turabian StyleLin, Qing, Yun He, Jianmei Xu, Jinpei Lin, Zeping Guo, and Fang Yang. 2018. "Effects of Al3+ Substitution on Structural and Magnetic Behavior of CoFe2O4 Ferrite Nanomaterials" Nanomaterials 8, no. 10: 750. https://doi.org/10.3390/nano8100750
APA StyleLin, Q., He, Y., Xu, J., Lin, J., Guo, Z., & Yang, F. (2018). Effects of Al3+ Substitution on Structural and Magnetic Behavior of CoFe2O4 Ferrite Nanomaterials. Nanomaterials, 8(10), 750. https://doi.org/10.3390/nano8100750

