Aqueous Dispersions of Silica Stabilized with Oleic Acid Obtained by Green Chemistry
Abstract
:1. Introduction
2. Results and Discussion
2.1. Formation of Silica Particles from Sodium Silicate and Oleic Acid (OLA)



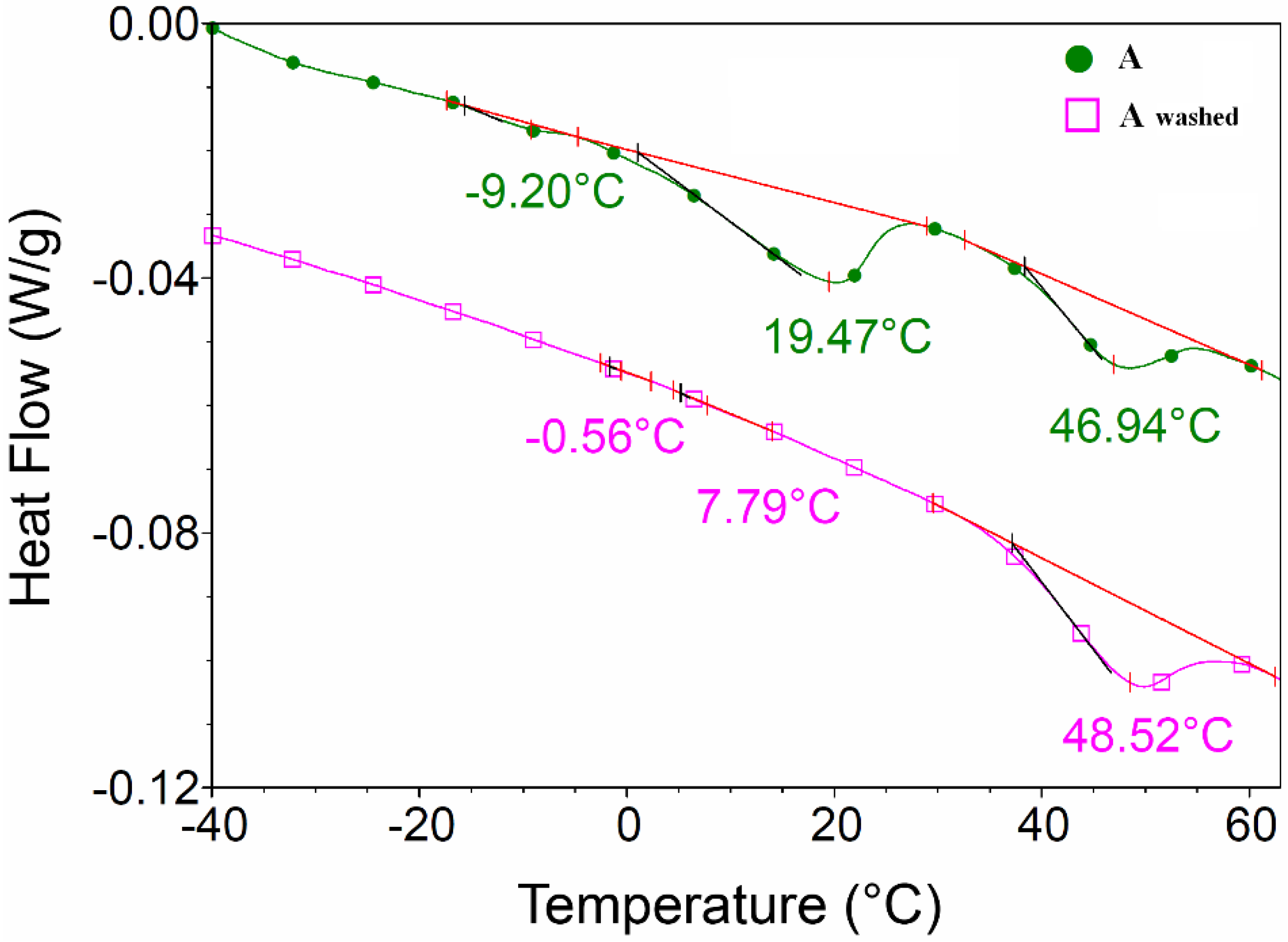
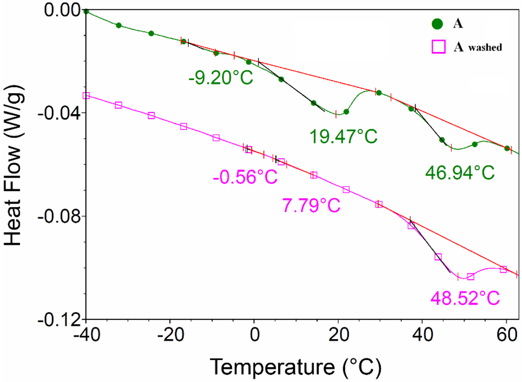
2.2. Dispersions of Octadecyltrimethoxysilane (ODTMOS)Hydrophobic Silica
| No. | ODTMOS/SiO2 (mole/mole) | OLA/Na (mole/mole) | fOLA (mole/mole)OLA/(OLA + ODTMOS) | Properties of the Dispersion | Solid Hybrids | Final App.** | ||||
|---|---|---|---|---|---|---|---|---|---|---|
| pH | D (nm) | ZP (mV) | ΔH* (J/mole) (OLA + ODTMOS) | Tmax (°C) | Inorg. Residue (%) | |||||
| A | 1/1 | 2/1 | 0.73 | 7.2 | 188 | −60.7 | 378 | 469 | 14 | H |
| B | 1/1 | 4/1 | 0.84 | 6.3 | 644 | −60.7 | 580 | H | ||
| C | 1/1 | 1/1 | 0.54 | 9.2 | 256 | −71 | 74 | PS | ||
| D | 1/1 | 0.5/1 | 0.39 | 10 | 256 | −59.7 | 76 | PS | ||
| E | 1/10 | 2/1 | 0.96 | 7.3 | 516 | −72 | 261 | 436 | 16 | H |
| F | 1/1 | 2/1 | 0.73 | 7.03 | 225 | −79.7 | 236 | 474 | 21 | H OLA in EtOH |
| G | 1/5 | 2/1 | 0.93 | 7.3 | 740 | −70.2 | 302 | 439 | 15 | H |
| H | 0/1 | 2/1 | 1.0 | 7.4 | 171 | −61 | 483 | 423 | 19 | H |
| I | 1/1 | 1/1 HCl/Na = 0.25/1 | 0.54 | 7.1 | 285 | −68.7 | 54 | 466 | 27 | H |
| J | 1/1 | 0.5/1 HCl/Na = 0.25/1 | 0.39 | 10.2 | 213 | −35.5 | 55 | 395 | 37 | PS |






| Sample No. | BET Surface Area (m2/g) | Pore Volume (cm3/g) | Pore Size (Desorption Branch) (nm) |
|---|---|---|---|
| A | 4.2147 | 0.0232 | 15.02 |
| G | 84.0391 | 0.1890 | 5.25 |
| H | 314.73 | 0.5089 | 4.45 |
3. Experimental Section
3.1. Materials
3.2. Synthesis Methods
3.2.1. Preparation of Silica Nanoparticles from Sodium Silicate and OLA
3.2.2. The Obtaining of Octadecyl-Silica Nanocomposites

3.3. Characterization Methods
4. Conclusions
Supplementary Materials
Acknowledgments
Author Contributions
Conflicts of Interest
References
- Huo, Q.; Maragolese, D.I.; Ciesia, U.; Feng, P.; Gier, T.; Sieger, P.; Leon, R.; Petroff, P.M.; Schuth, F.; Stucky, G.D. Generalized synthesis of periodic surfactant/inorganic composite materials. Nature 1994, 368, 317–321. [Google Scholar] [CrossRef]
- Nicole, L.; Boissier, C.; Grosso, D.; Quach, A.; Sanchez, C.L. Mesostructured hybrid organic-inorganic thin films. J. Mater. Chem. 2005, 15, 3594–3627. [Google Scholar] [CrossRef]
- Shimojima, A.; Kuroda, K. Designed synthesis of nanostructured siloxane-organic hybrids from amphiphilic silicon-based precursors. Chem. Rec. 2006, 6, 53–63. [Google Scholar] [CrossRef] [PubMed]
- Boettcher, S.W.; Fan, J.; Tsung, C.T.; Shi, Q.; Stucky, G.T. Harnessing the sol-gel process for the assembly of non-silicate mesostructured oxide materials. Acc. Chem. Res. 2007, 40, 784–792. [Google Scholar] [CrossRef] [PubMed]
- Hoffman, F.; Froba, M. Vitalising porous inorganic silica networks with organic functions-PMOs and related hybrid materials. Chem. Soc. Rev. 2011, 40, 608–620. [Google Scholar] [CrossRef] [PubMed]
- Viviero-Escoto, J.L.; Huang, Y.Z. Inorganic-Organic Hybrid Nanomaterials for Therapeutic and Diagnostic Imaging Applications. Int. Mol. Sci. 2011, 12, 3888–3927. [Google Scholar] [CrossRef] [PubMed]
- Ju, Z.; Yin, Y. Colloidal nanoparticle clusters: Functional materials by design. Chem. Soc. Rev. 2012, 41, 6874–6887. [Google Scholar]
- Gerardin, C.; Reboul, J.; Bonne, M.; Lebeau, B. Ecodesign of ordered mesoporous silica materials. Chem. Soc. Rev. 2013, 42, 4217–4255. [Google Scholar] [CrossRef] [PubMed]
- Lin, H.P.; Cheng, Y.R.; Mou, C.Y. Hierarchical Order in Hollow Spheres of Mesoporous Silicates. Chem. Mater. 1998, 10, 3772–3776. [Google Scholar] [CrossRef]
- Lin, H.P.; Cheng, S.; Mou, C.Y. Mesoporous Molecular Sieves MCM-41 with a Hollow Tubular Morphology. Chem. Mater. 1998, 10, 581–589. [Google Scholar] [CrossRef]
- Sierra, L.; Lopez, B.; Gil, H.; Guth, J.L. Synthesis of Mesoporous Silica from Sodium Silica Solutions and a Poly(ethylene oxide)-Based Surfactant. Adv. Mater. 1999, 11, 307–311. [Google Scholar] [CrossRef]
- Cheng, Y.R.; Lin, H.P.; Mou, C.Y. Control of mesostructure and morphology of surfactant-templated silica in a mixed surfactant system. Phys. Chem. Chem. Phys. 1999, 1, 5051–5058. [Google Scholar] [CrossRef]
- Frasch, J.; Lebeau, B.; Soulard, M.; Patarin, J. In Situ Investigations on Cetyltrimethylammonium Surfactant/Silicate Systems, Precursors of Organized Mesoporous MCM-41-Type Siliceous Materials. Langmuir 2000, 16, 9049–9057. [Google Scholar] [CrossRef]
- Sun, Q.; Kooyman, P.J.; Grossman, J.G.; Bomas, P.H.H.; Frederic, P.M.; Magusin, P.C.M.M.; Beelen, T.P.M.R.; van Santen, A.; Sommerdijk, M.A.J. The Formation of Well-Defined Hollow Silica Spheres with Multilamellar Shell Structure. Adv. Mater. 2003, 15, 1097–1100. [Google Scholar] [CrossRef]
- Canlas, C.P.; Pinnavaia, T.J. Bio-derived oleyl surfactants as porogens for the sustainable synthesis of micelle-templated mesoporous silica. RSC Adv. 2012, 2, 7449–7455. [Google Scholar] [CrossRef]
- Sadeghpour, A.; Pirolt, F.; Glatter, O. Submicrometer-Sized Pickering Emulsions Stabilized by Silica Nanoparticles with Adsorbed Oleic Acid. Langmuir 2013, 29, 6004–6012. [Google Scholar] [CrossRef] [PubMed]
- Walde, P.; Namani, T.; Morigaki, K.; Houser, H. Formulation and Properties of Fatty Acid Vesicles/Liposomes. In Liposime Technology, 3rd ed.; Gregoriadis, G., Ed.; Informa Healthcare: New York, NY, USA, 2007; pp. 1–19. [Google Scholar]
- Patel, D.M.; Jami, R.H.; Patel, C.N. Ufasomes: A vesicular drug delivery. Syst. Rev. Pharm. 2011, 2, 72–78. [Google Scholar] [CrossRef]
- Delampe, M.; Jerome, F.; Barrault, J.; Douliez, J.P. Self-assembly and emulsions of oleic acid-oleate mixtures in glycerol. Green Chem. 2011, 13, 64–68. [Google Scholar] [CrossRef]
- Rendon, A.; Carton, D.G.; Sot, J.; Garcia-Pacios, M.; Montes, C.R.; Valle, M.; Arrondo, J.L.R.; Goni, F.M.; Ruiz-Mirazo, K. Model Systems of Precursor Cellular Membranes: Long-Chain Alcohols Stabilize Spontaneously Formed Oleic Acid Vesicles. Biophysical. J. 2012, 102, 278–286. [Google Scholar] [CrossRef] [PubMed]
- Fameau, A.L.; Arnould, A.; Saint-Jalmes, A. Responsive self-assemblies based on fatty acids. Curr. Opin. Colloid Interface Sci. 2014, 19, 471–479. [Google Scholar] [CrossRef]
- Tang, T.Y.D.; Hak, C.R.C.; Thompson, A.J.; Kuimova, M.K.; Williams, D.S.; Perriman, A.W.; Mann, S. Fatty acid membrane assembly on coacervate microdroplets as a step towards a hybrid protocell model. Nat. Chem. 2014, 6, 527–533. [Google Scholar] [CrossRef] [PubMed]
- Suga, K.; Yokoi, T.; Kondo, D.; Hayashi, K.; Morita, S.; Okamoto, Y.; Shimanouchi, T.; Umakoshi, H. Systematical Characterization of Phase Behaviors and Membrane Properties of Fatty Acid/Didecyldimethylammonium Bromide Vesicles. Langmuir 2014, 30, 12721–12728. [Google Scholar] [CrossRef] [PubMed]
- Janke, J.J.; Bennett, W.F.D.; Tieleman, D.P. Oleic Acid Phase Behavior from Molecular Dynamics Simulations. Langmuir 2014, 30, 10661–10667. [Google Scholar] [CrossRef] [PubMed]
- Belosludtsev, K.N.; Belosludtseva, N.V.; Agafonov, A.V.; Astashev, M.E.; Kazakov, A.S.; Saris, N.E.L.; Mironova, G.D. Ca2+-dependent permeabilization of mitochondria and liposomes by palmitic and oleic acids: A comparative study. Biochim. Biophys. Acta 2014, 1838, 2600–2606. [Google Scholar] [CrossRef] [PubMed]
- Verma, S.; Bhardwaj, A.; Vij, M.; Bajpai, P.; Goutam, N.; Kumar, L. Oleic acid vesicles: A new approach for topical delivery of antifungal agent. Artif. Cells Nanomed. Biotech. 2014, 42, 95–101. [Google Scholar] [CrossRef] [PubMed]
- Atashbeyk, D.G.; Khameneh, B.; Tafaghodi, M.; Bazzaz, B.S.F. Eradication of methicillin-resistant Staphylococcus aureus infection by nanoliposomes loaded with gentamicin and oleic acid. Pharm. Biol. 2014, 52, 1423–1429. [Google Scholar] [CrossRef] [PubMed]
- Yague, C.; Moros, M.; Grazu, V.; Arruebo, M.; Santamaria, J. Synthesis and stealthing study of bare and PEGylated silica micro- and nanoparticles as potential drug-delivery vectors. Chem. Eng. J. 2008, 137, 45–53. [Google Scholar] [CrossRef]
- Brambilla, R.; Pirer, G.P.; dos Santos, J.H.Z.M.; Miranda, S.L. Octadecylsilane hybrid silicas prepared by the sol-gel method: Morphological and textural aspects. J. Colloid Int. Sci. 2007, 312, 326–332. [Google Scholar] [CrossRef] [PubMed]
- Borne, J.; Nylander, T.; Khan, A. Phase Behavior and Aggregate Formation for the Aqueous Monoolein System Mixed with Sodium Oleate and Oleic Acid. Langmuir 2001, 17, 7742–7751. [Google Scholar] [CrossRef]
- Kanicky, J.R.; Shah, D.O. Effect of Degree, Type, and Position of Unsaturation on the pKa of Long-Chain Fatty Acids. J. Colloid Int. Sci. 2002, 256, 201–207. [Google Scholar] [CrossRef]
- Cistola, D.P.; Hamilton, J.A.; Jackson, D.; Small, D.M. Ionization and phase behavior of fatty acids in water: Application of the Gibbs phase rule. Biochemistry 1988, 27, 1881–1888. [Google Scholar] [CrossRef] [PubMed]
- Cistola, D.P.; Atkinson, D.; Hamilton, J.A.; Small, D.M. Phase behavior and bilayer properties of fatty acids: Hydrated 1:1 acid-soaps. Biochemistry 1986, 25, 2804–2812. [Google Scholar] [CrossRef] [PubMed]
- Saletining, S.; Sagalowicz, L.; Glatter, O. Self-Assembled Structures and pKa Value of Oleic Acid in Systems of Biological Relevance. Langmuir 2010, 26, 11670–11679. [Google Scholar] [CrossRef] [PubMed]
- Setoguchi, Y.M.; Teraoka, Y.; Moriguchi, I.; Kagawa, S.; Tomonaga, N.; Yasutake, A.; Izumi, J. Rapid Room Temperature Synthesis of Hexagonal Mesoporous Silica Using Inorganic Silicate Sources and Cationic Surfactants under Highly Acidic Conditions. J. Porous Mater. 1997, 4, 129–134. [Google Scholar] [CrossRef]
- Brambilla, R.; Pires, G.P.; da Silveira, N.P.; dos Santos, J.H.Z.; Miranda, M.S.L.; Frost, R.L. Spherical and lamellar octadecylsilane hybrid silicas. J. Non Cryst. Solids 2008, 354, 5033–5040. [Google Scholar] [CrossRef]
© 2016 by the authors; licensee MDPI, Basel, Switzerland. This article is an open access article distributed under the terms and conditions of the Creative Commons by Attribution (CC-BY) license (http://creativecommons.org/licenses/by/4.0/).
Share and Cite
Nistor, C.L.; Ianchis, R.; Ghiurea, M.; Nicolae, C.-A.; Spataru, C.-I.; Culita, D.C.; Pandele Cusu, J.; Fruth, V.; Oancea, F.; Donescu, D. Aqueous Dispersions of Silica Stabilized with Oleic Acid Obtained by Green Chemistry. Nanomaterials 2016, 6, 9. https://doi.org/10.3390/nano6010009
Nistor CL, Ianchis R, Ghiurea M, Nicolae C-A, Spataru C-I, Culita DC, Pandele Cusu J, Fruth V, Oancea F, Donescu D. Aqueous Dispersions of Silica Stabilized with Oleic Acid Obtained by Green Chemistry. Nanomaterials. 2016; 6(1):9. https://doi.org/10.3390/nano6010009
Chicago/Turabian StyleNistor, Cristina Lavinia, Raluca Ianchis, Marius Ghiurea, Cristian-Andi Nicolae, Catalin-Ilie Spataru, Daniela Cristina Culita, Jeanina Pandele Cusu, Victor Fruth, Florin Oancea, and Dan Donescu. 2016. "Aqueous Dispersions of Silica Stabilized with Oleic Acid Obtained by Green Chemistry" Nanomaterials 6, no. 1: 9. https://doi.org/10.3390/nano6010009
APA StyleNistor, C. L., Ianchis, R., Ghiurea, M., Nicolae, C.-A., Spataru, C.-I., Culita, D. C., Pandele Cusu, J., Fruth, V., Oancea, F., & Donescu, D. (2016). Aqueous Dispersions of Silica Stabilized with Oleic Acid Obtained by Green Chemistry. Nanomaterials, 6(1), 9. https://doi.org/10.3390/nano6010009

