Enhanced CO2 Capture Using TiO2 Nanoparticle-Functionalized Solvent: A Study on Desorption Experiments
Abstract
1. Introduction
- Activation energy effect: the presence of nanoparticles (NPs) leads to more frequent collisions between liquid molecules and particles and also raises the average activation energy of particles in the solution [18].
- Surface effect: the introduction of nanoparticles alters the boiling surface characteristics, including nucleation site density, heat transfer area and surface roughness [19]. Due to the high temperatures in the regeneration section, nanoparticle deposition on the heater surface becomes more pronounced, leading to changes in the surface topology of the electrical coil. This results in the formation of a porous layer with greater wettability and roughness compared to the original, untreated heater surface [20].
- Thermal conductivity enhancement, nanoparticles possess significantly higher thermal conductivity than the base fluid, so incorporating them into the liquid phase increases the overall thermal conductivity of the solvent. As a result, nanofluids enable faster gas stripping due to more efficient energy dispersion and quicker temperature rise [21,22,23].
2. Materials and Methods
2.1. Materials
2.2. Experimental Apparatus
2.2.1. Absorbent Preparation and Reactor Setup
2.2.2. Experimental Procedure and Gas Analysis
2.2.3. Absorbent Temperature
2.3. Assessment of CO2 Desorption Rate
3. Results and Discussion
3.1. Ionization Constants
3.2. Kinetic Constants
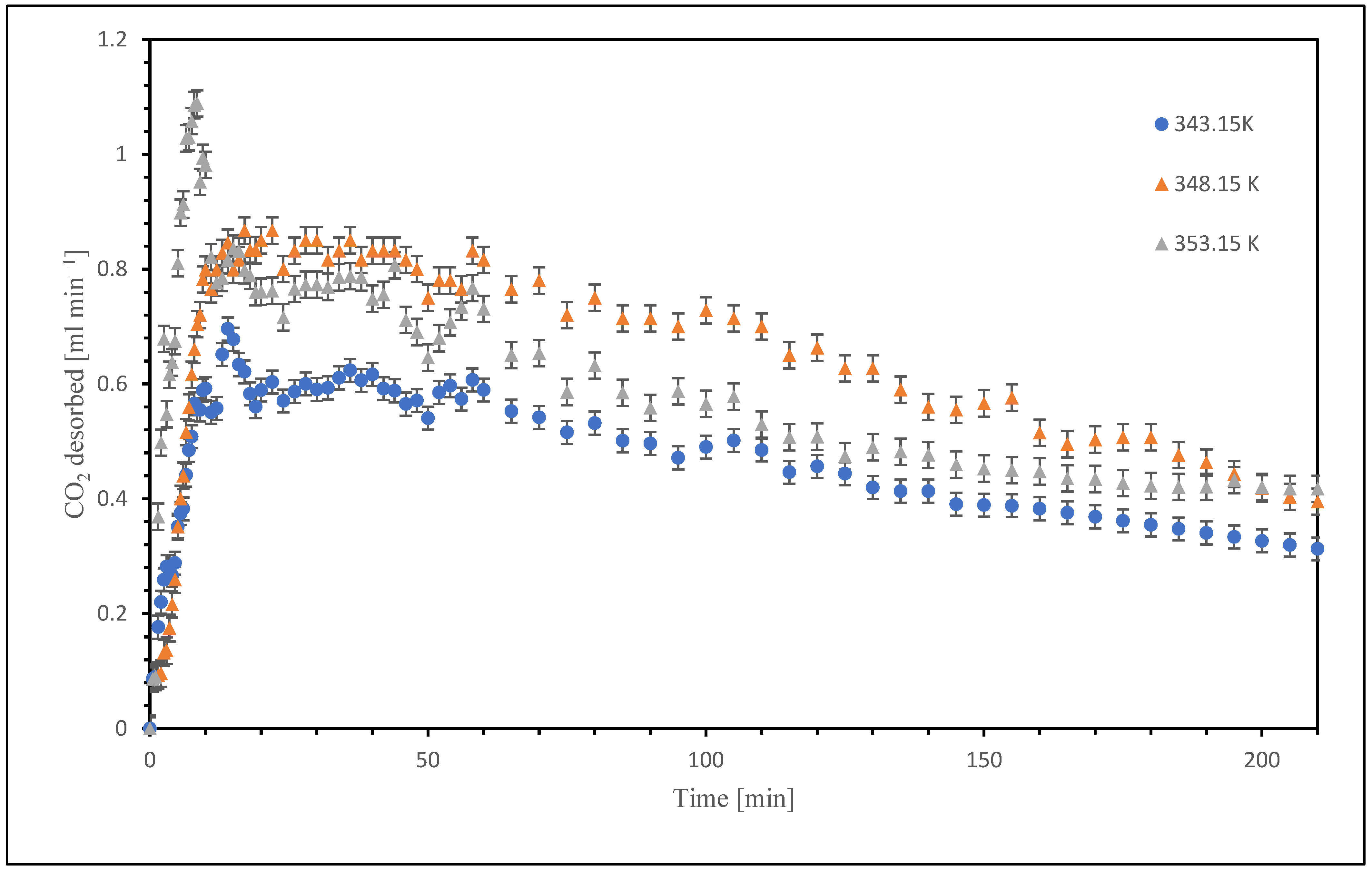
3.3. Desorption Without Nanoparticles
3.4. Desorption with Nanoparticles
3.5. Kinetics Results and Evaluation of CO2 Diffusion Coefficient
3.6. Evaluation of Desorption Duty
4. Conclusions
Author Contributions
Funding
Data Availability Statement
Conflicts of Interest
References
- Bouman, E.A.; Lindstad, E.; Rialland, A.I.; Strømman, A.H. State-of-the-art technologies, measures, and potential for reducing GHG emissions from shipping—A review. Transp. Res. D Transp. Environ. 2017, 52, 408–421. [Google Scholar] [CrossRef]
- Akimoto, K.; Sano, F.; Homma, T.; Oda, J.; Nagashima, M.; Kii, M. Estimates of GHG emission reduction potential by country, sector, and cost. Energy Policy 2010, 38, 3384–3393. [Google Scholar] [CrossRef]
- Delbeke, J.; Runge-Metzger, A.; Slingenberg, Y.; Werksman, J. Towards a Climate-Neutral Europe; Routledge: London, UK, 2019. [Google Scholar]
- The Paris Agreement. United Nations Climate Change. Available online: https://unfccc.int/process-and-meetings/the-paris-agreement (accessed on 8 May 2025).
- Falana, J.; Osei-Kyei, R.; Tam, V.W. Towards achieving a net zero carbon building: A review of key stakeholders and their roles in net zero carbon building whole life cycle. J. Build. Eng. 2024, 82, 108223. [Google Scholar] [CrossRef]
- Nath, F.; Mahmood, M.N.; Yousuf, N. Recent advances in CCUS: A critical review on technologies, regulatory aspects and economics. Geoenergy Sci. Eng. 2024, 238, 212726. [Google Scholar] [CrossRef]
- Fan, J.-L.; Li, Z.; Li, K.; Zhang, X. Modelling plant-level abatement costs and effects of incentive policies for coal-fired power generation retrofitted with CCUS. Energy Policy 2022, 165, 112959. [Google Scholar] [CrossRef]
- Paltsev, S.; Morris, J.; Kheshgi, H.; Herzog, H. Hard-to-Abate Sectors: The role of industrial carbon capture and storage (CCS) in emission mitigation. Appl. Energy 2021, 300, 117322. [Google Scholar] [CrossRef]
- Cottrell, A.J.; McGregor, J.; Jansen, J.; Artanto, Y.; Dave, N.; Morgan, S.; Pearson, P.; Attalla, M.; Wardhaugh, L.; Yu, H.; et al. Post-combustion capture R&D and pilot plant operation in Australia. Energy Procedia 2009, 1, 1003–1010. [Google Scholar] [CrossRef]
- Kim, I.; Hoff, K.A.; Mejdell, T. Heat of Absorption of CO2 with Aqueous Solutions of MEA: New Experimental Data. Energy Procedia 2014, 63, 1446–1455. [Google Scholar] [CrossRef]
- Mumford, K.A.; Smith, K.H.; Anderson, C.J.; Shen, S.; Tao, W.; Suryaputradinata, Y.A.; Qader, A.; Hooper, B.; Innocenzi, R.A.; Kentish, S.E.; et al. Post-combustion Capture of CO2: Results from the Solvent Absorption Capture Plant at Hazelwood Power Station Using Potassium Carbonate Solvent. Energy Fuels 2011, 26, 138–146. [Google Scholar] [CrossRef]
- Cents, A.H.G.; Brilman, D.W.F.; Versteeg, G.F. Absorption in carbonate/bicarbonate solutions: The Danckwerts-criterion revisited. Chem. Eng. Sci. 2005, 60, 5830–5835. [Google Scholar] [CrossRef]
- Chillè, A.; Verdone, N.; Micciancio, M.; Vilardi, G. Enhanced CO2 Capture Using TiO2 Nanoparticle-Functionalized Solvent: A Study on Absorption Experiments. Nanomaterials 2025, 15, 352. [Google Scholar] [CrossRef]
- Choi, S.U.S.; Eastman, J.A. Enhancing Thermal Conductivity of Fluids with Nanoparticles; ASME International Mechanical Engineering Congress & Exposition: San Francisco, CA, USA, 1995. [Google Scholar]
- Tavakoli, A.; Rahimi, K.; Saghandali, F.; Scott, J.; Lovell, E. Nanofluid preparation, stability and performance for CO2 absorption and desorption enhancement: A review. J. Environ. Manag. 2022, 313, 114955. [Google Scholar] [CrossRef]
- Muhmood, T.; Xia, M.; Lei, W.; Wang, F.; Mahmood, A. Fe-ZrO2 imbedded graphene like carbon nitride for acarbose (ACB) photo-degradation intermediate study. Adv. Powder Technol. 2018, 29, 3233–3240. [Google Scholar] [CrossRef]
- Zarei, F.; Keshavarz, P. Intensification of CO2 absorption and desorption by metal/non-metal oxide nanoparticles in bubble columns. Environ. Sci. Pollut. Res. 2022, 30, 19278–19291. [Google Scholar] [CrossRef] [PubMed]
- Dutta, A.; Paul, A.; Chattopadhyay, A. The effect of temperature on the aggregation kinetics of partially bare gold nanoparticles. RSC Adv. 2016, 6, 82138–82149. [Google Scholar] [CrossRef]
- Kim, E.S.; Jung, J.-Y.; Kang, Y.T. The effect of surface area on pool boiling heat transfer coefficient and CHF of Al2O3/water nanofluids. J. Mech. Sci. Technol. 2013, 27, 3177–3182. [Google Scholar] [CrossRef]
- Wenzel, R.N. Surface Roughness and Contact Angle. J. Phys. Colloid Chem. 1949, 53, 1466–1467. [Google Scholar] [CrossRef]
- Lee, S.; Choi, S.U.-S.; Li, S.; Eastman, J.A. Measuring Thermal Conductivity of Fluids Containing Oxide Nanoparticles. J. Heat Transfer 1999, 121, 280–289. [Google Scholar] [CrossRef]
- Fan, J.; Wang, L. Review of Heat Conduction in Nanofluids. J. Heat Transfer 2011, 133, 040801. [Google Scholar] [CrossRef]
- Putnam, S.A.; Cahill, D.G.; Braun, P.V.; Ge, Z.; Shimmin, R.G. Thermal conductivity of nanoparticle suspensions. J. Appl. Phys. 2006, 99, 084308. [Google Scholar] [CrossRef]
- Lu, J.; Liu, D.; Yang, X.; Liu, H.; Liu, S.; Tang, H.; Zhao, Y.; Cui, F. Sedimentation of TiO2 nanoparticles in aqueous solutions: Influence of pH, ionic strength, and adsorption of humic acid. Desalination Water Treat. 2016, 57, 18817–18824. [Google Scholar] [CrossRef]
- Bockenstedt, J.; Vidwans, N.A.; Gentry, T.; Vaddiraju, S. Catalyst Recovery, Regeneration and Reuse during Large-Scale Disinfection of Water Using Photocatalysis. Water 2021, 13, 2623. [Google Scholar] [CrossRef]
- Ani, I.J.; Akpan, U.G.; Olutoye, M.A.; Hameed, B.H.; Egbosiuba, T.C. Adsorption–photocatalysis synergy of reusable mesoporous TiO2–ZnO for photocatalytic degradation of doxycycline antibiotic. Heliyon 2024, 10, e30531. [Google Scholar] [CrossRef] [PubMed]
- Rahmatmand, B.; Keshavarz, P.; Ayatollahi, S. Study of Absorption Enhancement of CO2 by SiO2, Al2O3, CNT, and Fe3O4 Nanoparticles in Water and Amine Solutions. J. Chem. Eng. Data 2016, 61, 1378–1387. [Google Scholar] [CrossRef]
- Aghel, B.; Janati, S.; Alobaid, F.; Almoslh, A.; Epple, B. Application of Nanofluids in CO2 Absorption: A Review. Appl. Sci. 2022, 12, 3200. [Google Scholar] [CrossRef]
- Haghtalab, A.; Mohammadi, M.; Fakhroueian, Z. Absorption and solubility measurement of CO2 in water-based ZnO and SiO2 nanofluids. Fluid Phase Equilibria 2015, 392, 33–42. [Google Scholar] [CrossRef]
- Danckwerts, P.V. Gas-Liquid Reactions; McGraw-Hill Book Company: New York, NY, USA, 1970. [Google Scholar]
- Peirce, S.; Perfetto, R.; Russo, M.E.; Capasso, C.; Rossi, M.; Salatino, P.; Marzocchella, A. Characterization of technical grade carbonic anhydrase as biocatalyst for CO2 capture in potassium carbonate solutions. Greenh. Gases Sci. Technol. 2018, 8, 279–291. [Google Scholar] [CrossRef]
- Ye, X.; Lu, Y. Kinetics of CO2 absorption into uncatalyzed potassium carbonate–bicarbonate solutions: Effects of CO2 loading and ionic strength in the solutions. Chem. Eng. Sci. 2014, 116, 657–667. [Google Scholar] [CrossRef]
- Das, S.K.; Choi, S.U.S.; Patel, H.E. Heat Transfer in Nanofluids—A Review. Heat Transf. Eng. 2006, 27, 3–19. [Google Scholar] [CrossRef]
- Mani, F.; Peruzzini, M.; Stoppioni, P. Combined Process of CO2 Capture by Potassium Carbonate and Production of Basic Zinc(II) Carbonates: CO2 Release from Bicarbonate Solutions at Room Temperature and Pressure. Energy Fuels 2008, 22, 1714–1719. [Google Scholar] [CrossRef]
- Karali, D.; Peloriadi, K.; Margaritis, N.; Grammelis, P. CO2 Absorption Using Potassium Carbonate as Solvent. Eng. Proc. 2023, 31, 39. [Google Scholar] [CrossRef]




| Service Fluid Temperature (°C) | Process Fluid Temperature (°C) |
|---|---|
| 95 | 70 |
| 105 | 75 |
| 115 | 80 |
| T [K] | Log(K1) | K1 | Log(K2) | K2 |
|---|---|---|---|---|
| 343.15 | −6.331 | 4.669 × 10−7 | −10.127 | 7.463 × 10−11 |
| 348.15 | −6.352 | 4.443 × 10−7 | −10.125 | 7.506 × 10−11 |
| 353.15 | −6.378 | 4.191 × 10−7 | −10.126 | 7.489 × 10−11 |
| T [K] | KOH [m3 kmol−1 s−1] | [s−1] |
|---|---|---|
| 343.15 | 142,962.742 | 0.182 |
| 348.15 | 181,125.101 | 0.194 |
| 353.15 | 227,988.748 | 0.202 |
| Nanofluid [wt%] | T [K] | |
|---|---|---|
| 0 | 343.15 | 4.905 |
| 348.15 | 5.167 | |
| 353.15 | 7.204 | |
| 0.06 | 343.15 | 7.963 |
| 348.15 | 9.061 | |
| 353.15 | 9.461 |
| T [K] | Percentage Reduction |
|---|---|
| 343.15 | 57% |
| 348.15 | 50% |
| 353.15 | 54% |
Disclaimer/Publisher’s Note: The statements, opinions and data contained in all publications are solely those of the individual author(s) and contributor(s) and not of MDPI and/or the editor(s). MDPI and/or the editor(s) disclaim responsibility for any injury to people or property resulting from any ideas, methods, instructions or products referred to in the content. |
© 2025 by the authors. Licensee MDPI, Basel, Switzerland. This article is an open access article distributed under the terms and conditions of the Creative Commons Attribution (CC BY) license (https://creativecommons.org/licenses/by/4.0/).
Share and Cite
Micciancio, M.; Verdone, N.; Chillè, A.; Vilardi, G. Enhanced CO2 Capture Using TiO2 Nanoparticle-Functionalized Solvent: A Study on Desorption Experiments. Nanomaterials 2025, 15, 1301. https://doi.org/10.3390/nano15171301
Micciancio M, Verdone N, Chillè A, Vilardi G. Enhanced CO2 Capture Using TiO2 Nanoparticle-Functionalized Solvent: A Study on Desorption Experiments. Nanomaterials. 2025; 15(17):1301. https://doi.org/10.3390/nano15171301
Chicago/Turabian StyleMicciancio, Mattia, Nicola Verdone, Alice Chillè, and Giorgio Vilardi. 2025. "Enhanced CO2 Capture Using TiO2 Nanoparticle-Functionalized Solvent: A Study on Desorption Experiments" Nanomaterials 15, no. 17: 1301. https://doi.org/10.3390/nano15171301
APA StyleMicciancio, M., Verdone, N., Chillè, A., & Vilardi, G. (2025). Enhanced CO2 Capture Using TiO2 Nanoparticle-Functionalized Solvent: A Study on Desorption Experiments. Nanomaterials, 15(17), 1301. https://doi.org/10.3390/nano15171301
