Simulation of Arc Discharge in an Argon/Methane Mixture, Taking into Account the Evaporation of Anode Material in Problems Related to the Synthesis of Functional Nanostructures
Abstract
1. Introduction
2. Model Description
2.1. Model Equations and Boundary Conditions
2.2. Elementary Processes in Argon Plasma
2.3. Kinetics of Elementary Processes Involving Methane CH4
2.4. Kinetics of Elementary Processes Involving Copper Cu
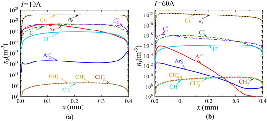
3. Results and Discussion
4. Conclusions
- (1)
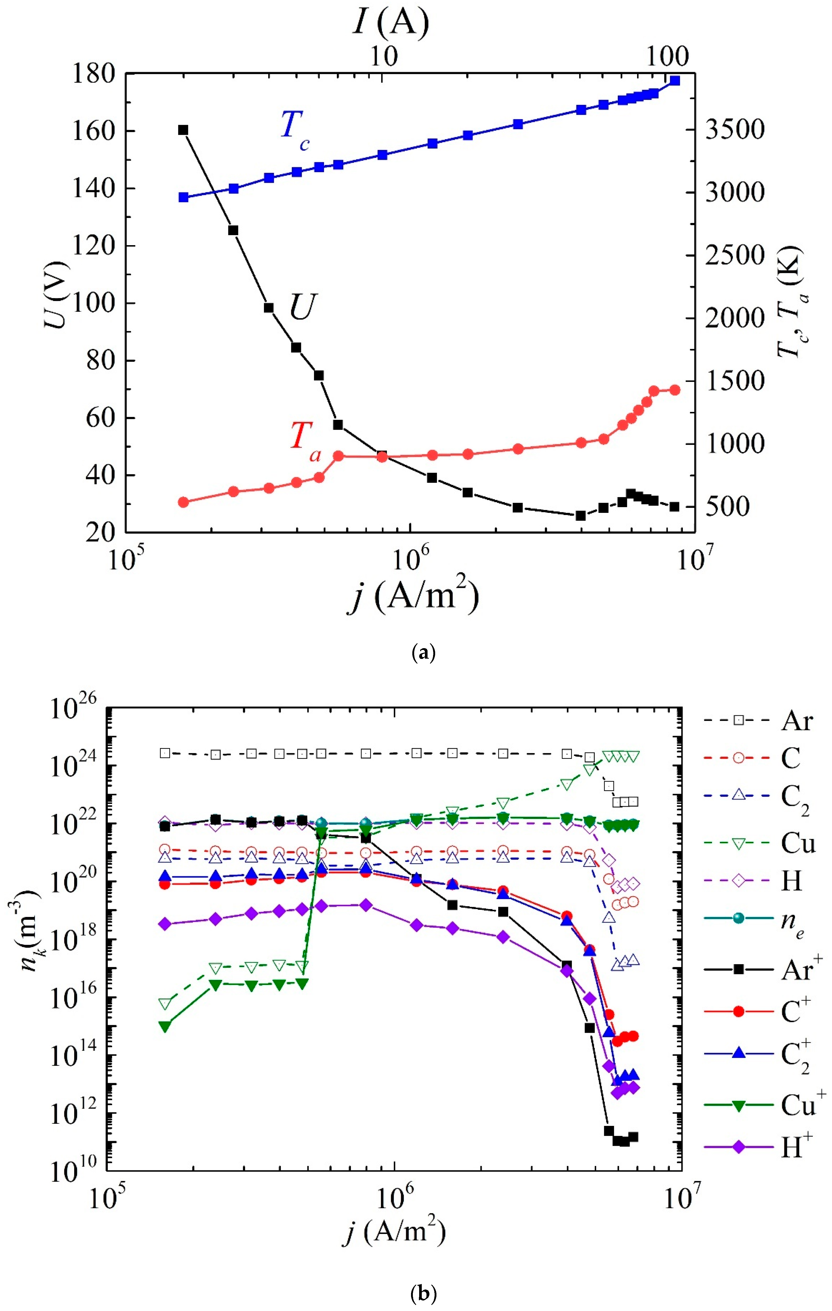
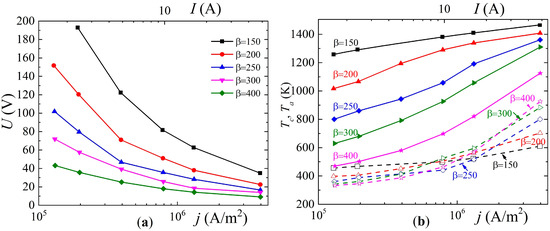
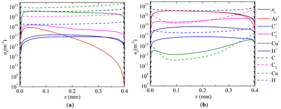
- It is shown that in the case of a refractory tungsten cathode, almost the same methane conversion rate is observed, leading to similar values of the density of the main methane conversion products (C, C2, H) at different values of the discharge current density. However, with an increase in the current density, the evaporation rate of copper atoms from the anode increases, and a jump in the j–V characteristic is observed, caused by a change in the plasma-forming ion. This is due to the lower ionization energy of copper atoms compared to argon atoms. In this mode, an increase in metal–carbon nanoparticles is expected.
- (2)
- It is shown that in the arc discharge mode with a refractory tungsten cathode, higher gas temperatures are observed in the discharge gap, while the dominant types of particles from which the nanostructure can begin to be synthesized in descending order are copper atoms Cu, carbon atoms C, and carbon clusters C2.
- (3)
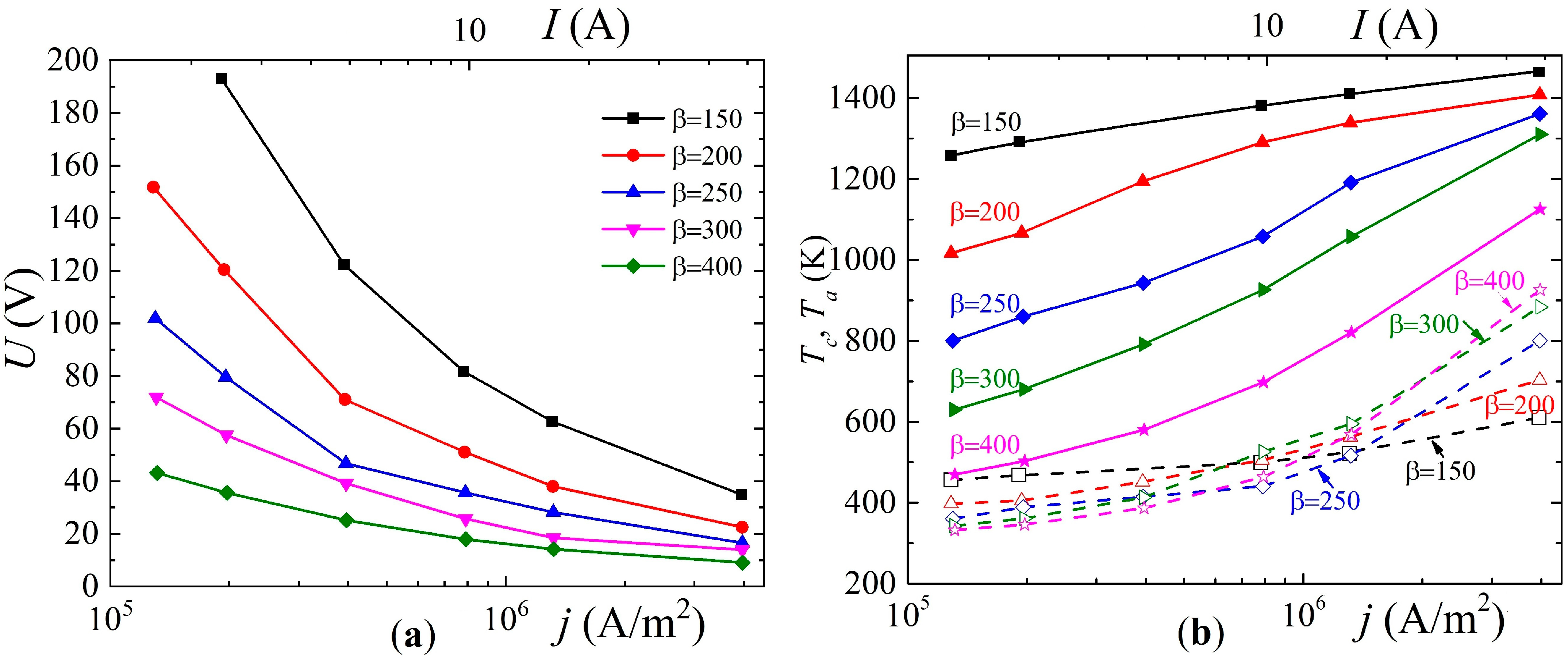
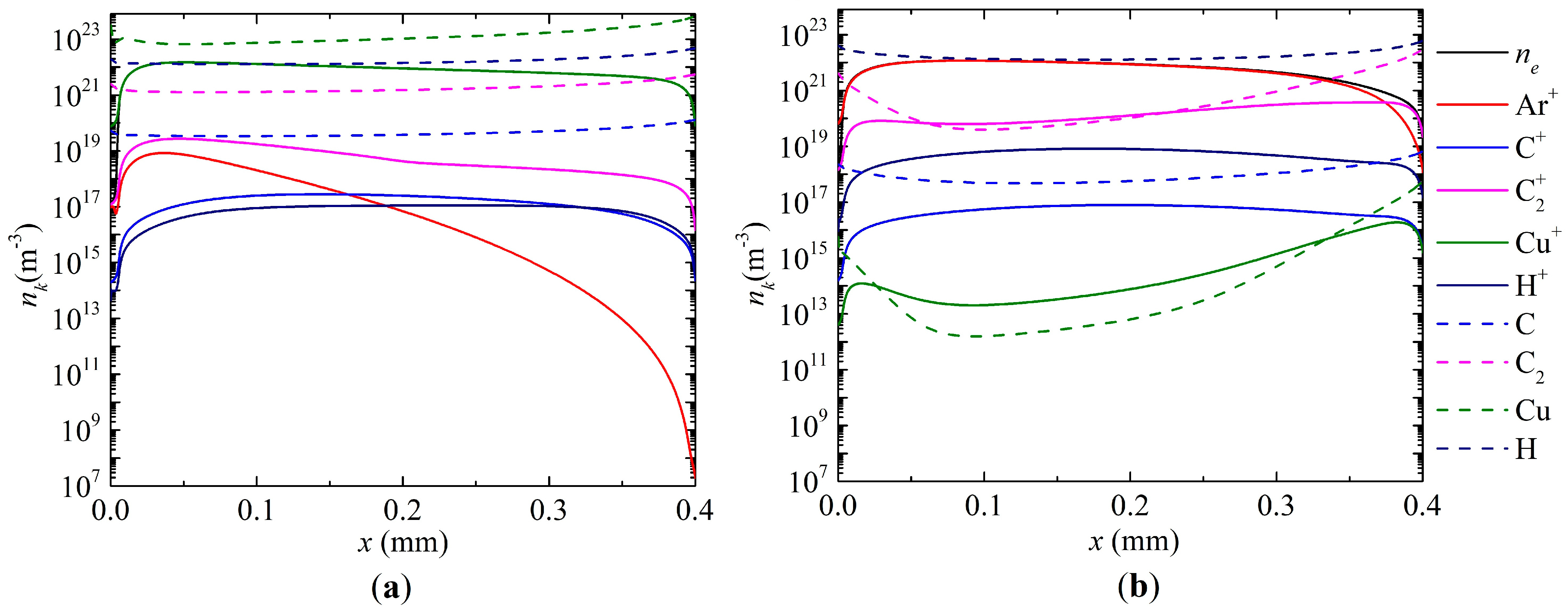
- It is shown that in the case of a cathode made of non-refractory copper, the discharge characteristics and the component composition of the plasma depend on the field enhancement factor near the cathode surface. It is demonstrated that increasing the field enhancement factor leads to more efficient thermal field emission, lowering the cathode surface temperature and the gas temperature in the discharge gap. This leads to the fact that, in the arc discharge mode with a cathode made of non-refractory copper, the dominant types of particles from which the synthesis of a nanostructure can begin are, in descending order, copper atoms (Cu), carbon clusters (C2), and carbon atoms (C). In this mode, we should expect the growth of carbon nanoparticles, particularly nanodiamonds, with copper acting as a catalyst for their growth or copper carbides.
Author Contributions
Funding
Data Availability Statement
Conflicts of Interest
Correction Statement
Appendix A
| R | Reaction | Reaction Constant kj, m3/s, m6/s, or 1/s | Reference |
|---|---|---|---|
| 1 | [53] | ||
| 2 | [53] | ||
| 3 | [53] | ||
| 4 | [53] | ||
| 5 | [57,58] | ||
| 6 | [57,58] | ||
| 7 | [57,58] | ||
| 8 | [57,58] | ||
| 9 | [57,58] | ||
| 10 | [57,58] | ||
| 11 | [57,58] | ||
| 12 | [57,58] | ||
| 13 | [57,58] | ||
| 14 | [57,58] | ||
| 15 | [57,58] |
| R | Reaction | Reaction Constant kj m3/s, m6/s | Energy (eV) | Reference |
|---|---|---|---|---|
| 1 | - | [80,84,85,86] | ||
| 2 | 12.9 | [80] | ||
| 3 | 14.3 | [80] | ||
| 4 | 7.5 | [80] | ||
| 5 | 16.2 | [80] | ||
| 6 | 9.1 | [80] | ||
| 7 | 22.2 | [80,84,85,86] | ||
| 8 | 15.5 | [80,84,85,86] | ||
| 9 | 10 | [80,84,85,86] | ||
| 10 | 10 | [80,84,85,86] | ||
| 11 | 11 | [80,84,85,86] | ||
| 12 | 11 | [80,84,85,86] | ||
| 13 | 10 | [80,84,85,86] | ||
| 14 | 10 | [80,84,85,86] | ||
| 15 | 11 | [80,84,85,86] | ||
| 16 | 10 | [80,84,85,86] | ||
| 17 | 0.11, 0.36 | [80,84,85,86] | ||
| 18 | - | [80,84,85,86] | ||
| 19 | 11 | [80,84,85,86] | ||
| 20 | 13 | [80,84,85,86] | ||
| 21 | 12 | [80,84,85,86] | ||
| 22 | 10 | [80,84,85,86] | ||
| 23 | 10 | [80,84,85,86] | ||
| 24 | 10 | [80,84,85,86] | ||
| 25 | 11 | [80,84,85,86] | ||
| 26 | 13 | [80,84,85,86] | ||
| 27 | 12 | [80,84,85,86] | ||
| 28 | - | [80,84,85,86] | ||
| 29 | 12 | [80,84,85,86] | ||
| 30 | 10.5 | [80,84,85,86] | ||
| 31 | 12 | [80,84,85,86] | ||
| 32 | 10 | [80,84,85,86] | ||
| 33 | 10 | [80,84,85,86] | ||
| 34 | 10 | [80,84,85,86] | ||
| 35 | 10 | [80,84,85,86] | ||
| 36 | 10 | [80,84,85,86] | ||
| 37 | 12 | [80,84,85,86] | ||
| 38 | 8.1 | [80,84,85,86] | ||
| 39 | - | [80,84,85,86] | ||
| 40 | 11.43 | [80,84,85,86] | ||
| 41 | 10 | [80,84,85,86] | ||
| 42 | 8.7 | [80,84,85,86] | ||
| 43 | 10 | [80,84,85,86] | ||
| 44 | 8.8 | [80,84,85,86] | ||
| 45 | 12 | [80,84,85,86] | ||
| 46 | 11.8 | [80,84,85,86] | ||
| 47 | - | [80,84,85,86] | ||
| 48 | - | [80,84,85,86] | ||
| 49 | 15.4 | [80,84,85,86] | ||
| 50 | 13.6 | [80,84,85,86] | ||
| 51 | 14.68 | [80,84,85,86] | ||
| 52 | - | [64,65] | ||
| 53 | - | [64,65] | ||
| 54 | 11.26 | [64,65] | ||
| 55 | 8.864 | [64,65] | ||
| 56 | −8.864 | [64,65] | ||
| 57 | 2.414 | [64,65] | ||
| 58 | 11.79 | [64,65] | ||
| 59 | 2.394 | [64,65] | ||
| 60 | −2.394 | [64,65] | ||
| 61 | 9.396 | [64,65] | ||
| 62 | 6.1 | [64,65] | ||
| 63 | - | [64,65] | ||
| 64 | - | [64,65] | ||
| 65 | - | [64,65] | ||
| 66 | 7.14 × 106 | - | [64,65] |
| R | Reaction | Reaction Constant kj, m3/s, m6/s, or 1/s | Reference |
|---|---|---|---|
| Reactions involving neutral particles | |||
| 1 | [81] | ||
| 2 | [81] | ||
| 3 | [81] | ||
| 4 | [81] | ||
| 5 | [81] | ||
| 6 | [81] | ||
| 7 | [81] | ||
| 8 | [81] | ||
| 9 | [81] | ||
| 10 | [81] | ||
| 11 | [81] | ||
| 12 | [81] | ||
| 13 | [81] | ||
| 14 | [81] | ||
| 15 | [81] | ||
| 16 | [81] | ||
| 17 | [81] | ||
| 18 | [81] | ||
| 19 | [81] | ||
| 20 | * | [64,65] | |
| 21 | * | [64,65] | |
| 22 | * | [64,65] | |
| 23 | [64,65] | ||
| 24 | [64,65] | ||
| 25 | [64,65] | ||
| 26 | [81] | ||
| 27 | [81] | ||
| 28 | [81] | ||
| 29 | [81] | ||
| 30 | [81] | ||
| 31 | [81] | ||
| Reactions involving ions | |||
| 32 | [82] | ||
| 33 | [82] | ||
| 34 | [82] | ||
| 35 | [82] | ||
| 36 | [82] | ||
| 37 | [82] | ||
| 38 | [82] | ||
| 39 | [82] | ||
| 40 | [82] | ||
| 41 | [82] | ||
| 42 | [82] | ||
| 43 | [82] | ||
| 44 | [82] | ||
| 45 | [82] | ||
| 46 | [82] | ||
| 47 | [82] | ||
| 48 | [82] | ||
| 49 | [82] | ||
| 50 | [82] | ||
| 51 | [82] | ||
| 52 | [82] | ||
| 53 | [82] | ||
| 54 | [82] | ||
| 55 | [82] | ||
| 56 | [64,65] | ||
| 57 | [64,65] | ||
| 58 | [64,65] | ||
| 59 | * | [64,65] | |
| 60 | * | [64,65] | |
| 61 | * | [64,65] | |
| 62 | [13] | ||
| 63 | [13] | ||
| 64 | [13] | ||
| 65 | [13] | ||
| 66 | [13] | ||
| R | Symbol | Energy (eV) | Stat Weight | Effective Level Components |
|---|---|---|---|---|
| 1 | 0 | 2 | ||
| 2 | Cu(D1) | 1.39 | 6 | 2 |
| 3 | Cu(D2) | 1.64 | 4 | 2 |
| 4 | Cu(P1) | 3.79 | 2 | 2 |
| 5 | Cu(P2) | 3.82 | 4 | 2 |
| 6 | Cu* | 5.20 | 60 | 4 |
| 7 | Cu** | 6.17 | 16 | |
| 8 | Cu+ | 7.72 | 1 | Cu+ |
References
- Shigeta, M.; Murphy, A.B. Thermal plasmas for nanofabrication. J. Phys. D Appl. Phys. 2011, 44, 174025. [Google Scholar] [CrossRef]
- Meyyappan, M. Plasma nanotechnology: Past, present and future. J. Phys. D Appl. Phys. 2011, 44, 174002. [Google Scholar] [CrossRef]
- Ostrikov, K. Plasma Nanoscience: Basic Concepts and Applications of Deterministic Nanofabrication; Wiley-VCH Verlag: Weinheim, Germany, 2008; pp. 1–563. [Google Scholar]
- Jiang, Q.; Ren, Y.; Yang, Y.; Liu, H.; Wang, L.; Li, J.; Dai, L.; He, Z. High-activity and stability graphite felt supported by Fe, N, S co-doped carbon nanofibers derived from bimetal-organic framework for vanadium redox flow battery. Chem. Eng. J. 2023, 460, 141751. [Google Scholar] [CrossRef]
- Journet, C.; Maser, W.K.; Bernier, P.; Loiseau, A.; de la Chapelle, M.L.; Lefrant, S.; Deniard, P.; Lee, R.; Fischer, J.E. Large-scale production of single-walled carbon nanotubes by the electric-arc technique. Nature 1997, 388, 756–758. [Google Scholar] [CrossRef]
- Adamovich, I.; Baalrud, S.D.; Bogaerts, A.; Bruggeman, P.J.; Cappelli, M.; Colombo, V.; Czarnetzki, U.; Ebert, U.; Eden, J.G.; Favia, P.; et al. The 2017 Plasma Roadmap: Low temperature plasma science and technology. J. Phys. D Appl. Phys. 2017, 50, 323001. [Google Scholar] [CrossRef]
- Adamovich, I.; Agarwal, S.; Ahedo, E.; Alves, L.L.; Baalrud, S.; Babaeva, N.; Bogaerts, A.; Bourdon, A.; Bruggeman, P.J.; Canal, C.; et al. The 2022 Plasma Roadmap: Low temperature plasma science and technology. J. Phys. D Appl. Phys. 2022, 55, 373001. [Google Scholar] [CrossRef]
- Chiappim, W.; Neto, B.; Journet, C.; Picher, M.; Jourdain, V. Carbon nanotube synthesis: From large-scale production to atom-by-atom growth. Nanotechnology 2012, 23, 142001. [Google Scholar] [CrossRef]
- Chiappim, W.; Neto, B.B.; Shiotani, M.; Karnopp, J.; Gonçalves, L.; Chaves, J.P.; Sobrinho, A.d.S.; Leitão, J.P.; Fraga, M.; Pessoa, R. Plasma-Assisted Nanofabrication: The Potential and Challenges in Atomic Layer Deposition and Etching. Nanomaterials 2022, 12, 3497. [Google Scholar] [CrossRef]
- Miakonkikh, A.; Kuzmenko, V. Formation of Black Silicon in a Process of Plasma Etching with Passivation in a SF6/O2 Gas Mixture. Nanomaterials 2024, 14, 945. [Google Scholar] [CrossRef]
- Iijima, S. Helical microtubules of graphitic carbon. Nature 1991, 354, 56–58. [Google Scholar] [CrossRef]
- Ostrikov, K.; Cvelbar, U.; Murphy, A.B. Plasma nanoscience: Setting directions, tackling grand challenges. J. Phys. D Appl. Phys. 2011, 44, 17. [Google Scholar] [CrossRef]
- Hwang, S.H.; Koga, K.; Hao, Y.; Attri, P.; Okumura, T.; Kamataki, K.; Itagaki, N.; Shiratani, M.; Oh, J.-S.; Takabayashi, S.; et al. Time of Flight Size Control of Carbon Nanoparticles Using Ar+CH4 Multi-Hollow Discharge Plasma Chemical Vapor Deposition Method. Processes 2021, 9, 2. [Google Scholar] [CrossRef]
- Tsyganov, D.; Bundaleska, N.; Tatarova, E. On the plasma-based growth of ‘flowing’graphene sheets at atmospheric pressure conditions. Plasma Sources Sci. Technol. 2015, 25, 015013. [Google Scholar] [CrossRef]
- Denysenko, I.B.; Xu, S.; Long, J.D. Inductively coupled Ar/CH4/H2 plasmas for low-temperature deposition of ordered carbon nanostructures. J. Appl. Phys. 2004, 95, 2713–2724. [Google Scholar] [CrossRef]
- Kim, H.J.; Lee, K.; Park, H. Effect of dilution gas on the distribution characteristics of capacitively coupled plasma by comparing SiH4/He and SiH4/Ar. Plasma Sources Sci. Technol. 2023, 32, 115008. [Google Scholar] [CrossRef]
- Kundrapu, M.; Keidar, M. Numerical simulation of carbon arc discharge for nanoparticle synthesis. Phys. Plasmas. 2012, 19, 073510. [Google Scholar] [CrossRef]
- Keidar, M.; Beilis, I.I. Modeling of atmospheric-pressure anodic carbon arc producing carbon nanotubes. J. Appl. Phys. 2009, 106, 103304. [Google Scholar] [CrossRef]
- Qin, B.; Zhang, T.; Chen, H.; Ma, Y. The growth mechanism of few-layer graphene in the arc discharge process. Carbon 2016, 102, 494–498. [Google Scholar] [CrossRef]
- Park, Y.S.; Kodama, S.; Sekiguchi, H. Preparation of Metal Nitride Particles Using Arc Discharge in Liquid Nitrogen. Nanomaterials 2021, 11, 2214. [Google Scholar] [CrossRef] [PubMed]
- Vekselman, V.; Raitses, Y.; Shneider, M.N. Growth of nanoparticles in dynamic plasma. Phys. Rev. E 2019, 99, 063205. [Google Scholar] [CrossRef] [PubMed]
- Timerkaev, B.A.; Kaleeva, A.A.; Timerkaeva, D.B.; Saifutdinov, A.I. Germanium catalyst for plasma-chemical synthesis of diamonds. High Energy Chem. 2019, 53, 390–395. [Google Scholar] [CrossRef]
- Musielok, J. Non-Equilibrium Effects in He-Ar-H Arc Plasma. Contrib. Plasma Phys. 1977, 17, 135–143. [Google Scholar] [CrossRef]
- Cram, L.E.; Poladian, L.; Roumeliotis, G. Departures from equilibrium in a free burning argon arc. J. Phys. D Appl. Phys. 1988, 21, 418–425. [Google Scholar] [CrossRef]
- Farmer, A.J.D.; Haddad, G.N. Rayleigh scattering measurements in a free-burning argon arc. J. Phys. D Appl. Phys. 1988, 21, 426–431. [Google Scholar] [CrossRef]
- Benilov, M.S. Understanding and modelling plasma–electrode interaction in high-pressure arc discharges: A review. J. Phys. D Appl. Phys. 2008, 41, 144001. [Google Scholar] [CrossRef]
- Odenbach, S. Recent progress in magnetic fluid research. J. Phys. Condens. Matter 2004, 16, R1135. [Google Scholar] [CrossRef]
- Wang, C.; Zhai, P.; Zhang, Z.; Zhou, Y.; Ju, J.; Shi, Z.; Ma, D.; Han, R.P.S.; Huang, F. Synthesis of highly stable graphene-encapsulated iron nanoparticles for catalytic syngas conversion. Part. Part. Syst. Charact. 2015, 32, 29–34. [Google Scholar] [CrossRef]
- Jing, S.; Lu, J.; Yu, G.; Yin, S.; Luo, L.; Zhang, Z.; Ma, Y.; Chen, W.; Shen, P.K. Carbon-encapsulated WOx hybrids as efficient catalysts for hydrogen evolution. Adv. Mater. 2018, 30, 1705979. [Google Scholar] [CrossRef] [PubMed]
- Nagatsu, M.; Yoshida, T.; Mesko, M.; Ogino, A.; Matsuda, T.; Tanaka, T.; Tatsuoka, H.; Murakami, K. Narrow multi-walled carbon nanotubes produced by chemical vapor deposition using graphene layer encapsulated catalytic metal particles. Carbon 2006, 44, 3336–3341. [Google Scholar] [CrossRef]
- Xu, Y.; Shan, Y.; Zhang, Y.; Yu, B.; Shen, Y.; Cong, H. Multifunctional Fe3O4@C-based nanoparticles coupling optical/MRI imaging and pH/photothermal controllable drug release as efficient anti-cancer drug delivery platforms. Nanotechnology 2019, 30, 425102. [Google Scholar] [CrossRef] [PubMed]
- Kelly, K.L.; Coronado, E.; Zhao, L.L.; Schatz, G.C. The optical properties of metal nanoparticles: The influence of size, shape, and dielectric environment. J. Phys. Chem. B 2003, 107, 668–677. [Google Scholar] [CrossRef]
- Liu, L.; Corma, A. Metal catalysts for heterogeneous catalysis: From single atoms to nanoclusters and nanoparticles. Chem. Rev. 2018, 118, 4981–5079. [Google Scholar] [CrossRef] [PubMed]
- Cuenya, B.R. Synthesis and catalytic properties of metal nanoparticles: Size, shape, support, composition, and oxidation state effects. Thin Solid Film. 2010, 518, 3127–3150. [Google Scholar] [CrossRef]
- Xu, Y.; Ma, Y.; Liu, Y.; Feng, S.; He, D.; Haghi-Ashtiani, P.; Dichiara, A.; Zimmer, L.; Bai, J. Evolution of nanoparticles in the gas phase during the floating chemical vapor deposition synthesis of carbon nanotubes. J. Phys. Chem. 2018, 122, 6437–6446. [Google Scholar] [CrossRef]
- Schünemann, C.; Schäffel, F.; Bachmatiuk, A.; Queitsch, U.; Sparing, M.; Rellinghaus, B.; Lafdi, K.; Schultz, L.; Büchner, B.; Rümmeli, M.H. Catalyst poisoning by amorphous carbon during carbon nanotube growth: Fact or fiction? ACS Nano. 2011, 5, 8928–8934. [Google Scholar] [CrossRef]
- Shi, Z.; Lian, Y.; Liao, F.H.; Zhou, X.; Gu, Z.; Zhang, Y.; Iijima, S.; Li, H.; Yue, K.T.; Zhang, S.-L. Large scale synthesis of single-wall carbon nanotubes by arc-discharge method. J. Phys. Chem. Solids. 2000, 61, 1031–1036. [Google Scholar] [CrossRef]
- Yatom, S.; Selinsky, R.S.; Koel, B.E.; Raitses, Y. “Synthesis-on” and “synthesis-off” modes of carbon arc operation during synthesis of carbon nanotubes. Carbon 2017, 125, 336–343. [Google Scholar] [CrossRef]
- Keidar, M.; Waas, A.M. On the conditions of carbon nanotube growth in the arc discharge. Nanotechnology 2004, 15, 1571. [Google Scholar] [CrossRef][Green Version]
- Cheung, C.L.; Kurtz, A.; Park, H.; Lieber, C.M. Diameter-controlled synthesis of carbon nanotubes. J. Phys. Chem. 2002, 106, 2429–2433. [Google Scholar] [CrossRef]
- Nasibulin, A.G.; Pikhitsa, P.V.; Jiang, H.; Kauppinen, E.I. Correlation between catalyst particle and single-walled carbon nanotube diameters. Carbon 2005, 43, 2251–2257. [Google Scholar] [CrossRef]
- Zhang, X.; Graves, B.; De Volder, M.; Yang, W.; Johnson, T.; Wen, B.; Su, W.; Nishida, R.; Xie, S.; Boies, A. High-precision solid catalysts for investigation of carbon nanotube synthesis and structure. Sci. Adv. 2020, 6, eabb6010. [Google Scholar] [CrossRef] [PubMed]
- Dong, X.L.; Zhang, Z.D.; Xiao, Q.F.; Zhao, X.G.; Chuang, Y.C.; Jin, S.R.; Sun, W.M.; Li, Z.J.; Zheng, Z.X.; Dong, X.L. Characterization of ultrafine -Fe(C), -Fe(C) and Fe3C particles synthesized by arc-discharge in methane. J. Mater. Sci. 1998, 33, 1915–1919. [Google Scholar] [CrossRef]
- Hao, C.; Xiao, F.; Cui, Z. Preparation and structure of carbon encapsulated copper nanoparticles. J. Nanopart. Res. 2008, 10, 47–51. [Google Scholar] [CrossRef]
- Zhang, X.; Rao, Y.; Guo, J.; Qin, G. Multiple-phase carbon-coated FeSn2/Sn nanocomposites for high-frequency microwave absorption. Carbon 2016, 96, 972–979. [Google Scholar] [CrossRef]
- Sunny, V.; Sakthi Kumar, D.; Yoshida, Y.; Makarewicz, M.; Tabi‘s, W.; Anantharaman, M.R. Synthesis and properties of highly stable nickel/carbon core/shell nanostructures. Carbon 2010, 48, 1643–1651. [Google Scholar] [CrossRef]
- Roy, N.C.; Talukder, M.R. Effect of pressure on the properties and species production in gliding arc Ar, O2, and air discharge plasmas. Phys. Plasmas 2018, 25, 093502. [Google Scholar] [CrossRef]
- Syed, B.; Hsu, T.W.; Chaar, A.B.B.; Polcik, P.; Kolozsvari, S.; Håkansson, G.; Rosen, J.; Johnson, L.J.S.; Zhirkov, I.; Andersson, J.M.; et al. Effect of varying N2 pressure on DC arc plasma properties and microstructure of TiAlN coatings. Plasma Sources Sci. Technol. 2020, 29, 095015. [Google Scholar] [CrossRef]
- Gutsch, A.; Mühlenweg, H.; Krämer, M. Tailor-made nanoparticles via gas-phase synthesis. Small 2004, 1, 30–46. [Google Scholar] [CrossRef] [PubMed]
- Tanaka, M.; Tashiro, S.; Satoh, T.; Murphy, A.B.; Lowke, J.J. Influence of shielding gas composition on arc properties in TIG welding. Sci. Technol. Weld. Join. 2008, 13, 225–231. [Google Scholar] [CrossRef]
- Musikhin, S.; Nemchinsky, V.A.; Raitses, Y. Growth of metal nanoparticles in hydrocarbon atmosphere of arc discharge. Nanotechnology 2024, 35, 385601. [Google Scholar] [CrossRef]
- Johnson, P.L.; Hanson, R.J.; Carlos, S.; Taylor, R.W. 2017 Plasma Reactor. U.S. Patent 9,574,086 B2, 31 January 2024. [Google Scholar]
- Predtechenskiy, M.R. 2020 Method and Apparatus for Producing Carbon Nanostructures. U.S. Patent 2020/0239316 A1, 5 April 2022. [Google Scholar]
- Saifutdinov, A.I. Numerical study of various scenarios for the formation of atmospheric pressure DC discharge characteristics in argon: From glow to arc discharge. Plasma Sources Sci. Technol. 2022, 31, 094008. [Google Scholar] [CrossRef]
- Saifutdinov, A.I. Unified simulation of different modes in atmospheric pressure DC discharges in nitrogen. J. Appl. Phys. 2021, 129, 093302. [Google Scholar] [CrossRef]
- Saifutdinov, A.I.; Timerkaev, B.A.; Saifutdinova, A.A. Features of Transient Processes in DC Microdischarges in Molecular Gases: From a Glow Discharge to an Arc Discharge with an Unfree or Free Cathode Regime. JETP Lett. 2020, 112, 405–412. [Google Scholar] [CrossRef]
- Saifutdinov, A.I.; Fairushin, I.I.; Kashapov, N.F. Analysis of various scenarios of the behavior of voltage-current characteristics of direct-current microdischarges at atmospheric pressure. JETP Lett. 2016, 104, 180–185. [Google Scholar] [CrossRef]
- Baeva, M.; Loffhagen, D.; Uhrlandt, D. Unified non-equilibrium modelling of tungsten-inert gas microarcs in atmospheric pressure argon. Plasma Chem. Plasma Process. 2019, 39, 1359–1378. [Google Scholar] [CrossRef]
- Baeva, M. Fluid modelling of DC argon microplasmas: Effects of the electron transport description. Plasma Chem. Plasma Process. 2019, 39, 949–968. [Google Scholar] [CrossRef]
- Benilov, M.S. Modeling the physics of interaction of high-pressure arcs with their electrodes: Advances and challenges. J. Phys. D Appl. Phys. 2020, 53, 013002. [Google Scholar] [CrossRef]
- Khrabry, A.; Kaganovich, I.D.; Nemchinsky, V.; Khodak, A. Investigation of the short argon arc with hot anode. II. Analytical model. Phys. Plasmas 2018, 25, 1. [Google Scholar] [CrossRef]
- Chen, J.; Khrabry, A.; Kaganovich, I.D.; Khodak, A.; Vekselman, V.; Li, H.P. Validated two-dimensional modeling of short carbon arcs: Anode and cathode spots. Phys. Plasmas 2020, 27, 8. [Google Scholar] [CrossRef]
- Saifutdinov, A.I.; Sorokina, A.R.; Boldysheva, V.K.; Latypov, E.R.; Saifutdinova, A.A. Evaporation of Carbon Atoms and Molecules in Helium by Low-Current Arc Discharge with Graphite Electrodes. High Energy Chem. 2022, 56, 477–486. [Google Scholar] [CrossRef]
- Mansour, A.R.; Hara, K. Multispecies plasma fluid simulation for carbon arc discharge. J. Phys. D Appl. Phys. 2019, 52, 105204. [Google Scholar] [CrossRef]
- Saifutdinov, A.; Timerkaev, B. Modeling and Comparative Analysis of Atmospheric Pressure Anodic Carbon Arc Discharge in Argon and Helium–Producing Carbon Nanostructures. Nanomaterials 2023, 13, 1966. [Google Scholar] [CrossRef] [PubMed]
- Baeva, M.; Boretskij, V.F.; Gonzalez, D.; Methling, R.; Murmantsev, O.; Uhrlandt, D.; Veklich, A. Unified modelling of low-current short-length arcs between copper electrodes. J. Phys. D Appl. Phys. 2020, 54, 025203. [Google Scholar] [CrossRef]
- Benilov, M.S.; Jacobsson, S.; Kaddani, A.; Zahrai, S. Vaporization of a solid surface in an ambient gas. J. Phys. D Appl. Phys. 2001, 34, 1993–1999. [Google Scholar] [CrossRef]
- Saifutdinov, A.I.; Germanov, N.P.; Sorokina, A.R.; Saifutdinova, A.A. Numerical Analysis of the Influence of Evaporation of the High-and Low-Melting-Point Anode Materials on Parameters of a Microarc Discharge. Plasma Phys. Rep. 2023, 49, 1187–1198. [Google Scholar] [CrossRef]
- Raiser, Y.P. Physics of Gas Discharge; Intellect: Moscow, Russia, 2009. (In Russian) [Google Scholar]
- Murphy, E.L.; Good, R.H., Jr. Thermionic emission, field emission, and the transition region. Phys. Rev. 1956, 102, 1464. [Google Scholar] [CrossRef]
- Ecker, G.; Müller, K.G. Electron emission from the arc cathode under the influence of the individual field component. J. Appl. Phys. 1959, 30, 1466–1467. [Google Scholar] [CrossRef]
- Coulombe, S.; Meunier, J.L. A comparison of electron-emission equations used in arc-cathode interaction calculations. J. Phys. D Appl. Phys. 1997, 30, 2905. [Google Scholar] [CrossRef]
- Nemchinsky, V. Simple algorithm to calculate TF electron emission current density. IEEE Trans. Dielectr. Electr. Insul. 2004, 11, 551–553. [Google Scholar] [CrossRef]
- Benilov, M.S.; Benilova, L.G. Field to thermo-field to thermionic electron emission: A practical guide to evaluation and electron emission from arc cathodes. J. Appl. Phys. 2013, 114, 6. [Google Scholar] [CrossRef]
- Hantzsche, E. The thermo-field emission of electrons in arc discharges. Beiträge Aus Der Plasmaphys. 1982, 22, 325–346. [Google Scholar] [CrossRef]
- Lin, C.; Chen, J.; Wang, H.; Fu, Y. Unification of the breakdown criterion for thermal field emission-driven microdischarges. Appl. Phys. Lett. 2024, 125, 10. [Google Scholar] [CrossRef]
- Knacke, O.; Stranski, I.N. The mechanism of evaporation. Prog. Met. Phys. 1956, 6, 181–235. [Google Scholar] [CrossRef]
- Saifutdinov, A.; Saifutdinova, A.A.; Sorokina, A.R.; Germanov, N.P. Comparative Analysis of Different Sets of Elementary Processes in Modeling DC Discharge in Argon at Atmospheric Pressure. High Energy Chem. 2023, 57, S178–S181. [Google Scholar] [CrossRef]
- Janev, R.K.; Reiter, D. Collision processes of C2,3Hy and C2,3Hy+ hydrocarbons with electrons and protons. Phys. Plasmas 2004, 11, 780–829. [Google Scholar] [CrossRef]
- Alman, D.A.; Ruzic, D.N.; Brooks, J.N. A hydrocarbon reaction model for low temperature hydrogen plasmas and an application to the Joint European Torus. Phys. Plasmas 2000, 7, 1421–1432. [Google Scholar] [CrossRef]
- Heintze, M.; Magureanu, M.; Kettlitz, M. Mechanism of C2 hydrocarbon formation from methane in a pulsed microwave plasma. J. Appl. Phys. 2002, 92, 7022–7031. [Google Scholar] [CrossRef]
- Tachibana, K.; Nishida, M.; Harima, H.; Urano, Y. Diagnostics and modelling of a methane plasma used in the chemical vapour deposition of amorphous carbon films. J. Phys. D Appl. Phys. 1984, 17, 1727. [Google Scholar] [CrossRef]
- De Bie, C.; Verheyde, B.; Martens, T.; van Dijk, J.; Paulussen, S.; Bogaerts, A. Fluid Modeling of the Conversion of Methane into Higher Hydrocarbons in an Atmospheric Pressure Dielectric Barrier Discharge. Plasma Process. Polym. 2011, 8, 1033–1058. [Google Scholar] [CrossRef]
- Wang, Y.; Zatsarinny, O.; Bartschat, K. B-spline R-matrix-with-pseudostates calculations for electron-impact excitation and ionization of carbon. Phys. Rev. A 2013, 87, 012704. [Google Scholar] [CrossRef]
- Available online: https://www.lxcat.net/IST-Lisbon (accessed on 19 March 2020).
- Available online: https://www.lxcat.net/Hayashi (accessed on 19 March 2024).
- Bogaerts, A.; Gijbels, R.; Carman, R. Collisional–radiative model for the sputtered copper atoms and ions in a direct current argon glow discharge. Spectrochim. Acta Part B At. Spectrosc. 1998, 53, 1679–1703. [Google Scholar] [CrossRef]
- Bogaerts, A.; Gijbels, R. Hybrid modeling network for a helium–argon–copper hollow cathode discharge used for laser applications. J. Appl. Phys. 2002, 92, 6408–6422. [Google Scholar] [CrossRef]










Disclaimer/Publisher’s Note: The statements, opinions and data contained in all publications are solely those of the individual author(s) and contributor(s) and not of MDPI and/or the editor(s). MDPI and/or the editor(s) disclaim responsibility for any injury to people or property resulting from any ideas, methods, instructions or products referred to in the content. |
© 2024 by the authors. Licensee MDPI, Basel, Switzerland. This article is an open access article distributed under the terms and conditions of the Creative Commons Attribution (CC BY) license (https://creativecommons.org/licenses/by/4.0/).
Share and Cite
Saifutdinov, A.; Timerkaev, B. Simulation of Arc Discharge in an Argon/Methane Mixture, Taking into Account the Evaporation of Anode Material in Problems Related to the Synthesis of Functional Nanostructures. Nanomaterials 2025, 15, 54. https://doi.org/10.3390/nano15010054
Saifutdinov A, Timerkaev B. Simulation of Arc Discharge in an Argon/Methane Mixture, Taking into Account the Evaporation of Anode Material in Problems Related to the Synthesis of Functional Nanostructures. Nanomaterials. 2025; 15(1):54. https://doi.org/10.3390/nano15010054
Chicago/Turabian StyleSaifutdinov, Almaz, and Boris Timerkaev. 2025. "Simulation of Arc Discharge in an Argon/Methane Mixture, Taking into Account the Evaporation of Anode Material in Problems Related to the Synthesis of Functional Nanostructures" Nanomaterials 15, no. 1: 54. https://doi.org/10.3390/nano15010054
APA StyleSaifutdinov, A., & Timerkaev, B. (2025). Simulation of Arc Discharge in an Argon/Methane Mixture, Taking into Account the Evaporation of Anode Material in Problems Related to the Synthesis of Functional Nanostructures. Nanomaterials, 15(1), 54. https://doi.org/10.3390/nano15010054

