Adsorption of Polylactic-co-Glycolic Acid on Zinc Oxide Systems: A Computational Approach to Describe Surface Phenomena
Abstract
1. Introduction
2. Materials and Methods
3. Results and Discussions
3.1. Ground and Excited State ZnO Properties
3.2. Structural and Electrical Variation Induced by PLGA Adsorption
3.3. Optical Modifications Induced by PLGA Adsorption
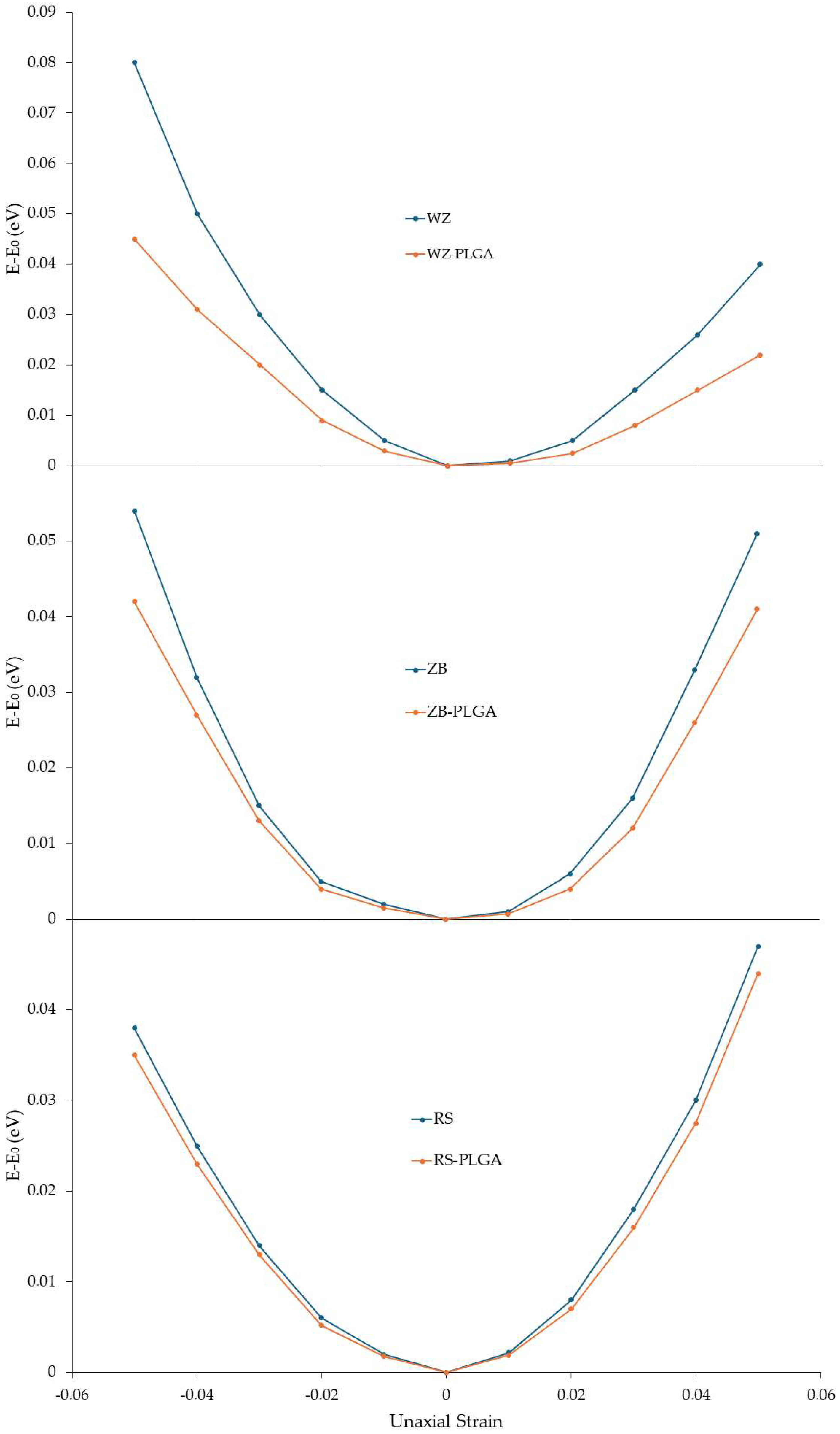
3.4. Mechanical Properties of PLGA-ZnO Systems
4. Conclusions
Author Contributions
Funding
Data Availability Statement
Acknowledgments
Conflicts of Interest
References
- Perinelli, D.R.; Cespi, M.; Bonacucina, G.; Palmieri, G.F. PEGylated polylactide (PLA) and poly (lactic-co-glycolic acid) (PLGA) copolymers for the design of drug delivery systems. J. Pharm. Investig. 2019, 49, 443–458. [Google Scholar] [CrossRef]
- Lam, P.; Gambari, R. Advanced progress of microencapsulation technologies: In vivo and in vitro models for studying oral and transdermal drug deliveries. J. Control. Release 2014, 178, 25–45. [Google Scholar] [CrossRef] [PubMed]
- Stipa, P.; Marano, S.; Galeazzi, R.; Minnelli, C.; Laudadio, E. Molecular dynamics simulations of quinine encapsulation into biodegradable nanoparticles: A possible new strategy against SARS-CoV-2. Eur. Polym. J. 2021, 158, 110685. [Google Scholar] [CrossRef]
- Burmistrov, D.E.; Simakin, A.V.; Smirnova, V.V.; Uvarov, O.V.; Ivashkin, P.I.; Kucherov, R.N.; Ivanov, V.E.; Bruskov, V.I.; Sevostyanov, M.A.; Baikin, A.S.; et al. Bacteriostatic and cytotoxic properties of composite material based on ZnO nanoparticles in PLGA obtained by low temperature method. Polymers 2022, 14, 49. [Google Scholar] [CrossRef] [PubMed]
- Stevanović, M.M.; Škapin, S.D.; Bračko, I.; Milenković, M.; Petković, J.; Filipič, M.; Uskoković, D.P. Poly(lactide-co-glycolide)/silver nanoparticles: Synthesis, characterization, antimicrobial activity, cytotoxicity assessment and ROS-inducing potential. Polymer 2012, 53, 2818–2828. [Google Scholar] [CrossRef]
- Stevanović, M.; Filipović, N.; Djurdjević, J.; Lukić, M.; Milenković, M.; Boccaccini, A. 45S5Bioglass®-based scaffolds coated with selenium nanoparticles or with poly(lactide-co-glycolide)/selenium particles: Processing, evaluation and antibacterial activity. Colloids Surf. B Biointerfaces 2015, 132, 208–215. [Google Scholar] [CrossRef] [PubMed]
- Ashrafi, A.; Jagadish, C. Review of zincblende ZnO: Stability of metastable ZnO phases. J. Appl. Phys. 2007, 102, 071101. [Google Scholar] [CrossRef]
- Sans, J.; Segura, A.; Manjón, F.; Marí, B.; Muñoz, A.; Herrera-Cabrera, M. Optical properties of wurtzite and rock-salt ZnO under pressure. Microelectron. J. 2005, 36, 928–932. [Google Scholar] [CrossRef]
- Sardarabadi, M.; Passandideh-Fard, M.; Maghrebi, M.-J.; Ghazikhani, M. Experimental study of using both ZnO/water nanofluid and phase change material (PCM) in photovoltaic thermal systems. Sol. Energy Mater. Sol. Cells 2017, 161, 62–69. [Google Scholar] [CrossRef]
- Xu, J.; Xue, Z.; Qin, N.; Cheng, Z.; Xiang, Q. The crystal facet-dependent gas sensing properties of ZnO nanosheets: Experimental and computational study. Sens. Actuators B Chem. 2017, 242, 148–157. [Google Scholar] [CrossRef]
- Zhang, H.-J.; Xiong, H.-M.; Ren, Q.-G.; Xia, Y.-Y.; Kong, J.-L. ZnO@silica core–shell nanoparticles with remarkable luminescence and stability in cell imaging. J. Mater. Chem. 2012, 22, 13159–13165. [Google Scholar] [CrossRef]
- Hong, H.; Shi, J.; Yang, Y.; Zhang, Y.; Engle, J.W.; Nickles, R.J.; Wang, X.; Cai, W. Cancer-targeted optical imaging with fluorescent zinc oxide nanowires. Nano Lett. 2011, 11, 3744–3750. [Google Scholar] [CrossRef] [PubMed]
- Ansari, A.A.; Kaushik, A.; Solanki, P.R.; Malhotra, B. Nanostructured zinc oxide platform for mycotoxin detection. Bioelectrochemistry 2010, 77, 75–81. [Google Scholar] [CrossRef] [PubMed]
- Muhammad, F.; Guo, M.; Guo, Y.; Qi, W.; Qu, F.; Sun, F.; Zhao, H.; Zhu, G. Acid degradable ZnO quantum dots as a platform for targeted delivery of an anticancer drug. J. Mater. Chem. 2011, 21, 13406–13412. [Google Scholar] [CrossRef]
- Zhang, H.; Chen, B.; Jiang, H.; Wang, C.; Wang, H.; Wang, X. A strategy for ZnO nanorod mediated multi-mode cancer treatment. Biomaterials 2011, 32, 1906–1914. [Google Scholar] [CrossRef] [PubMed]
- Stanković, A.; Dimitrijević, S.; Uskoković, D. Influence of size scale and morphology on antibacterial properties of ZnO powders hydrothemally synthesized using different surface stabilizing agents. Colloids Surf. B Biointerfaces 2013, 102, 21–28. [Google Scholar] [CrossRef] [PubMed]
- Stevanović, M.; Bračko, I.; Milenković, M.; Filipović, N.; Nunić, J.; Filipič, M.; Uskoković, D.P. Multifunctional PLGA particles containing poly(l-glutamic acid)-capped silver nanoparticles and ascorbic acid with simultaneous antioxidative and prolonged antimicrobial activity. Acta Biomater. 2014, 10, 151–162. [Google Scholar] [CrossRef]
- Laudadio, E.; Mohebbi, E.; Pavoni, E.; Minnelli, C.; Sabbatini, S.; Stipa, P. Density functional theory and molecular dynamics studies on electrical, mechanical, and thermal properties of TiO2 nanoparticles interacting with poly lactic-co-glycolic acid. Colloids Surf. A Physicochem. Eng. Asp. 2023, 667, 131388. [Google Scholar] [CrossRef]
- Online, V.A.; Faridbod, F.; Norouzi, P.; Karimipur, M.R. ZnO nanoparticle-modified polymethyl methacrylate-assisted dispersive liquid–liquid microextraction coupled with MALDI-MS for rapid pathogenic bacteria analysis. RSC Adv. 2015, 4, 45973–45983. [Google Scholar]
- Zhou, J.; Gu, Y.; Fei, P.; Mai, W.; Gao, Y.; Yang, R.; Bao, G.; Wang, Z.L. Flexible piezotronic strain sensor. Nano Lett. 2008, 8, 3035–3040. [Google Scholar] [CrossRef]
- Chen, Y.Y.; Kuo, C.C.; Chen, B.Y.; Chiu, P.C.; Tsai, P.C. Multifunctional polyacrylonitrile-ZnO Ag electrospun nanofiber membranes with various ZnO morphologies for photocatalytic, UV-shielding, and antibacterial applications. J. Polym. Sci. B Polym. Phys. 2015, 53, 262–269. [Google Scholar] [CrossRef]
- Amna, T.; Hassan, M.S.; Sheikh, F.A.; Lee, H.K.; Seo, K.-S.; Yoon, D.; Hwang, I.H. Zinc oxide-doped poly(urethane) spider web nanofibrous scaffold via one-step electrospinning: A novel matrix for tissue engineering. Appl. Microbiol. Biotechnol. 2013, 97, 1725–1734. [Google Scholar] [CrossRef] [PubMed]
- Xiong, M.; Wu, L.; Zhou, S. Preparation and characterization of acrylic latex nano-SiO2 composites. Polym. Int. 2002, 51, 693–698. [Google Scholar] [CrossRef]
- Smidstrup, S.; Markussen, T.; Vancraeyveld, P.; Wellendorff, J.; Schneider, J.; Gunst, T.; Verstichel, B.; Stradi, D.; Khomyakov, P.A.; Vej-Hansen, U.G.; et al. QuantumATK: An integrated platform of electronic and atomic-scale modelling tools. J. Phys. Condens. Matter 2020, 32, 015901. [Google Scholar] [CrossRef] [PubMed]
- Pavoni, E.; Mohebbi, E.; Mencarelli, D.; Stipa, P.; Laudadio, E.; Pierantoni, L. The Effect of Y Doping on Monoclinic, Orthorhombic, and Cubic Polymorphs of HfO2: A First Principles Study. Nanomaterials 2022, 12, 4324. [Google Scholar] [CrossRef]
- Perdew, J.P.; Burke, K.; Ernzerhof, M. Generalized gradient approximation made simple. Phys. Rev. Lett. 1996, 77, 3865–3868. [Google Scholar] [CrossRef] [PubMed]
- van Setten, M.; Giantomassi, M.; Bousquet, E.; Verstraete, M.; Hamann, D.; Gonze, X.; Rignanese, G.-M. The PseudoDojo: Training and grading a 85 element optimized norm-conserving pseudopotential table. Comput. Phys. Commun. 2018, 226, 39–54. [Google Scholar] [CrossRef]
- Laudadio, E.; Stipa, P.; Pierantoni, L.; Mencarelli, D. Phase Properties of Different HfO2 Polymorphs: A DFT-Based Study. Crystals 2022, 12, 90. [Google Scholar] [CrossRef]
- King-Smith, R.D.; Vanderbilt, D. Theory of polarization of crystalline solids. Phys. Rev. B 1993, 47, 1651–1654. [Google Scholar] [CrossRef] [PubMed]
- Fan, S.-T.; Chen, Y.-W.; Liu, C.W. Strain effect on the stability in ferroelectric HfO2 simulated by first-principles calculations. J. Phys. D Appl. Phys. 2020, 53, 23LT01. [Google Scholar] [CrossRef]
- Aghdasi, P.; Ansari, R.; Rouhi, S.; Goli, M. On the elastic and plastic properties of the bismuthene adsorbed by H, F, Cl and Br atoms. Superlattices Microstruct. 2019, 135, 106242. [Google Scholar] [CrossRef]
- Nag, A.; Raidongia, K.; Hembram, K.P.S.S.; Datta, R.; Waghmare, U.V.; Rao, C.N.R. Graphene Analogues of BN: Novel Synthesis and Properties. ACS Nano 2010, 4, 1539–1544. [Google Scholar] [CrossRef]
- Decremps, F.; Datchi, F.; Saitta, A.M.; Polian, A.; Pascarelli, S.; Di Cicco, A.; Itié, J.P.; Baudelet, F. Local structure of condensed zinc oxide. Phys. Rev. B Condens. Matter Mater. Phys 2003, 68, 104101. [Google Scholar] [CrossRef]
- Chang, C.; Chen, W.; Chen, Y.; Chen, Y.; Chen, Y.; Ding, F.; Fan, C.; Fan, H.J.; Fan, Z.; Gong, C.; et al. Recent Progress on Two-Dimensional Materials. Acta Phys. Chim. Sin. 2021, 37, 2108017. [Google Scholar] [CrossRef]
- Ozgür, Ü.; Alivov, Y.I.; Liu, C.; Teke, A.; Reshchikov, M.A.; Doğan, S.; Avrutin, V.; Cho, S.-J.; Morkoç, H. A comprehensive review of ZnO materials and devices. J. Appl. Phys. 2005, 98, 041301. [Google Scholar] [CrossRef]
- Mang, A.; Reimann, K.; Rübenacke, S. Band gaps, crystal-field splitting, spin-orbit coupling, and exciton binding energies in ZnO under hydrostatic pressure. Solid State Commun. 1995, 94, 251–254. [Google Scholar] [CrossRef]
- Amrani, B.; Chiboub, I.; Hiadsi, S.; Benmessabih, T.; Hamdadou, N. Structural and electronic properties of ZnO under high pressures. Solid State Commun. 2006, 137, 395–399. [Google Scholar] [CrossRef]
- Xu, C.; Xu, G.; Liu, Y.; Wang, G. A simple and novel route for the preparation of ZnO nanorods. Solid State Commun. 2002, 122, 175–179. [Google Scholar] [CrossRef]
- Zagorac, D.; Schön, J.C.; Zagorac, J.; Jansen, M. Prediction of structure candidates for zinc oxide as a function of pressure and investigation of their electronic properties. Phys. Rev. B -Condens. Matter Mater. Phys 2014, 89, 075201. [Google Scholar] [CrossRef]
- Skinner, A.; Lafemina, P. Surface atomic and electronic structure of ZnO polymorphs. Phy. Rev. B 1992, 45, 3557. [Google Scholar] [CrossRef]
- Wooten, A.J.; Werder, D.J.; Williams, D.J.; Casson, J.L.; Hollingsworth, J.A. Solution−liquid−solid growth of ternary Cu−In−Se semiconductor nanowires from multiple- and single-source precursors. J. Am. Chem. Soc. 2009, 131, 16177–16188. [Google Scholar] [CrossRef] [PubMed]
- Sun, J.-H.; Dong, S.-Y.; Feng, J.-L.; Yin, X.-J.; Zhao, X.-C. Enhanced sunlight photocatalytic performance of Sn-doped ZnO for Methylene Blue degradation. J. Mol. Catal. A Chem. 2011, 335, 145–150. [Google Scholar] [CrossRef]
- Baskoutas, S.; Bester, G. Conventional Optics from Unconventional Electronics in ZnO Quantum Dots. J. Phys. Chem. C 2010, 114, 9301–9307. [Google Scholar] [CrossRef]
- Baskoutas, S.; Bester, G. Transition in the Optical Emission Polarization of ZnO Nanorods. J. Phys. Chem. C 2011, 115, 15862–15867. [Google Scholar] [CrossRef]
- Basu, T.; Pal, B.; Singh, S. Fabrication of core–shell PLGA/PLA–pNIPAM nanocomposites for improved entrapment and release kinetics of antihypertensive drugs. Particuology 2018, 40, 169–176. [Google Scholar] [CrossRef]
- Parmar, A.; Kaur, G.; Kapil, S.; Sharma, V.; Sharma, S. Biogenic PLGA-Zinc oxide nanocomposite as versatile tool for enhanced photocatalytic and antibacterial activity. Appl. Nanosci. 2019, 9, 2001–2016. [Google Scholar] [CrossRef]
- Kim, H.; Jung, U.S.; Kim, S.I.; Yoon, D.; Cheong, H.; Lee, C.W.; Lee, S.W. Young’s modulus of ZnO microwires determined by various mechanical measurement methods. Curr. Appl. Phys. 2014, 14, 166–170. [Google Scholar] [CrossRef]
- JemmyCinthia, A.; Sudhapriyang, G.; Rajeswarapalanichamy, R.; Santhosh, M. Structural, Electronic and Elastic Properties of ZnO and CdO: A First-Principles Study. Procedia Mater. Sci. 2014, 5, 1034–1042. [Google Scholar] [CrossRef]






| Polymorph | Space Group | Calculations | Experiments |
|---|---|---|---|
| Wurtzite (WZ) | P6₃mc | a = b = 3.250 Å c= 5.2060 Å | a = 3.258 Å c = 5.220 Å [33] |
| Zinc-Blende (ZB) | a = b = 3.2402 Å c = 5.2204 Å | a = b = 3.1226 Å c = 5.1822 Å [34] | |
| Rocksalt (RS) | a = b = c = 4.3420 Å | a = b = c = 4.294 Å [35] |
| Interface | Binding Affinity (eV) | Bond Lengths (Å) |
|---|---|---|
| WZ ZnO-PLGA | −1.92 | 1.42 |
| ZB ZnO-PLGA | −0.61 | 1.37 |
| RS ZnO-PLGA | 0.03 | / |
| Structure | x | y |
|---|---|---|
| WZ | 79.3 GPa [47] | 78.9 GPa |
| WZ-PLGA | 54.3 GPa | 54.0 GPa |
| ZB | 77.5 GPa | 78.4 GPa |
| ZB-PLGA | 64.6 GPa | 65.5 GPa |
| RS | 76.3 GPa | 77.1 GPa |
| RS-PLGA | 70.1 GPa | 70.9 GPa |
| Structure | Bulk Modulus | Difference (%) |
|---|---|---|
| WZ | 222 GPa [48] | / |
| WZ-PLGA | 142 GPa | 36.04 |
| ZB | 151 GPa | / |
| ZB-PLGA | 119 GPa | 21.2 |
| RS | 116 GPa | / |
| RS-PLGA | 108 GPa | 6.9 |
Disclaimer/Publisher’s Note: The statements, opinions and data contained in all publications are solely those of the individual author(s) and contributor(s) and not of MDPI and/or the editor(s). MDPI and/or the editor(s) disclaim responsibility for any injury to people or property resulting from any ideas, methods, instructions or products referred to in the content. |
© 2024 by the authors. Licensee MDPI, Basel, Switzerland. This article is an open access article distributed under the terms and conditions of the Creative Commons Attribution (CC BY) license (https://creativecommons.org/licenses/by/4.0/).
Share and Cite
Mohebbi, E.; Pavoni, E.; Minnelli, C.; Galeazzi, R.; Mobbili, G.; Sabbatini, S.; Stipa, P.; Fakhrabadi, M.M.S.; Laudadio, E. Adsorption of Polylactic-co-Glycolic Acid on Zinc Oxide Systems: A Computational Approach to Describe Surface Phenomena. Nanomaterials 2024, 14, 687. https://doi.org/10.3390/nano14080687
Mohebbi E, Pavoni E, Minnelli C, Galeazzi R, Mobbili G, Sabbatini S, Stipa P, Fakhrabadi MMS, Laudadio E. Adsorption of Polylactic-co-Glycolic Acid on Zinc Oxide Systems: A Computational Approach to Describe Surface Phenomena. Nanomaterials. 2024; 14(8):687. https://doi.org/10.3390/nano14080687
Chicago/Turabian StyleMohebbi, Elaheh, Eleonora Pavoni, Cristina Minnelli, Roberta Galeazzi, Giovanna Mobbili, Simona Sabbatini, Pierluigi Stipa, Mir Masoud Seyyed Fakhrabadi, and Emiliano Laudadio. 2024. "Adsorption of Polylactic-co-Glycolic Acid on Zinc Oxide Systems: A Computational Approach to Describe Surface Phenomena" Nanomaterials 14, no. 8: 687. https://doi.org/10.3390/nano14080687
APA StyleMohebbi, E., Pavoni, E., Minnelli, C., Galeazzi, R., Mobbili, G., Sabbatini, S., Stipa, P., Fakhrabadi, M. M. S., & Laudadio, E. (2024). Adsorption of Polylactic-co-Glycolic Acid on Zinc Oxide Systems: A Computational Approach to Describe Surface Phenomena. Nanomaterials, 14(8), 687. https://doi.org/10.3390/nano14080687

