Metal-Based Nanomaterials for the Sensing of NSAIDS
Abstract
1. Introduction
2. Experimental Section
2.1. Materials and Instrumentation
2.2. Synthesis of Nanoparticles
2.3. Modification of the Glassy Carbon Electrode (GCE)
3. Results and Discussion
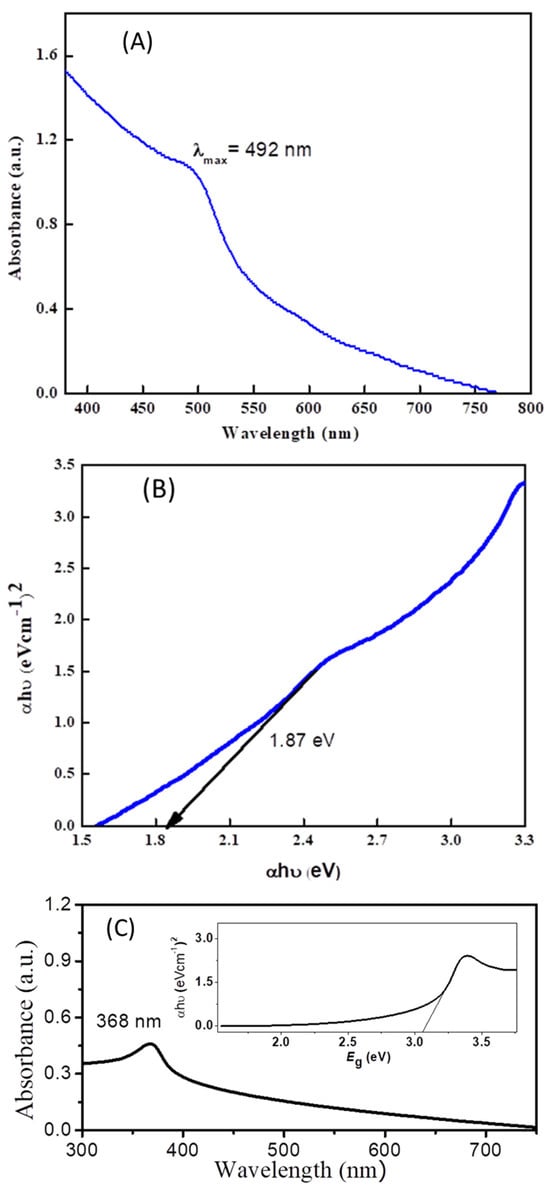
3.1. Structural and Morphological Characterization
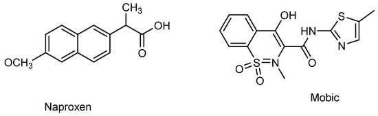
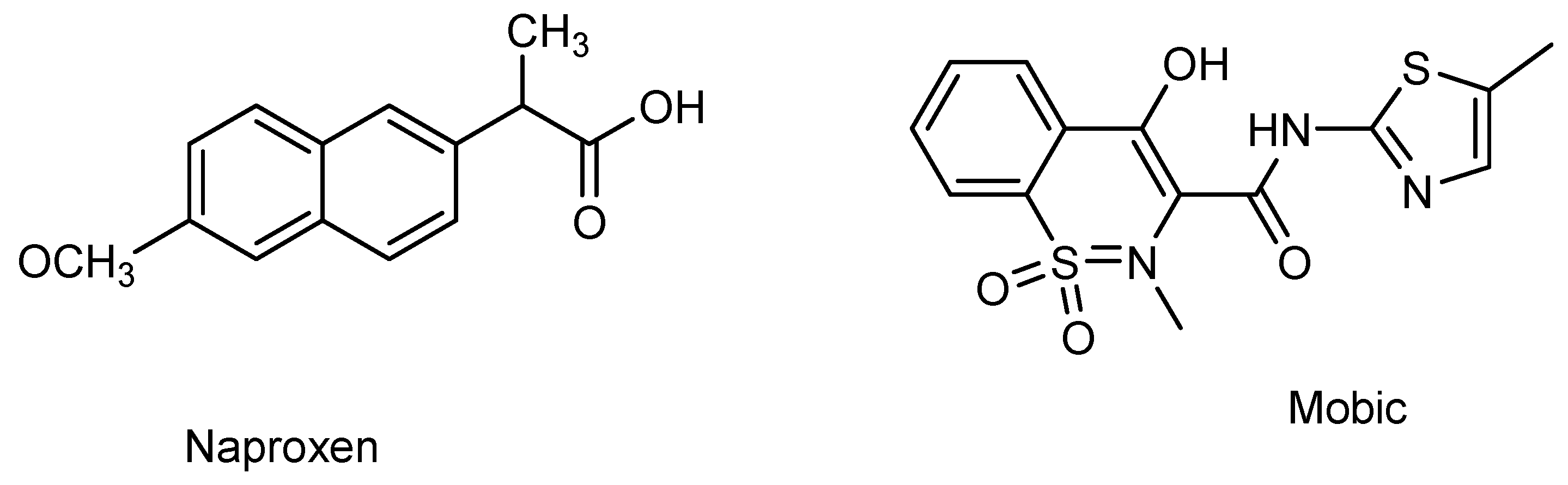
3.2. Electrocatalytic Role of the Synthesized Nanoparticles in NSAIDs Analysis
3.3. Analytical Detection
4. Conclusions
Author Contributions
Funding
Data Availability Statement
Acknowledgments
Conflicts of Interest
References
- Bindu, S.; Mazumder, S.; Bandyopadhyay, U. Non-steroidal anti-inflammatory drugs (NSAIDs) and organ damage: A current perspective. Biochem. Pharmacol. 2020, 180, 114147. [Google Scholar] [CrossRef] [PubMed]
- Hinz, B.; Brune, K. Antipyretic analgesics: Nonsteroidal antiinflammatory drugs, selective COX-2 inhibitors, paracetamol and pyrazolinones. Analgesia 2007, 65, 93. [Google Scholar]
- Wongrakpanich, S.; Wongrakpanich, A.; Melhado, K.; Rangaswami, J. Disease, A comprehensive review of non-steroidal anti-inflammatory drug use in the elderly. Aging Dis. 2018, 9, 143. [Google Scholar] [CrossRef] [PubMed]
- Kalambate, P.K.; Noiphung, J.; Rodthongkum, N.; Larpant, N.; Thirabowonkitphithan, P.; Rojanarata, T.; Hasan, M.; Huang, Y.; Laiwattanapaisal, W. Nanomaterials-based electrochemical sensors and biosensors for the detection of non-steroidal anti-inflammatory drugs. TrAC Trends Anal. Chem. 2021, 143, 116403. [Google Scholar] [CrossRef]
- Abd-Elsabour, M.; Abou-Krisha, M.M.; Alhamzani, A.G.; Yousef, T.A. An effective, novel, and cheap carbon paste electrode for naproxen estimation. Rev. Anal. Chem. 2022, 41, 168–179. [Google Scholar] [CrossRef]
- Ozkan, S.A.; Shah, A. New Developments in Nanosensors for Pharmaceutical Analysis; Academic Press: Cambridge, MA, USA, 2019. [Google Scholar]
- Yuting, L.; Jing, Z.; Donghui, L. Preparation of cadmium sulfide nanoparticles and their application for improving the properties of the electrochemical sensor for the determination of enrofloxacin in real samples. Chirality 2019, 31, 174–184. [Google Scholar] [CrossRef] [PubMed]
- Sun, W.; Zhong, J.; Zhang, B.; Jiao, K. Application of cadmium sulfide nanoparticles as oligonucleotide labels for the electrochemical detection of NOS terminator gene sequences. Anal. Bioanal. Chem. 2007, 389, 2179–2184. [Google Scholar] [CrossRef] [PubMed]
- Ibrahim Khan, K.S.; Khan, I. Nanoparticles: Properties, applications and toxicities. Arab. J. Chem. 2019, 12, 908–931. [Google Scholar] [CrossRef]
- Zhang, F.; Wang, X.; Liu, H.; Liu, C.; Wan, Y.; Long, Y.; Cai, Z. Recent advances and applications of semiconductor photocatalytic technology. Appl. Sci. 2019, 9, 2489. [Google Scholar] [CrossRef]
- Willars-Rodríguez, F.J.; Chávez-Urbiola, I.R.; Hernández-Landaverde, M.A.; Zavala-Franco, A.; Chávez-Urbiola, E.; Vorobiev, P.; Vorobiev, Y.V. Physics, Effects of incorporating manganese in CdS thin films elaborated by CBD and the performance of Schottky diodes TCO/CdS: Mn/C. Mater. Chem. Phys. 2024, 312, 128636. [Google Scholar] [CrossRef]
- Aftab, S.; Shabir, T.; Shah, A.; Nisar, J.; Shah, I.; Muhammad, H.; Shah, N.S. Highly efficient visible light active doped ZnO photocatalysts for the treatment of wastewater contaminated with dyes and pathogens of emerging concern. Nanomaterials 2022, 12, 486. [Google Scholar] [CrossRef] [PubMed]
- Das, S.; Ahn, Y.H. Synthesis and application of CdS nanorods for LED-based photocatalytic degradation of tetracycline antibiotic. Chemosphere 2022, 291, 132870. [Google Scholar] [CrossRef]
- Quddus, F.; Shah, A.; Iftikhar, F.J.; Shah, N.S.; Haleem, A. Environmentally benign nanoparticles for the photocatalytic degradation of pharmaceutical drugs. Catalysts 2023, 13, 511. [Google Scholar] [CrossRef]
- Sadiq, M.U.; Shah, A.; Nisar, J.; Shah, I. Photoelectrocatalytic Detection and Degradation Studies of a Hazardous Textile Dye Safranin T. Nanomaterials 2023, 13, 2218. [Google Scholar] [CrossRef]
- Hemathangam, S.; Thanapathy, G.; Muthukumaran, S.J. Optical, structural, FTIR and photoluminescence characterization of Cu and Al doped CdS thin films by chemical bath deposition method. J. Mater. Sci. Mater. Electron. 2016, 27, 6800–6808. [Google Scholar] [CrossRef]
- Seyghalkar, H.; Sabet, M.; Salavati-Niasari, M. Processes, Synthesis and characterization of cadmium sulfide nanoparticles via a simple thermal decompose method. High Temp. Mater. Process. 2016, 35, 1013–1016. [Google Scholar] [CrossRef]
- Matinise, N.; Fuku, X.; Kaviyarasu, K.; Mayedwa, N.; Maaza, M. ZnO nanoparticles via Moringa oleifera green synthesis: Physical properties & mechanism of formation. Appl. Surf. Sci. 2017, 406, 339–347. [Google Scholar]
- Bhadwal, A.S.; Tripathi, R.; Gupta, R.K.; Kumar, N.; Singh, R.; Shrivastav, A. Biogenic synthesis and photocatalytic activity of CdS nanoparticles. RSC Adv. 2014, 4, 9484–9490. [Google Scholar] [CrossRef]
- Kumar, S.; Sharma, J. Stable phase CdS nanoparticles for optoelectronics: A study on surface morphology, structural and optical characterization. Mater. Sci. Pol. 2016, 34, 368–373. [Google Scholar] [CrossRef]
- Thi, T.U.D.; Nguyen, T.T.; Thi, Y.D.; Thi, K.H.T.; Phan, B.T.; Pham, K.N. Green synthesis of ZnO nanoparticles using orange fruit peel extract for antibacterial activities. RSC Adv. 2020, 10, 23899–23907. [Google Scholar]
- Nava, O.; Soto-Robles, C.; Gomez-Gutiérrez, C.; Vilchis-Nestor, A.; Castro-Beltrán, A.; Olivas, A.; Luque, P. Fruit peel extract mediated green synthesis of zinc oxide nanoparticles. J. Mol. Struct. 2017, 1147, 1–6. [Google Scholar] [CrossRef]
- Rajakumar, G.; Thiruvengadam, M.; Mydhili, G.; Gomathi, T.; Chung, I.-M. Green approach for synthesis of zinc oxide nanoparticles from Andrographis paniculata leaf extract and evaluation of their antioxidant, anti-diabetic, and anti-inflammatory activities. Bioprocess Biosyst. Eng. 2018, 41, 21–30. [Google Scholar] [CrossRef]
- Qian, L.; Thiruppathi, A.R.; Elmahdy, R.; Van der Zalm, J.; Chen, A. Graphene-Oxide-Based Electrochemical Sensors for the Sensitive Detection of Pharmaceutical Drug Naproxen. Sensors 2020, 20, 1252. [Google Scholar] [CrossRef]
- Guo, L.; Huang, Y.; Zhang, Q.; Chen, C.; Guo, D.; Chen, Y.; Fu, Y. Electrochemical Sensing for Naproxen Enantiomers Using Biofunctionalized Reduced Graphene Oxide Nanosheets. J. Electrochem. Soc. 2014, 161, 70. [Google Scholar] [CrossRef]
- Baj-Rossi, C.; Jost, T.R.; Cavallini, A.; Grassi, F.; De Micheli, G.; Carrara, S. Continuous monitoring of Naproxen by a cytochrome P450-based electrochemical sensor. Biosens. Bioelectron. 2014, 53, 283–287. [Google Scholar] [CrossRef] [PubMed]
- Beitollahi, H.; Dourandish, Z.; Tajik, S.; Sharifi, F.; Jahani, P.M. Electrochemical Sensor Based on Ni-Co Layered Double Hydroxide Hollow Nanostructures for Ultrasensitive Detection of Sumatriptan and Naproxen. Biosensors 2022, 12, 872. [Google Scholar] [CrossRef]
- Muruganandam, G.; Srinivasan, S.; Nesakumar, N.; Hariharan, G.; Gunasekaran, B.M. Electrochemical investigation on naproxen sensing and steady-state diffusion analysis using Ni-Fe layered double hydroxide modified gold electrode. Measurement 2023, 220, 113389. [Google Scholar] [CrossRef]
- Soltani, N.; Tavakkoli, N.; Eslami, E.; Mirmohammadi, L.S. Electrochemical measurement of naproxen in the presence of diclofenac and ascorbic acid using Gr/ZnFe2O4/CPE. Diam. Relat. Mater. 2024, 141, 110569. [Google Scholar] [CrossRef]
- Zagitova, L.; Yarkaeva, Y.; Zagitov, V.; Nazyrov, M.; Gainanova, S.; Maistrenko, V. Voltammetric chiral recognition of naproxen enantiomers by N-tosylproline functionalized chitosan and reduced graphene oxide based sensor. J. Electroanal. Chem. 2022, 922, 116744. [Google Scholar] [CrossRef]
- Hung, C.M.; Huang, C.; Chen, S.K.; Chen, C.W.; Dong, C. Electrochemical analysis of naproxen in water using poly(l-serine)-modified glassy carbon electrode. Chemosphere 2020, 254, 126686. [Google Scholar] [CrossRef]
- Jafari, M.; Tashkhourian, J.; Absalan, G. Electrochemical Sensor for Enantioselective Recognition of Naproxen Using LCysteine/Reduced Graphene Oxide Modified Glassy Carbon Electrode. Anal. Bioanal. Chem. Res. 2020, 7, 1–15. [Google Scholar]
- Cheemalapati, S.; Devadas, B.; Chen, S.M. Novel poly-l-lysine/carboxyl-group enriched graphene oxide/modified electrode preparation, characterization and applications for the electrochemical determination of meloxicam in pharmaceutical tablets and blood serum. Anal. Methods 2014, 6, 8426–8434. [Google Scholar] [CrossRef]
- Azodi-Deilami, S.; Asadi, E.; Abdouss, M.; Ahmadi, F.; Najafabadi, A.H.; Farzaneh, S. Determination of meloxicam in plasma samples using a highly selective and sensitive voltammetric sensor based on carbon paste electrodes modified by molecularly imprinted polymer nanoparticle–multiwall carbon nanotubes. Anal. Methods 2015, 7, 1280–1292. [Google Scholar] [CrossRef]
- Selesovska, R.; Hlobenova, F.; Skopalova, J.; Cankar, P.; Janikova, L.; Chylkova, J. Electrochemical oxidation of anti-inflammatory drug meloxicam and its determination using boron doped diamond electrode. J. Electroanal. Chem. 2020, 858, 113758. [Google Scholar] [CrossRef]
- Wang, C.Y.; Wang, Z.X.; Guan, J.; Hu, X.Y. Voltammetric Determination of Meloxicam in Pharmaceutical Formulation and Human Serum at Glassy Carbon Electrode Modified by Cysteic Acid Formed by Electrochemical Oxidation of L-cysteine. Sensors 2006, 6, 1139–1152. [Google Scholar] [CrossRef]
- Altınoz, S.; Nemutlu, E.; Kır, S. Polarographic behaviour of meloxicam and its determination in tablet preparations and spiked plasma. Farmaco 2002, 57, 463–468. [Google Scholar] [CrossRef]
- Eroglu, M.E.; Bayraktepe, D.E.; Polat, K.; Yazan, Z. Electro-Oxidation Mechanism of Meloxicam and Electrochemical Sensing Platform Based on Graphene Nanoparticles for its Sensing Pharmaceutical Sample. Curr. Pharm. Anal. 2019, 15, 346–354. [Google Scholar] [CrossRef]











| Sr. No | Electrode Modifier | Technique | Supporting Electrolyte/pH | LOD of Naproxen | Ref. |
|---|---|---|---|---|---|
| 1 | Graphene oxide | DPV | PBS/7.2 | 6.47 µM | [24] |
| 2 | Reduced graphene oxide | CV | PBS/6.0 | 0.33 µM | [25] |
| 3 | MWCNTs/msCYP1A2-SPE | CV | PBS/7.4 | 16 µM | [26] |
| 4 | Ni-Co LDH/SPE | DPV | PBS/7.0 | 0.002 µM | [27] |
| 5 | Ni-Fe LDH/Au electrode | DPV | KCl/7.0 | 0.32 µM | [28] |
| 6 | ZnFe2O4/graphene oxide | DPV | PBS/7.0 | 0.222 nM | [29] |
| 7 | TsPro-Cs/rGO | DPV | PBS/7.0 | 0.4 μM | [30] |
| 8 | Poly l-serine/GCE | CV | PBS/5.0 | 0.69 μM | [31] |
| 9 | L-Cys/RGO/GCE | CV | PBS/7.0 | 0.35 µM | [32] |
| 10 | CdS/GCE | SWV | PBS/7.0 | 1.43 nM | Current work |
| Sr. No | Electrode modifier | Technique | Supporting Electrolyte/pH | LOD of mobic | Ref. |
| 1 | L-lysine/graphene oxide | DPV | BRB/pH 3 | 8.7 × 10−7 M | [33] |
| 2 | Carbon paste/polymer Nps-MWCNTs | DPV | PBS/pH 9.0 | 0.32 µM | [34] |
| 3 | Boron-doped diamond Electrode | DPV | BRB/pH 1–3 | 59 nM | [35] |
| 4 | Cystic acid/GCE | CV | BRB/pH 1.86 | 1.5 nM | [36] |
| 5 | Hg drop electrode | Polarography | Acetate Buffer/pH 4.88 | 57 nM | [37] |
| 6 | 3.33% graphene/CPE | Adsorptive SWV | BRB/pH 2.0 | 2.59 nM | [38] |
| 7 | ZnO/GCE | SWV | BRB/pH 4.0 | 7.21 nM | Current work |
Disclaimer/Publisher’s Note: The statements, opinions and data contained in all publications are solely those of the individual author(s) and contributor(s) and not of MDPI and/or the editor(s). MDPI and/or the editor(s) disclaim responsibility for any injury to people or property resulting from any ideas, methods, instructions or products referred to in the content. |
© 2024 by the authors. Licensee MDPI, Basel, Switzerland. This article is an open access article distributed under the terms and conditions of the Creative Commons Attribution (CC BY) license (https://creativecommons.org/licenses/by/4.0/).
Share and Cite
Quddus, F.; Shah, A.; Ullah, N.; Shah, I. Metal-Based Nanomaterials for the Sensing of NSAIDS. Nanomaterials 2024, 14, 630. https://doi.org/10.3390/nano14070630
Quddus F, Shah A, Ullah N, Shah I. Metal-Based Nanomaterials for the Sensing of NSAIDS. Nanomaterials. 2024; 14(7):630. https://doi.org/10.3390/nano14070630
Chicago/Turabian StyleQuddus, Farah, Afzal Shah, Naimat Ullah, and Iltaf Shah. 2024. "Metal-Based Nanomaterials for the Sensing of NSAIDS" Nanomaterials 14, no. 7: 630. https://doi.org/10.3390/nano14070630
APA StyleQuddus, F., Shah, A., Ullah, N., & Shah, I. (2024). Metal-Based Nanomaterials for the Sensing of NSAIDS. Nanomaterials, 14(7), 630. https://doi.org/10.3390/nano14070630

