Dual-Band All-Optical Logic Gates by Coherent Absorption in an Amorphous Silicon Graphene Metasurface
Abstract
1. Introduction
2. Materials and Methods
3. Results and Discussion
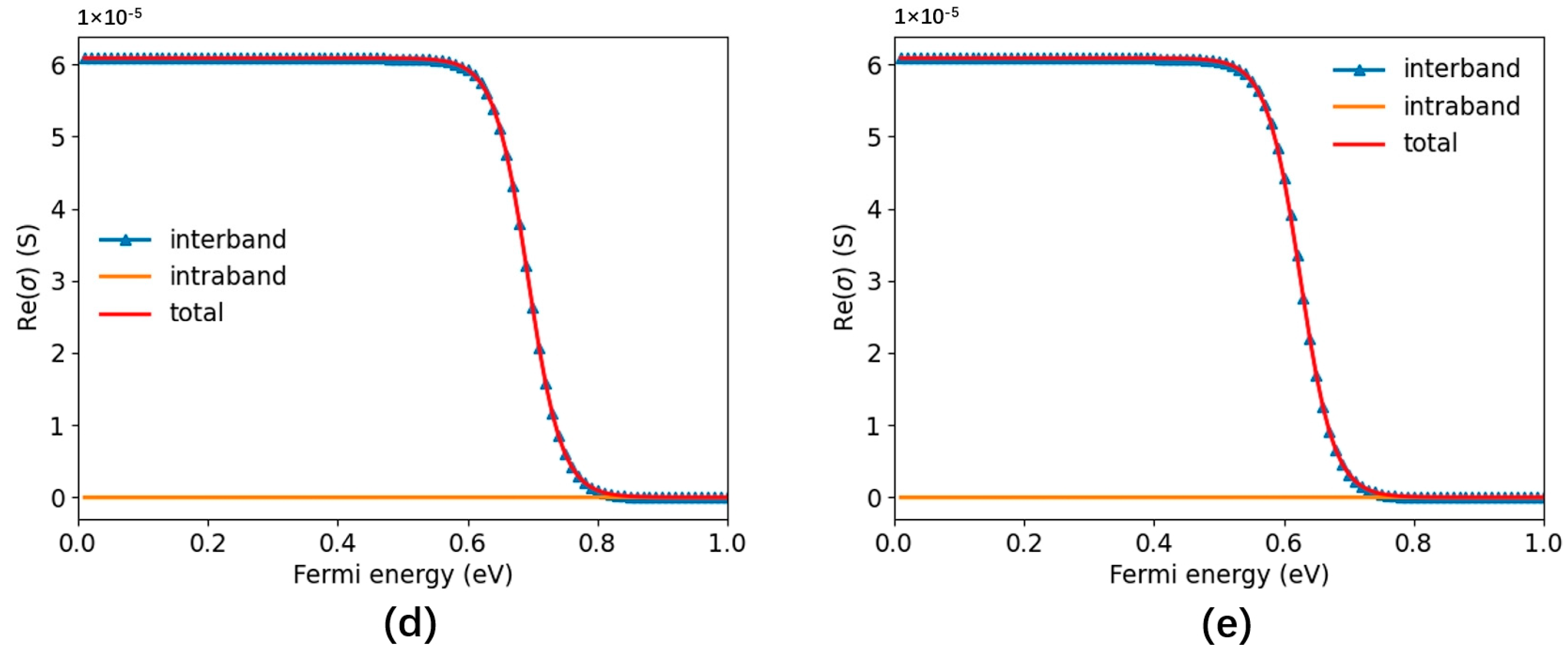
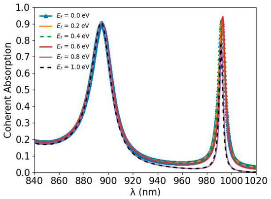
3.1. Coherent Nearly Perfect Absorption in the a-Si Graphene Metasurface
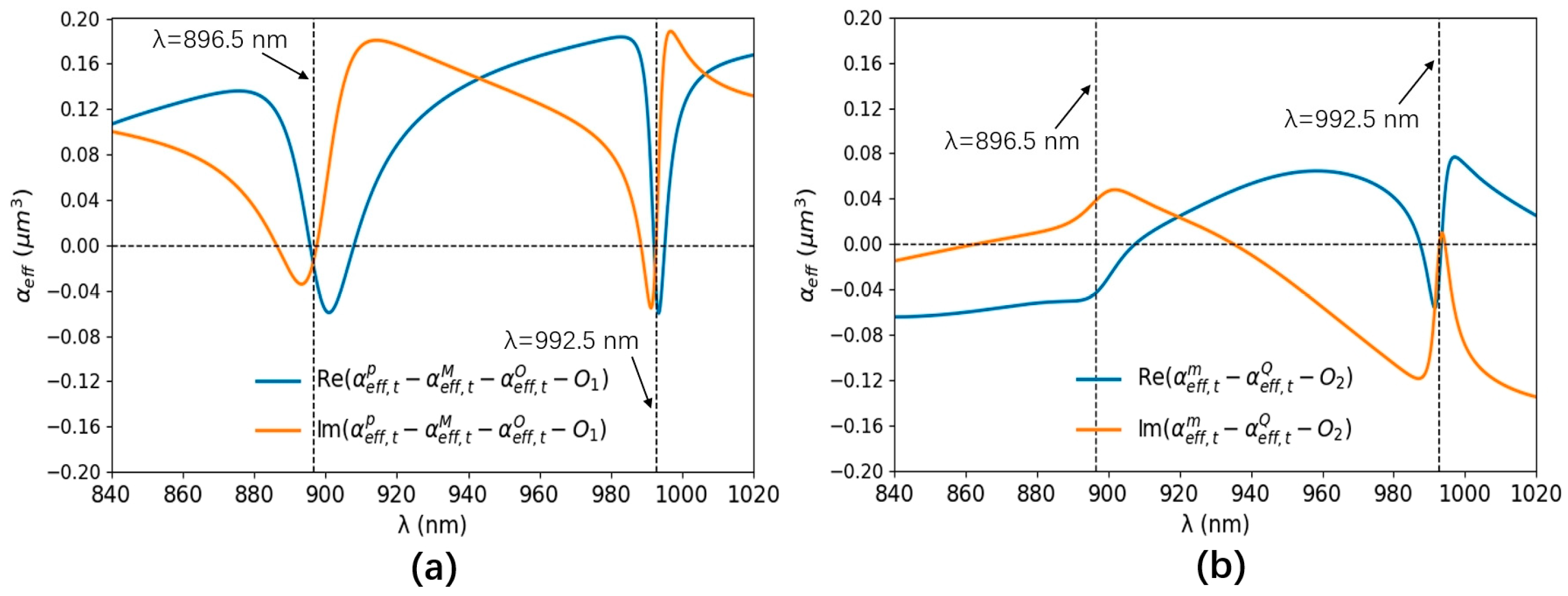
3.2. Dual-Band All-Optical Metasurface-Based Logic Gates
4. Conclusions
Author Contributions
Funding
Data Availability Statement
Conflicts of Interest
References
- Qian, C.; Lin, X.; Lin, X.; Xu, J.; Sun, Y.; Li, E.; Zhang, B.; Chen, H. Performing optical logic operations by a diffractive neural network. Light Sci. Appl. 2020, 9, 59. [Google Scholar] [CrossRef]
 - Wang, Z.; Zhang, Z.; Qiu, F.; Wang, M.; Yang, W.; Li, Z.; Hu, X.; Li, Y.; Yan, X.; Yao, H.; et al. Design of an all-optical multi-logic operation-integrated metamaterial-based terahertz logic gate. Opt. Express 2022, 30, 40401–40412. [Google Scholar] [CrossRef]
 - Zhu, J.; Xiong, J. Logic operation and all-optical switch characteristics of graphene surface plasmons. Opt. Express 2023, 31, 36677–36690. [Google Scholar] [CrossRef]
 - Li, A.; Singh, S.; Sievenpiper, D. Metasurfaces and their applications. Nanophotonics 2018, 7, 989–1011. [Google Scholar] [CrossRef]
 - Rifat, A.; Rahmani, M.; Xu, L.; Miroshnichenko, A. Hybrid Metasurface Based Tunable Near-Perfect Absorber and Plasmonic Sensor. Materials 2018, 11, 1091. [Google Scholar] [CrossRef]
 - Kazanskiy, N.L.; Khonina, S.N.; Butt, M.A. Recent Development in Metasurfaces: A Focus on Sensing Applications. Nanomaterials 2022, 13, 118. [Google Scholar] [CrossRef]
 - Santonocito, A.; Patrizi, B.; Toci, G. Recent Advances in Tunable Metasurfaces and Their Application in Optics. Nanomaterials 2023, 13, 1633. [Google Scholar] [CrossRef]
 - Valentine, J.; Zhang, S.; Zentgraf, T.; Ulin-Avila, E.; Genov, D.A.; Bartal, G.; Zhang, X. Three-dimensional optical metamaterial with a negative refractive index. Nature 2008, 455, 376–379. [Google Scholar] [CrossRef]
 - Yu, Y.F.; Zhu, A.Y.; Paniagua-Domínguez, R.; Fu, Y.H.; Luk’yanchuk, B.; Kuznetsov, A.I. High-transmission dielectric metasurface with 2π phase control at visible wavelengths. Laser Photonics Rev. 2015, 9, 412–418. [Google Scholar] [CrossRef]
 - Zou, Y.; Jin, H.; Zhu, R.; Zhang, T. Metasurface Holography with Multiplexing and Reconfigurability. Nanomaterials 2023, 14, 66. [Google Scholar] [CrossRef]
 - Papaioannou, M.; Plum, E.; Valente, J.; Rogers, E.T.F.; Zheludev, N.I. All-optical multichannel logic based on coherent perfect absorption in a plasmonic metamaterial. APL Photonics 2016, 1, 090801. [Google Scholar] [CrossRef]
 - Xomalis, A.; Jung, Y.; Demirtzioglou, I.; Nalla, V.; Plum, E.; MacDonald, K.F.; Petropoulos, P.; Richardson, D.J.; Zheludev, N.I. Dissipative optical switch for coherent fibre networks with 100 THz bandwidth. In Proceedings of the 2017 Conference on Lasers and Electro-Optics Europe & European Quantum Electronics Conference (CLEO/Europe-EQEC), Munich, Germany, 25–29 June 2017. [Google Scholar]
 - Zhang, Z.; Yang, J.; Bai, W.; Han, Y.; He, X.; Huang, J.; Chen, D.; Xu, S.; Xie, W. All-optical switch and logic gates based on hybrid silicon-Ge2Sb2Te5 metasurfaces. Appl. Opt. 2019, 58, 7392–7396. [Google Scholar] [CrossRef]
 - Yang, H.; Owiti, E.; Li, S.; Pei, Y.; Shi, H.; Sun, X. Ag nanoprism metamaterial based tunable plasmonic logic gate. J. Phys. D Appl. Phys. 2017, 50, 445103. [Google Scholar] [CrossRef]
 - Manjappa, M.; Pitchappa, P.; Singh, N.; Wang, N.; Zheludev, N.I.; Lee, C.; Singh, R. Reconfigurable MEMS Fano metasurfaces with multiple-input–output states for logic operations at terahertz frequencies. Nat. Commun. 2018, 9, 4056. [Google Scholar] [CrossRef]
 - Qu, K.; Chen, K.; Feng, Y. A Single-layer Microwave Logic Operator Based on Diffraction Neural Network. In Proceedings of the 2023 IEEE International Workshop on Electromagnetics: Applications and Student Innovation Competition (iWEM), Harbin, China, 15–18 July 2023. [Google Scholar]
 - Zhao, Z.; Wang, Y.; Ding, X.; Li, H.; Fu, J.; Zhang, K.; Burokur, S.N.; Wu, Q. Compact logic operator utilizing a single-layer metasurface. Photon. Res. 2022, 10, 316–322. [Google Scholar] [CrossRef]
 - Ebrahimi Meymand, R.; Soleymani, A.; Granpayeh, N. All-optical AND, OR, and XOR logic gates based on coherent perfect absorption in graphene-based metasurface at terahertz region. Opt. Commun. 2020, 458, 124722. [Google Scholar] [CrossRef]
 - Chong, Y.D.; Ge, L.; Cao, H.; Stone, A.D. Coherent Perfect Absorbers: Time-Reversed Lasers. Phys. Rev. Lett. 2010, 105, 053901. [Google Scholar] [CrossRef]
 - Wan, W.J.; Chong, Y.D.; Ge, L.; Noh, H.; Stone, A.D.; Cao, H. Time-Reversed Lasing and Interferometric Control of Absorption. Science 2011, 331, 889–892. [Google Scholar] [CrossRef]
 - Fang, X.; MacDonald, K.F.; Zheludev, N.I. Controlling light with light using coherent metadevices: All-optical transistor, summator and invertor. Light Sci. Appl. 2015, 4, e292. [Google Scholar] [CrossRef]
 - Zhu, W.R.; Xiao, F.J.; Kang, M.; Premaratne, M. Coherent perfect absorption in an all-dielectric metasurface. Appl. Phys. Lett. 2016, 108, 121901. [Google Scholar] [CrossRef]
 - Li, X.; Feng, H.; Yun, M.; Wang, Z.; Hu, Y.; Gu, Y.; Liu, F.; Wu, W. Polarization-independent and all-optically modulated multiband metamaterial coherent perfect absorber. Opt. Laser Technol. 2023, 166, 109644. [Google Scholar] [CrossRef]
 - Palik, E.D. Handbook of Optical Constants of Solids; Academic Press: San Diego, CA, USA, 1985. [Google Scholar]
 - Hanson, G.W. Dyadic Green’s functions and guided surface waves for a surface conductivity model of graphene. J. Appl. Phys. 2008, 103, 064302. [Google Scholar] [CrossRef]
 - Su, W.; Geng, Z.; Qi, J.; Wu, H. Multi-fano resonances in graphene coated all-dielectric metasurface for refractive index sensing with high figure of merits. IEEE J. Sel. Top. Quantum Electron. 2021, 27, 8300206. [Google Scholar] [CrossRef]
 - Zhang, J.; Guo, C.; Liu, K.; Zhu, Z.; Ye, W.; Yuan, X.; Qin, S. Coherent perfect absorption and transparency in a nanostructured graphene film. Opt. Express 2014, 22, 12524–12532. [Google Scholar] [CrossRef] [PubMed]
 - Evlyukhin, A.B.; Chichkov, B.N. Multipole decompositions for directional light scattering. Phys. Rev. B 2019, 100, 125415. [Google Scholar] [CrossRef]
 - Terekhov, P.D.; Babicheva, V.E.; Baryshnikova, K.V.; Shalin, A.S.; Karabchevsky, A.; Evlyukhin, A.B. Multipole analysis of dielectric metasurfaces composed of nonspherical nanoparticles and lattice invisibility effect. Phys. Rev. B 2019, 99, 045424. [Google Scholar] [CrossRef]
 - Evlyukhin, A.B.; Reinhardt, C.; Seidel, A.; Luk’yanchuk, B.S.; Chichkov, B.N. Optical response features of Si-nanoparticle arrays. Phys. Rev. B 2010, 82, 045404. [Google Scholar] [CrossRef]
 - Zhang, J.; Wei, R.; Guo, C. Simultaneous implementation of antireflection and antitransmission through multipolar interference in plasmonic metasurfaces and applications in optical absorbers and broadband polarizers. Nanophotonics 2020, 9, 4529–4538. [Google Scholar] [CrossRef]
 - Krishnamoorthy, H.N.S.; Adamo, G.; Yin, J.; Savinov, V.; Zheludev, N.I.; Soci, C. Infrared dielectric metamaterials from high refractive index chalcogenides. Nat. Commun. 2020, 11, 1692. [Google Scholar] [CrossRef]
 - Pors, A.; Andersen, S.K.H.; Bozhevolnyi, S.I. Unidirectional scattering by nanoparticles near substrates: Generalized Kerker conditions. Opt. Express 2015, 23, 28808–28828. [Google Scholar] [CrossRef]
 - Barreda, A.; Kuppadakkath, A.; Ghazaryan, L.; Gan, Z.; Koshelev, K.; Bucher, T.; Pertsch, T.; George, A.; Turchanin, A.; Szeghalmi, A.; et al. The impact of loss on high-Q resonant metasurfaces: A case study for heated a-Si:H. J. Quant. Spectrosc. Radiat. Transf. 2022, 292, 108348. [Google Scholar] [CrossRef]
 - Cai, Z.; Liu, Y. Near-Infrared Reflection Modulation Through Electrical Tuning of Hybrid Graphene Metasurfaces. Adv. Opt. Mater. 2022, 10, 2102135. [Google Scholar] [CrossRef]
 - Sun, G.; Peng, S.; Zhang, X.; Zhu, Y. Switchable Electromagnetically Induced Transparency with Toroidal Mode in a Graphene-Loaded All-Dielectric Metasurface. Nanomaterials 2020, 10, 1064. [Google Scholar] [CrossRef] [PubMed]
 









| Input State | Input Intensity | Output Intensity at 894.5 nm  | Output Intensity at 991.5 nm  | |||
|---|---|---|---|---|---|---|
| coherent incident | 0.18 | 1.36 | 0.16 | 1.70 | ||
| + incident | 0 | 0.44 | 0.44 | 0.62 | 0.62 | |
| − incident | 0 | 0.36 | 0.36 | 0.36 | 0.36 | |
| zero incident | 0 | 0 | 0 | 0 | 0 | 0 | 
| Input State | Input Logic | Output Logic at 894.5 nm  | Output Logic at 991.5 nm  | |||
|---|---|---|---|---|---|---|
| coherent incident | 1 | 1 | 0 | 1 | 0 | 1 | 
| + incident | 1 | 0 | 1 | 1 | 1 | 1 | 
| − incident | 0 | 1 | 1 | 1 | 1 | 1 | 
| zero incident | 0 | 0 | 0 | 0 | 0 | 0 | 
| Methodologies | Logic Functions | Operation Wavelength or Frequency | Polarization Independence | Modulation Type | 
|---|---|---|---|---|
| Fano resonant [15] | NOT, XOR, XNOR, NAND, OR | 0.53 THz, 0.56 THz | no | Voltage modulation | 
| Diffractive neural network [1] | NOT, OR, AND | 17 GHz | no | Spatially encode | 
| Coherent perfect absorption [11] | XOR, XNOR, AND, OR | 785 nm | no | Phase control, Spatially encode | 
| Coherent perfect absorption [18] | XOR, AND, OR | 4.85 THz | yes | Phase control | 
| Our works | XOR, OR | 894.5 nm, 991.5 nm | yes | Phase control | 
Disclaimer/Publisher’s Note: The statements, opinions and data contained in all publications are solely those of the individual author(s) and contributor(s) and not of MDPI and/or the editor(s). MDPI and/or the editor(s) disclaim responsibility for any injury to people or property resulting from any ideas, methods, instructions or products referred to in the content.  | 
© 2024 by the authors. Licensee MDPI, Basel, Switzerland. This article is an open access article distributed under the terms and conditions of the Creative Commons Attribution (CC BY) license (https://creativecommons.org/licenses/by/4.0/).
Share and Cite
Chen, Y.; Shen, C.; Li, Q.; Li, J.; Deng, X. Dual-Band All-Optical Logic Gates by Coherent Absorption in an Amorphous Silicon Graphene Metasurface. Nanomaterials 2024, 14, 335. https://doi.org/10.3390/nano14040335
Chen Y, Shen C, Li Q, Li J, Deng X. Dual-Band All-Optical Logic Gates by Coherent Absorption in an Amorphous Silicon Graphene Metasurface. Nanomaterials. 2024; 14(4):335. https://doi.org/10.3390/nano14040335
Chicago/Turabian StyleChen, Yixiao, Chongyang Shen, Qingyuan Li, Jianyao Li, and Xiaoxu Deng. 2024. "Dual-Band All-Optical Logic Gates by Coherent Absorption in an Amorphous Silicon Graphene Metasurface" Nanomaterials 14, no. 4: 335. https://doi.org/10.3390/nano14040335
APA StyleChen, Y., Shen, C., Li, Q., Li, J., & Deng, X. (2024). Dual-Band All-Optical Logic Gates by Coherent Absorption in an Amorphous Silicon Graphene Metasurface. Nanomaterials, 14(4), 335. https://doi.org/10.3390/nano14040335
        