Hierarchical Nanoheterostructure of HFIP-Grafted α-Fe2O3@Multiwall Carbon Nanotubes as High-Performance Chemiresistive Sensors for Nerve Agents
Abstract
1. Introduction
2. Experimental Section
2.1. Fabrication of α-Fe2O3 and α-Fe2O3@MWCNT Compounds
2.2. Functionalization with HFIP Chemical Group
2.3. Fabrication of Gas Sensors
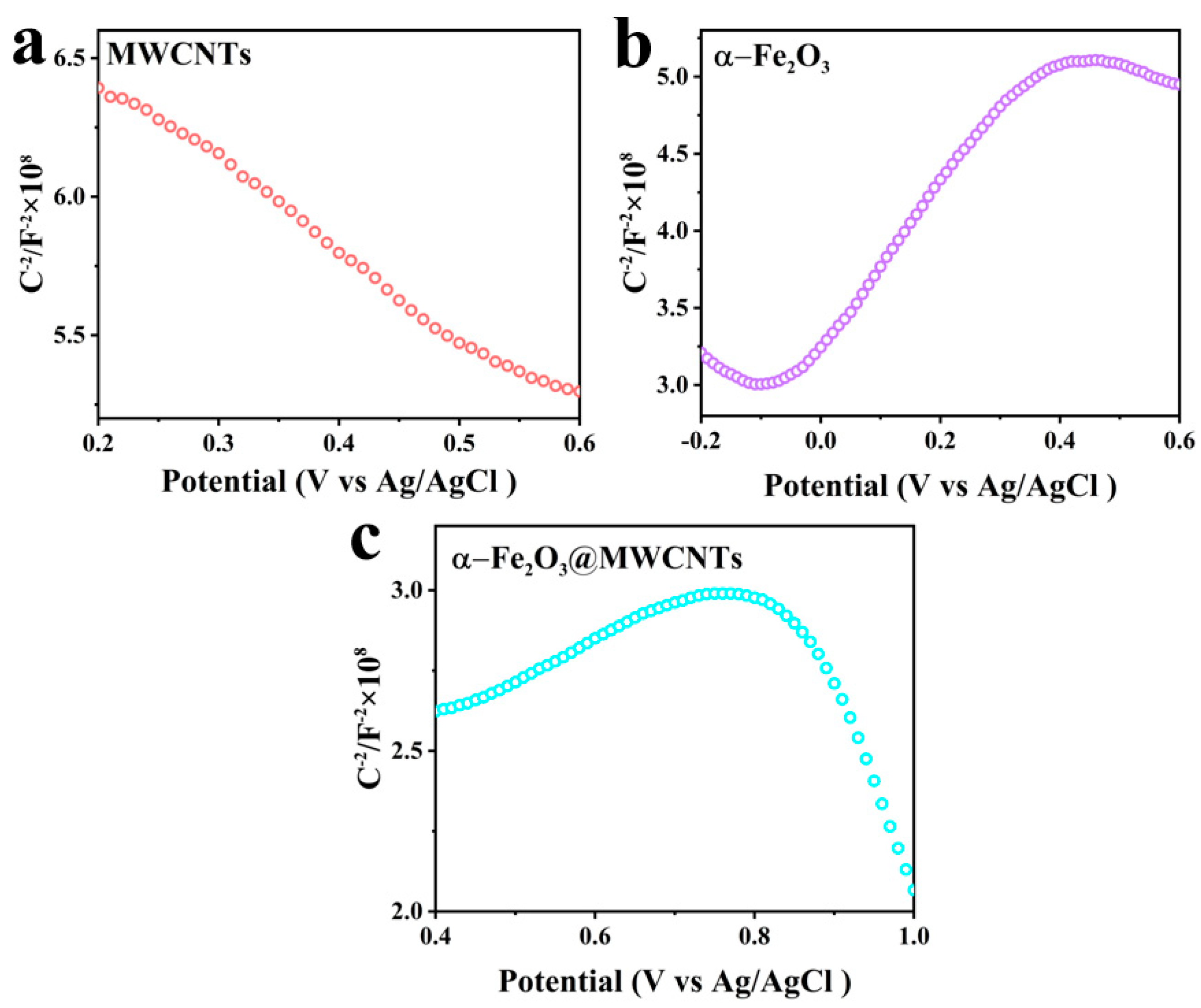
3. Characterization of Materials and Discussion
4. Gas Sensing Properties
5. Gas Sensing Mechanism
6. Conclusions
Supplementary Materials
Author Contributions
Funding
Data Availability Statement
Conflicts of Interest
References
- Diauudin, F.N.; Rashid, J.I.A.; Knight, V.F.; Yunus, W.M.Z.W.; Ong, K.K.; Kasim, N.A.M.; Halim, N.A.; Noor, S.A.M. A review of current advances in the detection of organophosphorus chemical warfare agents based biosensor approaches. Sens. Bio-Sens. Res. 2019, 26, 100305. [Google Scholar] [CrossRef]
- Sidhu, G.K.; Singh, S.; Kumar, V.; Dhanjal, D.S.; Datta, S.; Singh, J. Toxicity, monitoring and biodegradation of organophosphate pesticides: A review. Crit. Rev. Environ. Sci. Technol. 2019, 49, 1135–1187. [Google Scholar] [CrossRef]
- Alali, K.T.; Liu, J.; Moharram, D.; Yu, J.; Liu, Q.; Zhu, J.; Li, R.; Wang, J. HFIP-functionalized 3D carbon nanostructure as chemiresistive nerve agents sensors under visible light. Sens. Actuators B Chem. 2022, 358, 131475. [Google Scholar] [CrossRef]
- Yang, Z.; Zhang, Y.; Gao, S.; Zhao, L.; Fei, T.; Liu, S.; Zhang, T. Hydrogen bonds-induced room-temperature detection of DMMP based on polypyrrole-reduced graphene oxide hybrids. Sens. Actuators B Chem. 2021, 346, 130518. [Google Scholar] [CrossRef]
- Al-Faiyz, Y.S.S.; Sarfaraz, S.; Yar, M.; Munsif, S.; Khan, A.A.; Amin, B.; Sheikh, N.S.; Ayub, K. Efficient Detection of Nerve Agents through Carbon Nitride Quantum Dots: A DFT Approach. Nanomaterials 2023, 13, 251. [Google Scholar] [CrossRef]
- Alali, K.T.; Liu, J.; Aljebawi, K.; Liu, Q.; Chen, R.; Yu, J.; Zhang, M.; Wang, J. 3D hybrid Ni-Multiwall carbon nanotubes/carbon nanofibers for detecting sarin nerve agent at room temperature. J. Alloys Compd. 2019, 780, 680–689. [Google Scholar] [CrossRef]
- Yu, H.; Han, H.; Jang, J.; Cho, S. Fabrication and Optimization of Conductive Paper Based on Screen-Printed Polyaniline/Graphene Patterns for Nerve Agent Detection. ACS Omega 2019, 4, 5586–5594. [Google Scholar] [CrossRef]
- Jun, J.; Lee, J.S.; Shin, D.H.; Oh, J.; Kim, W.; Na, W.; Jang, J. Fabrication of a one-dimensional tube-in-tube polypyrrole/tin oxide structure for highly sensitive DMMP sensor applications. J. Mater. Chem. A 2017, 5, 17335–17340. [Google Scholar] [CrossRef]
- Wu, H.; Yuan, Y.; Wu, Q.; Bu, X.; Hu, L.; Li, X.; Wang, X.; Liu, W. A dimethyl methylphonate sensor based on HFIPPH modified SWCNTs. Nanotechnology 2022, 33, 165505. [Google Scholar] [CrossRef] [PubMed]
- Alali, K.T.; Liu, J.; Yu, J.; Moharram, D.; Chen, R.; Zhang, H.; Liu, Q.; Zhang, M.; Wang, J. HFIP-functionalized electrospun WO3 hollow nanofibers/rGO as an efficient double layer sensing material for dimethyl methylphosphonate gas under UV-Light irradiation. J. Alloys Compd. 2020, 832, 154999. [Google Scholar] [CrossRef]
- Yoo, R.; Kim, J.; Song, M.-J.; Lee, W.; Noh, J.S. Nano-composite sensors composed of single-walled carbon nanotubes and polyaniline for the detection of a nerve agent simulant gas. Sens. Actuators B Chem. 2015, 209, 444–448. [Google Scholar] [CrossRef]
- Alali, K.T.; Liu, J.; Aljebawi, K.; Liu, P.; Chen, R.; Li, R.; Zhang, H.; Zhou, L.; Wang, J. Electrospun n-p WO3/CuO heterostructure nanofibers as an efficient sarin nerve agent sensing material at room temperature. J. Alloys Compd. 2019, 793, 31–41. [Google Scholar] [CrossRef]
- Wu, Q.; Li, X.; Wang, X.; Yuan, Y.; Bu, X.; Wu, H.; Li, X.; Han, C.; Wang, X.; Liu, W. High-performance p-hexafluoroisopropanol phenyl functionalized multi-walled carbon nanotube film on surface acoustic wave device for organophosphorus vapor detection. Nanotechnology 2022, 33, 375501. [Google Scholar] [CrossRef] [PubMed]
- Chen, D.; Zhang, K.; Zhou, H.; Fan, G.; Wang, Y.; Li, G.; Hu, R. A wireless-electrodeless quartz crystal microbalance with dissipation DMMP sensor. Sens. Actuators B Chem. 2018, 261, 408–417. [Google Scholar] [CrossRef]
- Bielecki, M.; Witkiewicz, Z.; Rogala, P. Sensors to Detect Sarin Simulant. Crit. Rev. Anal. Chem. 2020, 51, 299–311. [Google Scholar] [CrossRef]
- Liu, H.; Shi, Y.; Wang, T. Black phosphorus–carbon nanotube gas sensor for detection of dimethyl methylphosphonate. Mater. Lett. 2021, 293, 129728. [Google Scholar] [CrossRef]
- Xie, Y.; Zheng, C.; Lan, L.; Song, H.; Kang, J.; Kang, K.; Bai, S. The Application of Microfibrous Entrapped Activated Carbon Composite Material for the Sarin Simulant Dimethyl Methylphosphonate Adsorption. Nanomaterials 2023, 13, 2661. [Google Scholar] [CrossRef] [PubMed]
- Kim, Y.-T.; Lee, S.; Park, S.; Lee, C.Y. Graphene chemiresistors modified with functionalized triphenylene for highly sensitive and selective detection of dimethyl methylphosphonate. RSC Adv. 2019, 9, 33976–33980. [Google Scholar] [CrossRef]
- Xiao, Z.; Kong, L.B.; Ruan, S.; Li, X.; Yu, S.; Li, X.; Jiang, Y.; Yao, Z.; Ye, S.; Wang, C.; et al. Recent development in nanocarbon materials for gas sensor applications. Sens. Actuators B Chem. 2018, 274, 235–267. [Google Scholar] [CrossRef]
- Meskher, H.; Ragdi, T.; Thakur, A.K.; Ha, S.; Khelfaoui, I.; Sathyamurthy, R.; Sharshir, S.W.; Pandey, A.K.; Saidur, R.; Singh, P.; et al. A Review on CNTs-Based Electrochemical Sensors and Biosensors: Unique Properties and Potential Applications. Crit. Rev. Anal. Chem. 2023, 1–24. [Google Scholar] [CrossRef]
- Meyyappan, M. Carbon Nanotube-Based Chemical Sensors. Small 2016, 12, 2118–2129. [Google Scholar] [CrossRef] [PubMed]
- Venkataraman, A.; Amadi, E.V.; Chen, Y.; Papadopoulos, C. Carbon Nanotube Assembly and Integration for Applications. Nanoscale Res. Lett. 2019, 14, 1–47. [Google Scholar] [CrossRef]
- Dai, M.; Zhao, L.; Gao, H.; Sun, P.; Liu, F.; Zhang, S.; Shimanoe, K.; Yamazoe, N.; Lu, G. Hierarchical Assembly of α-Fe2O3 Nanorods on Multiwall Carbon Nanotubes as a High-Performance Sensing Material for Gas Sensors. ACS Appl. Mater. Interfaces 2017, 9, 8919–8928. [Google Scholar] [CrossRef]
- Staerz, A.; Gao, X.; Cetmi, F.; Ming, Z.; Weimar, U.; Zhang, T.; Barsan, N. Dominant Role of Heterojunctions in Gas Sensing with Composite Materials. ACS Appl. Mater. Interfaces 2020, 12, 21127–21132. [Google Scholar] [CrossRef]
- Shin, D.H.; Lee, J.S.; Jun, J.; Kim, S.G.; Jang, J. Detection of Hazardous Gas Using Multidemensional Porous Iron Oxide Nanorods-Decorated Carbon Nanoparticles. ACS Appl. Mater. Interfaces 2015, 7, 1746–1751. [Google Scholar] [CrossRef]
- Saad, R.; Gamal, A.; Zayed, M.; Ahmed, A.M.; Shaban, M.; BinSabt, M.; Rabia, M.; Hamdy, H. Fabrication of ZnO/CNTs for Application in CO2 Sensor at Room Temperature. Nanomaterials 2021, 11, 3087. [Google Scholar] [CrossRef] [PubMed]
- Llobet, E. Gas sensors using carbon nanomaterials: A review. Sens. Actuators B Chem. 2013, 179, 32–45. [Google Scholar] [CrossRef]
- Mallakpour, S.; Khadem, E. Carbon nanotube–metal oxide nanocomposites: Fabrication, properties and applications. Chem. Eng. J. 2016, 302, 344–367. [Google Scholar] [CrossRef]
- Ou, L.-X.; Liu, M.-Y.; Zhu, L.-Y.; Zhang, D.W.; Lu, H.-L. Recent Progress on Flexible Room-Temperature Gas Sensors Based on Metal Oxide Semiconductor. Nanomicro Lett. 2022, 14, 206. [Google Scholar] [CrossRef]
- Zhang, D.; Yang, Z.; Yu, S.; Mi, Q.; Pan, Q. Diversiform metal oxide-based hybrid nanostructures for gas sensing with versatile prospects. Coord. Chem. Rev. 2020, 413, 213272. [Google Scholar] [CrossRef]
- Barreca, D.; Maccato, C.; Gasparotto, A. Metal Oxide Nanosystems As Chemoresistive Gas Sensors for Chemical Warfare Agents: A Focused Review. Adv. Mater. Interfaces 2022, 9, 2102525. [Google Scholar] [CrossRef]
- Yi, S.; Shi, W.; Yang, X.; Yao, Z. Engineering sensitive gas sensor based on MOF-derived hollow metal-oxide semiconductor heterostructures. Talanta 2023, 258, 124442. [Google Scholar] [CrossRef] [PubMed]
- Zou, J.; Qiao, Y.; Zhao, J.; Duan, Z.; Yu, J.; Jing, Y.; He, J.; Zhang, L.; Chou, X.; Mu, J. Hybrid Pressure Sensor Based on Carbon Nano-Onions and Hierarchical Microstructures with Synergistic Enhancement Mechanism for Multi-Parameter Sleep Monitoring. Nanomaterials 2023, 13, 2692. [Google Scholar] [CrossRef] [PubMed]
- Lafuente, M.; De Marchi, S.; Urbiztondo, M.; Pastoriza-Santos, I.; Pérez-Juste, I.; Santamaría, J.; Mallada, R.; Pina, M. Plasmonic MOF Thin Films with Raman Internal Standard for Fast and Ultrasensitive SERS Detection of Chemical Warfare Agents in Ambient Air. ACS Sens. 2021, 6, 2241–2251. [Google Scholar] [CrossRef]
- Li, Z.; Li, H.; Wu, Z.; Wang, M.; Luo, J.; Torun, H.; Hu, P.; Yang, C.; Grundmann, M.; Liu, X.; et al. Advances in designs and mechanisms of semiconducting metal oxide nanostructures for high-precision gas sensors operated at room temperature. Mater. Horiz. 2019, 6, 470–506. [Google Scholar] [CrossRef]
- Seekaew, Y.; Wisitsoraat, A.; Phokharatkul, D.; Wongchoosuk, C. Room temperature toluene gas sensor based on TiO2 nanoparticles decorated 3D graphene-carbon nanotube nanostructures. Sens. Actuators B Chem. 2019, 279, 69–78. [Google Scholar] [CrossRef]
- Raza, M.H.; Di Chio, R.; Movlaee, K.; Amsalem, P.; Koch, N.; Barsan, N.; Neri, G.; Pinna, N. Role of Heterojunctions of Core–Shell Heterostructures in Gas Sensing. ACS Appl. Mater. Interfaces 2022, 14, 22041–22052. [Google Scholar] [CrossRef]
- Lee, J.S.; Kwon, O.S.; Park, S.J.; Park, E.Y.; You, S.A.; Yoon, H.; Jang, J. Fabrication of Ultrafine Metal-Oxide-Decorated Carbon Nanofibers for DMMP Sensor Application. ACS Nano 2011, 5, 7992–8001. [Google Scholar] [CrossRef]
- Yang, M.; Kim, H.C.; Hong, S.-H. DMMP gas sensing behavior of ZnO-coated single-wall carbon nanotube network sensors. Mater. Lett. 2012, 89, 312–315. [Google Scholar] [CrossRef]
- Fu, Q.; Lyu, P.; Handschuh-Wang, S.; Teng, L.; Zheng, B. Facile synthesis of hierarchical Co3O4/MWCNT composites with enhanced acetone sensing property. Ceram. Int. 2022, 48, 28419–28427. [Google Scholar] [CrossRef]
- Alali, K.T.; Liu, T.; Liu, J.; Liu, Q.; Fertassi, M.A.; Li, Z.; Wang, J. Preparation and characterization of ZnO/CoNiO2 hollow nanofibers by electrospinning method with enhanced gas sensing properties. J. Alloys Compd. 2017, 702, 20–30. [Google Scholar] [CrossRef]
- Zhu, Y.; Cheng, Z.; Xiang, Q.; Chen, X.; Xu, J. Synthesis of functionalized mesoporous TiO2-SiO2 with organic fluoroalcohol as high performance DMMP gas sensor. Sens. Actuators B Chem. 2017, 248, 785–792. [Google Scholar] [CrossRef]
- Alali, K.T.; Liu, J.; Chen, R.; Liu, Q.; Zhang, H.; Li, J.; Hou, J.; Li, R.; Wang, J. HFIP-Functionalized Co3O4 Micro-Nano-Octahedra/rGO as a Double-Layer Sensing Material for Chemical Warfare Agents. Chem. Eur. J. 2019, 25, 11892–11902. [Google Scholar] [CrossRef]
- Xu, P.; Yu, H.; Li, X. Functionalized Mesoporous Silica for Microgravimetric Sensing of Trace Chemical Vapors. Anal. Chem. 2011, 83, 3448–3454. [Google Scholar] [CrossRef] [PubMed]
- Alali, K.T.; Lu, Z.; Zhang, H.; Liu, J.; Liu, Q.; Li, R.; Aljebawi, K.; Wang, J. P–p heterojunction CuO/CuCo2O4 nanotubes synthesized via electrospinning technology for detecting n-propanol gas at room temperature. Inorg. Chem. Front. 2017, 4, 1219–1230. [Google Scholar] [CrossRef]
- Alali, K.T.; Liu, J.; Liu, Q.; Li, R.; Li, Z.; Liu, P.; Aljebawi, K.; Wang, J. Tube in tube ZnO/ZnCo2O4 nanostructure synthesized by facile single capillary electrospinning with enhanced ethanol gas-sensing properties. RSC Adv. 2017, 7, 11428–11438. [Google Scholar] [CrossRef]
- Hirsch, A. Unzipping Carbon Nanotubes: A Peeling Method for the Formation of Graphene Nanoribbons. Angew. Chem. Int. Ed. 2009, 48, 6594–6596. [Google Scholar] [CrossRef]
- Wu, H.; Shi, H.; Zhang, H.; Wang, X.; Yang, Y.; Yu, C.; Hao, C.; Du, J.; Hu, H.; Yang, S. Prostate stem cell antigen antibody-conjugated multiwalled carbon nanotubes for targeted ultrasound imaging and drug delivery. Biomaterials 2014, 35, 5369–5380. [Google Scholar] [CrossRef]
- Morais, S. Advances and Applications of Carbon Nanotubes. Nanomaterials 2023, 13, 2674. [Google Scholar] [CrossRef] [PubMed]
- Ramazanov, S.; Sobola, D.; Orudzhev, F.; Knpek, A.; Polck, J.; Potocek, M.; Kaspar, P.; Dallaev, R. Surface Modification and Enhancement of Ferromagnetism in BiFeO3 Nanofilms Deposited on HOPG. Nanomaterials 2020, 10, 1990. [Google Scholar] [CrossRef] [PubMed]
- Alikhanov, N.M.-R.; Rabadanov, M.K.; Orudzhev, F.F.; Gadzhimagomedov, S.K.; Emirov, R.M.; Sadykov, S.A.; Kallav, S.N.; Rmazanov, S.; Abdulvakhidov, K.G.; Sobola, D. Size-dependent structural parameters, optical, and magnetic properties of facile synthesized pure-phase BiFeO3. J. Mater. Sci. Mater. Electron. 2021, 32, 13323–13335. [Google Scholar] [CrossRef]
- Li, L.; Ma, P.; Hussain, S.; Jia, L.; Lin, D.; Yin, X.; Lin, Y.; Cheng, Z.; Wang, L. FeS2/carbon hybrids on carbon cloth: A highly efficient and stable counter electrode for dye-sensitized solar cells. Sustain. Energy Fuels 2019, 3, 1749–1756. [Google Scholar] [CrossRef]
- Ma, M.; Peng, L.; Li, J.; Zhang, Y.; Wang, Z.; Bi, J.; Gao, D.; Wu, J. Oxygen vacancy engineering and superior sensing properties of hematite prepared via a one-step treatment. Sens. Actuators B Chem. 2021, 339, 129907. [Google Scholar] [CrossRef]
- Liu, Y.; Jiang, H.; Zhu, Y.; Yang, X.; Li, C. Transition metals (Fe, Co, and Ni) encapsulated in nitrogen-doped carbon nanotubes as bi-functional catalysts for oxygen electrode reactions. J. Mater. Chem. A 2016, 4, 1694–1701. [Google Scholar] [CrossRef]
- Casanova-Chafer, J. Advantages of Slow Sensing for Ambient Monitoring: A Practical Perspective. Sensors 2023, 23, 8784. [Google Scholar] [CrossRef] [PubMed]
- Lama, S.; Bae, B.-G.; Ramesh, S.; Lee, Y.-J.; Kim, N.; Kim, J.-H. Nano-Sheet-like Morphology of Nitrogen-Doped Graphene-Oxide-Grafted Manganese Oxide and Polypyrrole Composite for Chemical Warfare Agent Simulant Detection. Nanomaterials 2022, 12, 2965. [Google Scholar] [CrossRef] [PubMed]
- Lama, S.; Kim, J.; Ramesh, S.; Lee, Y.-J.; Kim, J.; Kim, J.-H. Highly Sensitive Hybrid Nanostructures for Dimethyl Methyl Phosphonate Detection. Micromachines 2021, 12, 648. [Google Scholar] [CrossRef] [PubMed]
- Kim, W.; Lee, J.S. Freestanding and Flexible β-MnO2@Carbon Sheet for Application as a Highly Sensitive Dimethyl Methylphosphonate Sensor. ACS Omega 2021, 6, 4988–4994. [Google Scholar] [CrossRef]
- Jiang, W.; Jiang, M.; Wang, T.; Chen, X.; Zeng, M.; Yang, J.; Zhou, Z.; Hu, N.; Su, Y.; Yang, Z. Room temperature DMMP gas sensing based on cobalt phthalocyanine derivative/graphene quantum dot hybrid materials. RSC Adv. 2021, 11, 14805–14813. [Google Scholar] [CrossRef] [PubMed]
- Kim, H.-J.; Lee, J.-H. Highly sensitive and selective gas sensors using p-type oxide semiconductors: Overview. Sens. Actuators B Chem. 2014, 192, 607–627. [Google Scholar] [CrossRef]
- Zheng, J.; Lei, Z. Incorporation of CoO nanoparticles in 3D marigold flower-like hierarchical architecture MnCo2O4 for highly boosting solar light photo-oxidation and reduction ability. Appl. Catal. B 2018, 237, 1–8. [Google Scholar] [CrossRef]
- Gao, R.; Pan, Z.; Wang, Z.L. Work function at the tips of multiwalled carbon nanotubes. Appl. Phys. Lett. 2001, 78, 1757–1759. [Google Scholar] [CrossRef]
- Su, Y.; Yu, W.; Liao, L.; Xiong, X.; Chen, H.; Hu, L.; Lei, T.; Zhao, J.; Chen, D.; Mai, W. Unveiling the Synergy of Interfacial Contact and Defects in α-Fe2O3 for Enhanced Photo-Electrochemical Water Splitting. Adv. Funct. Mater. 2023, 33, 2303976. [Google Scholar] [CrossRef]
- Shao, F.; Hernández-Ramírez, F.; Prades, J.D.; Fàbrega, C.; Andreu, T.; Morante, J.R. Copper (II) oxide nanowires for p-type conductometric NH3 sensing. Appl. Surf. Sci. 2014, 311, 177–181. [Google Scholar] [CrossRef]
- Sun, P.; Cai, Y.; Du, S.; Xu, X.; You, L.; Ma, J.; Liu, F.; Liang, X.; Sun, Y.; Lu, G. Hierarchical α-Fe2O3/SnO2 semiconductor composites: Hydrothermal synthesis and gas sensing properties. Sens. Actuators B Chem. 2013, 182, 336–343. [Google Scholar] [CrossRef]
- Niu, M.; Huang, F.; Cui, L.; Huang, P.; Yu, Y.; Wang, Y. Hydrothermal Synthesis, Structural Characteristics, and Enhanced Photocatalysis of SnO2/α-Fe2O3 Semiconductor Nanoheterostructures. ACS Nano 2010, 4, 681–688. [Google Scholar] [CrossRef] [PubMed]
- Alali, K.T.; Liu, T.; Liu, J.; Liu, Q.; Li, Z.; Zhang, H.; Aljebawi, K.; Wang, J. Fabrication of CeO2/ZnCo2O4 n–p heterostructured porous nanotubes via electrospinning technology for enhanced ethanol gas sensing performance. RSC Adv. 2016, 6, 101626–101637. [Google Scholar] [CrossRef]
- Alali, K.T.; Liu, J.; Moharram, D.; Liu, Q.; Yu, J.; Chen, R.; Li, R.; Wang, J. Fabrication of electrospun Co3O4/CuO p-p heterojunctions nanotubes functionalized with HFIP for detecting chemical nerve agent under visible light irradiation. Sens. Actuators B Chem. 2020, 314, 128076. [Google Scholar] [CrossRef]
- Malik, R.; Tomer, V.K.; Dankwort, T.; Mishra, Y.K.; Kienle, L. Cubic mesoporous Pd–WO3 loaded graphitic carbon nitride (g-CN) nanohybrids: Highly sensitive and temperature dependent VOC sensors. J. Mater. Chem. A 2018, 6, 10718–10730. [Google Scholar] [CrossRef]
- Kim, S.O.; Kim, S.G.; Ahn, H.; Yoo, J.; Jang, J.; Park, T.H. Ni-rGO Sensor Combined with Human Olfactory Receptor-Embedded Nanodiscs for Detecting Gas-Phase DMMP as a Simulant of Nerve Agents. ACS Sens. 2023, 8, 3095–3103. [Google Scholar] [CrossRef] [PubMed]
- Imran, M.; Sabri, Y.; Motta, N.; Tesfamichael, T.; Sonar, P.; Shafiei, M. Template based sintering of WO3 nanoparticles into porous tungsten oxide nanofibers for acetone sensing applications. J. Mater. Chem. C 2019, 7, 2961–2970. [Google Scholar] [CrossRef]
- Saboor, F.H.; Ueda, T.; Kamada, K.; Hyodo, T.; Mortazavi, Y.; Khodadadi, A.A.; Shimizu, Y. Enhanced NO2 gas sensing performance of bare and Pd-loaded SnO2 thick film sensors under UV-light irradiation at room temperature. Sens. Actuators B Chem. 2016, 223, 429–439. [Google Scholar] [CrossRef]










| Sensor Types | Sensing Materials | Operation Temperature | DMMP Concentration | Response Value | Response/Recovery Time (s) | References |
|---|---|---|---|---|---|---|
| SAW | NGO@MnO2/PPy | RT | 25 ppm | 98 Hz | 120/197 (75 ppm) | [56] |
| QCM | MnO2@NGO/PPy | RT | 50 ppm | 87 Hz | 101/123 | [57] |
| Resistance | PPy-rGO | RT | 100 ppm | 12.9% | 43/75 | [4] |
| Resistance | β-MnO2@CNF | RT | 100 ppb | 22.7% | −/− | [58] |
| Resistance | CoPc-HFIP-GQD | RT | 20 ppm | 8.4% | 600/640 | [59] |
| Resistance | PANI nanofiber/graphene | RT | 3 ppb | 1.9% | 2/35 | [7] |
| Resistance | rGO/WO3-HFIP | 150 °C | 10 ppm | 17.6 | 9.4/12.6 | [10] |
| Resistance | HFIP-α-Fe2O3@MWCNTs | 225 °C | 1 ppm | 16.8 | 8.7/11.9 | This work |
Disclaimer/Publisher’s Note: The statements, opinions and data contained in all publications are solely those of the individual author(s) and contributor(s) and not of MDPI and/or the editor(s). MDPI and/or the editor(s) disclaim responsibility for any injury to people or property resulting from any ideas, methods, instructions or products referred to in the content. |
© 2024 by the authors. Licensee MDPI, Basel, Switzerland. This article is an open access article distributed under the terms and conditions of the Creative Commons Attribution (CC BY) license (https://creativecommons.org/licenses/by/4.0/).
Share and Cite
Wang, X.; Liu, J.; Li, R.; Yu, J.; Liu, Q.; Zhu, J.; Liu, P. Hierarchical Nanoheterostructure of HFIP-Grafted α-Fe2O3@Multiwall Carbon Nanotubes as High-Performance Chemiresistive Sensors for Nerve Agents. Nanomaterials 2024, 14, 305. https://doi.org/10.3390/nano14030305
Wang X, Liu J, Li R, Yu J, Liu Q, Zhu J, Liu P. Hierarchical Nanoheterostructure of HFIP-Grafted α-Fe2O3@Multiwall Carbon Nanotubes as High-Performance Chemiresistive Sensors for Nerve Agents. Nanomaterials. 2024; 14(3):305. https://doi.org/10.3390/nano14030305
Chicago/Turabian StyleWang, Xuechun, Jingyuan Liu, Rumin Li, Jing Yu, Qi Liu, Jiahui Zhu, and Peili Liu. 2024. "Hierarchical Nanoheterostructure of HFIP-Grafted α-Fe2O3@Multiwall Carbon Nanotubes as High-Performance Chemiresistive Sensors for Nerve Agents" Nanomaterials 14, no. 3: 305. https://doi.org/10.3390/nano14030305
APA StyleWang, X., Liu, J., Li, R., Yu, J., Liu, Q., Zhu, J., & Liu, P. (2024). Hierarchical Nanoheterostructure of HFIP-Grafted α-Fe2O3@Multiwall Carbon Nanotubes as High-Performance Chemiresistive Sensors for Nerve Agents. Nanomaterials, 14(3), 305. https://doi.org/10.3390/nano14030305

