A Reconfigurable Polarimetric Photodetector Based on the MoS2/PdSe2 Heterostructure with a Charge-Trap Gate Stack
Abstract
1. Introduction
2. Materials and Methods
3. Results
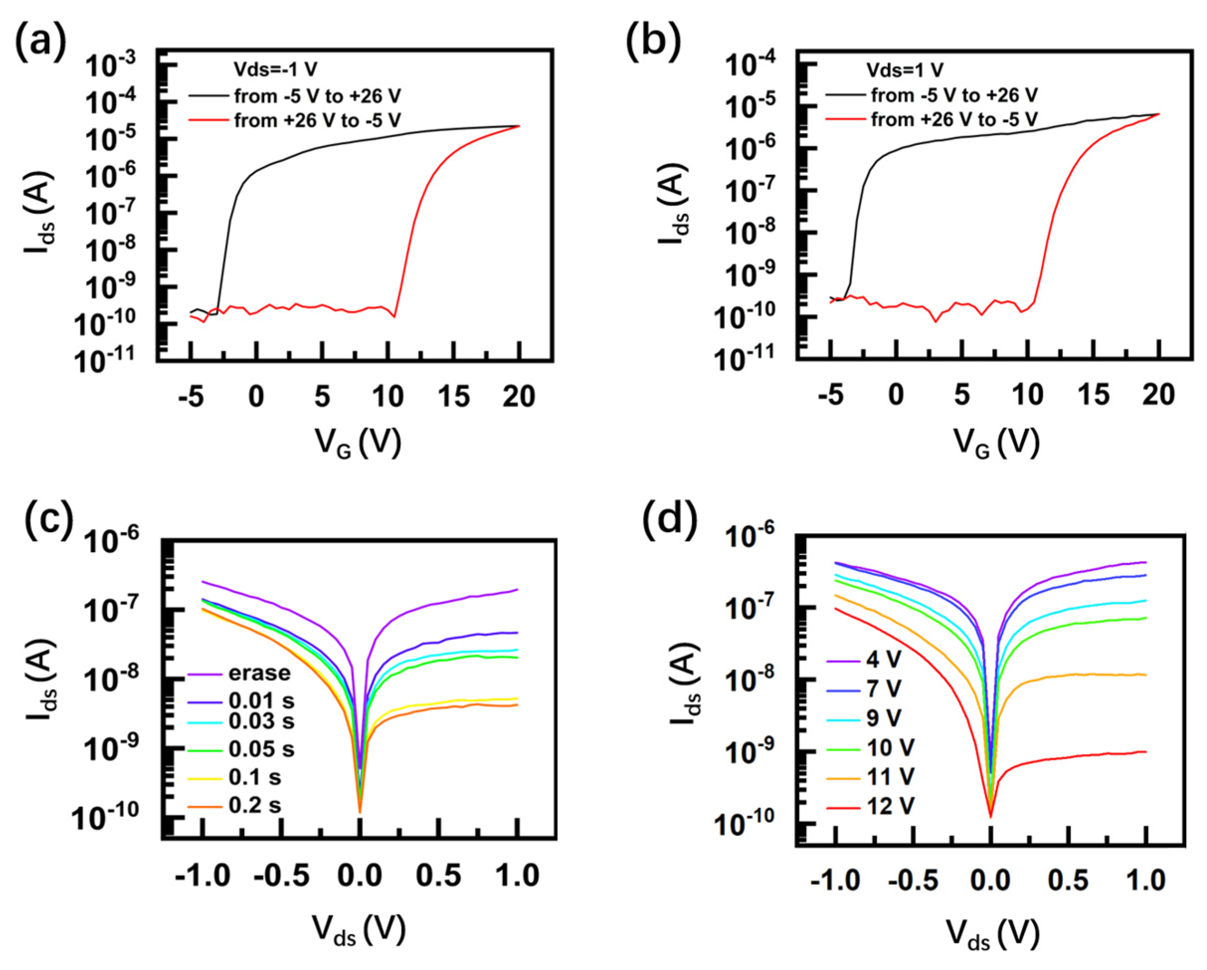
3.1. Transfer Characteristics and Static Memory Behavior
3.2. Dynamic Memory Behavior of the Device
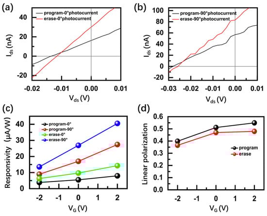
3.3. Photovoltaic Behavior and Reconfigurable Linear Polarization
4. Discussion
5. Conclusions
Supplementary Materials
Author Contributions
Funding
Data Availability Statement
Conflicts of Interest
References
- Hou, H.Y.; Tian, S.; Ge, H.R.; Chen, J.D.; Li, Y.Q.; Tang, J.X. Recent progress of polarization-sensitive perovskite photodetectors. Adv. Funct. Mater. 2022, 32, 2209324. [Google Scholar] [CrossRef]
- Wu, D.; Guo, J.; Du, J.; Xia, C.; Zeng, L.; Tian, Y.; Shi, Z.; Tian, Y.; Li, X.J.; Tsang, Y.H. Highly polarization-sensitive, broadband, self-powered photodetector based on graphene/PdSe2/germanium heterojunction. ACS Nano 2019, 13, 9907–9917. [Google Scholar] [CrossRef] [PubMed]
- Wang, J.; Jiang, C.; Li, W.; Xiao, X. Anisotropic low-dimensional materials for polarization-sensitive photodetectors: From materials to devices. Adv. Opt. Mater. 2022, 10, 2102436. [Google Scholar] [CrossRef]
- Guo, Z.; Cao, R.; Wang, H.; Zhang, X.; Meng, F.; Chen, X.; Gao, S.; Sang, D.K.; Nguyen, T.H.; Duong, A.T. High-performance polarization-sensitive photodetectors on two-dimensional β-InSe. Natl. Sci. Rev. 2022, 9, nwab098. [Google Scholar] [CrossRef]
- Huo, N.; Konstantatos, G. Recent progress and future prospects of 2D-based photodetectors. Adv. Mater. 2018, 30, 1801164. [Google Scholar] [CrossRef]
- Zhou, C.; Zhang, S.; Lv, Z.; Ma, Z.; Yu, C.; Feng, Z.; Chan, M. Self-driven WSe2 photodetectors enabled with asymmetrical van der Waals contact interfaces. npj 2D Mater. Appl. 2020, 4, 46. [Google Scholar] [CrossRef]
- Qiu, Q.; Huang, Z. Photodetectors of 2D materials from ultraviolet to terahertz waves. Adv. Mater. 2021, 33, 2008126. [Google Scholar] [CrossRef]
- Zhou, Z.; Long, M.; Pan, L.; Wang, X.; Zhong, M.; Blei, M.; Wang, J.; Fang, J.; Tongay, S.; Hu, W. Perpendicular optical reversal of the linear dichroism and polarized photodetection in 2D GeAs. ACS Nano 2018, 12, 12416–12423. [Google Scholar] [CrossRef]
- Yuan, H.; Liu, X.; Afshinmanesh, F.; Li, W.; Xu, G.; Sun, J.; Lian, B.; Curto, A.G.; Ye, G.; Hikita, Y. Polarization-sensitive broadband photodetector using a black phosphorus vertical p–n junction. Nat. Nanotechnol. 2015, 10, 707–713. [Google Scholar] [CrossRef]
- Liu, F.; Zheng, S.; He, X.; Chaturvedi, A.; He, J.; Chow, W.L.; Mion, T.R.; Wang, X.; Zhou, J.; Fu, Q. Highly sensitive detection of polarized light using anisotropic 2D ReS2. Adv. Funct. Mater. 2016, 26, 1169–1177. [Google Scholar] [CrossRef]
- Li, L.; Gong, P.; Sheng, D.; Wang, S.; Wang, W.; Zhu, X.; Shi, X.; Wang, F.; Han, W.; Yang, S. Highly in-plane anisotropic 2D GeAs2 for polarization-sensitive photodetection. Adv. Mater. 2018, 30, 1804541. [Google Scholar] [CrossRef] [PubMed]
- Wang, X.; Shang, J.; Zhu, M.; Zhou, X.; Hao, R.; Sun, L.; Xu, H.; Zheng, J.; Lei, X.; Li, C. Controlled growth of large-scale uniform 1T′-MoTe2 crystals with tunable thickness and their photodetector applications. Nanoscale Horiz. 2020, 5, 954–959. [Google Scholar] [CrossRef]
- Xu, Z.; Luo, B.; Chen, Y.; Li, X.; Chen, Z.; Yuan, Q.; Xiao, X. High sensitivity and anisotropic broadband photoresponse of Td-WTe2. Phys. Lett. A 2021, 389, 127093. [Google Scholar] [CrossRef]
- Ahn, J.; Ko, K.; Kyhm, J.-h.; Ra, H.-S.; Bae, H.; Hong, S.; Kim, D.-Y.; Jang, J.; Kim, T.W.; Choi, S. Near-infrared self-powered linearly polarized photodetection and digital incoherent holography using WSe2/ReSe2 van der Waals heterostructure. ACS Nano 2021, 15, 17917–17925. [Google Scholar] [CrossRef]
- Xiong, J.; Dan, Z.; Li, H.; Li, S.; Sun, Y.; Gao, W.; Huo, N.; Li, J. Multifunctional GeAs/WS2 heterojunctions for highly polarization-sensitive photodetectors in the short-wave infrared range. ACS Appl. Mater. Inter. 2022, 14, 22607–22614. [Google Scholar] [CrossRef] [PubMed]
- Jiang, J.; Xu, W.; Guo, F.; Yang, S.; Ge, W.; Shen, B.; Tang, N. Polarization-resolved near-infrared PdSe2 pin homojunction photodetector. Nano Lett. 2023, 23, 9522–9528. [Google Scholar] [CrossRef] [PubMed]
- Huang, M.; Luo, S.; Qiao, H.; Yao, B.; Huang, Z.; Wang, Z.; Bao, Q.; Qi, X. Ferroelectric polarization enhanced photodetector based on layered NbOCl2. Small Sci. 2024, 4, 2300246. [Google Scholar] [CrossRef]
- Wu, G.; Zhang, X.; Feng, G.; Wang, J.; Zhou, K.; Zeng, J.; Dong, D.; Zhu, F.; Yang, C.; Zhao, X. Ferroelectric-defined reconfigurable homojunctions for in-memory sensing and computing. Nat. Mater. 2023, 22, 1499–1506. [Google Scholar] [CrossRef]
- Zhou, G.; Li, J.; Song, Q.; Wang, L.; Ren, Z.; Sun, B.; Hu, X.; Wang, W.; Xu, G.; Chen, X. Full hardware implementation of neuromorphic visual system based on multimodal optoelectronic resistive memory arrays for versatile image processing. Nat. Commun. 2023, 14, 8489. [Google Scholar] [CrossRef]
- Zhang, G.-X.; Zhang, Z.-C.; Chen, X.-D.; Kang, L.; Li, Y.; Wang, F.-D.; Shi, L.; Shi, K.; Liu, Z.-B.; Tian, J.-G. Broadband sensory networks with locally stored responsivities for neuromorphic machine vision. Sci. Adv. 2023, 9, eadi5104. [Google Scholar] [CrossRef]
- Long, M.; Wang, Y.; Wang, P.; Zhou, X.; Xia, H.; Luo, C.; Huang, S.; Zhang, G.; Yan, H.; Fan, Z. Palladium diselenide long-wavelength infrared photodetector with high sensitivity and stability. ACS Nano 2019, 13, 2511–2519. [Google Scholar] [CrossRef] [PubMed]
- Kang, J.; Tongay, S.; Zhou, J.; Li, J.; Wu, J. Band offsets and heterostructures of two-dimensional semiconductors. Appl. Phys. Lett. 2013, 102, 012111. [Google Scholar] [CrossRef]
- Sup Choi, M.; Lee, G.-H.; Yu, Y.-J.; Lee, D.-Y.; Hwan Lee, S.; Kim, P.; Hone, J.; Jong Yoo, W. Controlled charge trapping by molybdenum disulphide and graphene in ultrathin heterostructured memory devices. Nat. Commun. 2013, 4, 1624. [Google Scholar] [CrossRef] [PubMed]





Disclaimer/Publisher’s Note: The statements, opinions and data contained in all publications are solely those of the individual author(s) and contributor(s) and not of MDPI and/or the editor(s). MDPI and/or the editor(s) disclaim responsibility for any injury to people or property resulting from any ideas, methods, instructions or products referred to in the content. |
© 2024 by the authors. Licensee MDPI, Basel, Switzerland. This article is an open access article distributed under the terms and conditions of the Creative Commons Attribution (CC BY) license (https://creativecommons.org/licenses/by/4.0/).
Share and Cite
Huang, X.; Bai, Q.; Guo, Y.; Liang, Q.; Liu, T.; Liao, W.; Jin, A.; Quan, B.; Yang, H.; Liu, B.; et al. A Reconfigurable Polarimetric Photodetector Based on the MoS2/PdSe2 Heterostructure with a Charge-Trap Gate Stack. Nanomaterials 2024, 14, 1936. https://doi.org/10.3390/nano14231936
Huang X, Bai Q, Guo Y, Liang Q, Liu T, Liao W, Jin A, Quan B, Yang H, Liu B, et al. A Reconfigurable Polarimetric Photodetector Based on the MoS2/PdSe2 Heterostructure with a Charge-Trap Gate Stack. Nanomaterials. 2024; 14(23):1936. https://doi.org/10.3390/nano14231936
Chicago/Turabian StyleHuang, Xin, Qinghu Bai, Yang Guo, Qijie Liang, Tengzhang Liu, Wugang Liao, Aizi Jin, Baogang Quan, Haifang Yang, Baoli Liu, and et al. 2024. "A Reconfigurable Polarimetric Photodetector Based on the MoS2/PdSe2 Heterostructure with a Charge-Trap Gate Stack" Nanomaterials 14, no. 23: 1936. https://doi.org/10.3390/nano14231936
APA StyleHuang, X., Bai, Q., Guo, Y., Liang, Q., Liu, T., Liao, W., Jin, A., Quan, B., Yang, H., Liu, B., & Gu, C. (2024). A Reconfigurable Polarimetric Photodetector Based on the MoS2/PdSe2 Heterostructure with a Charge-Trap Gate Stack. Nanomaterials, 14(23), 1936. https://doi.org/10.3390/nano14231936

