Enhancing the Thermal Stability of Skyrmion in Magnetic Nanowires for Nanoscale Data Storage
Abstract
1. Introduction
2. Theoretical Model
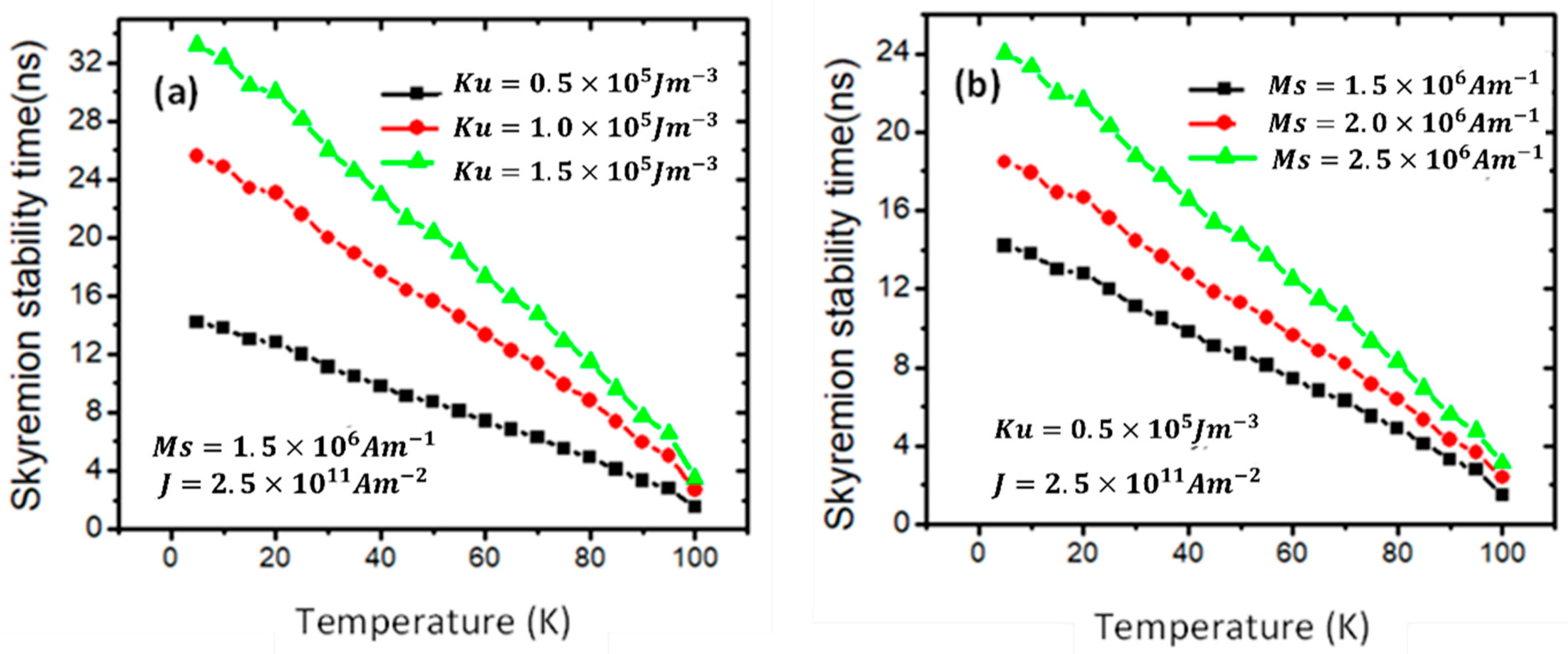
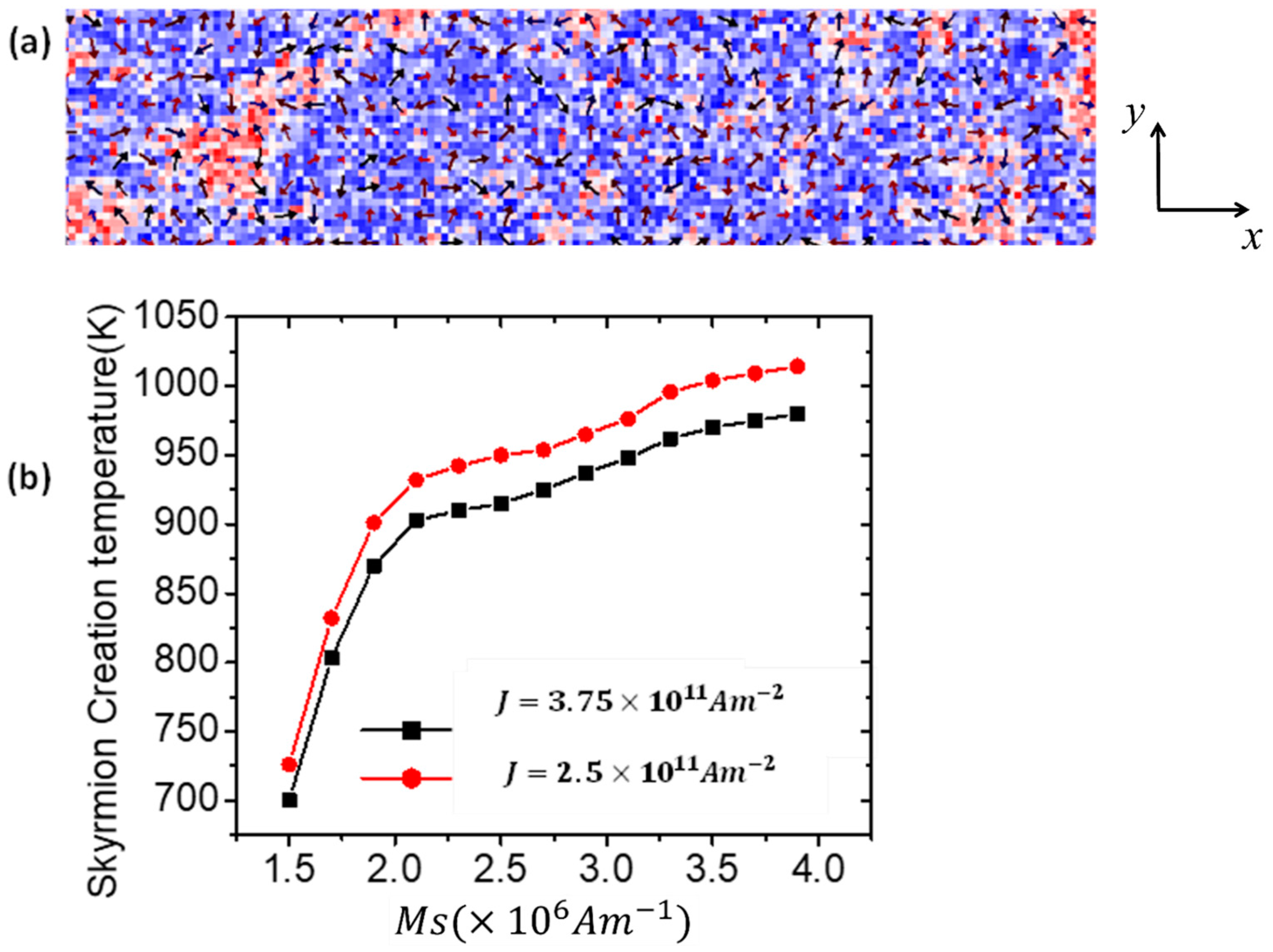
3. Results and Discussion
4. Conclusions
Author Contributions
Funding
Data Availability Statement
Acknowledgments
Conflicts of Interest
References
- Hayashi, M.; Thomas, L.; Rettner, C.; Moriya, R.; Jiang, X.; Parkin, S.S. Dependence of Current and Field Driven Depinning of Domain Walls on Their Structure and Chirality in Permalloy Nanowires. Phys. Rev. Lett. 2006, 97, 207205. [Google Scholar] [CrossRef] [PubMed]
- Hayashi, M.; Thomas, L.; Moriya, R.; Rettner, C.; Parkin, S.S. Current-controlled magnetic domain-wall nanowire shift register. Science 2008, 320, 5373. [Google Scholar] [CrossRef] [PubMed]
- Liu, R.H.; Lim, W.L.; Urazhdin, S. Dynamical Skyrmion State in a Spin Current Nano-Oscillator with Perpendicular Magnetic Anisotropy. Phys. Rev. Lett. 2015, 114, 137201. [Google Scholar] [CrossRef]
- Xia, J.; Zhang, X.; Mak, K.Y.; Ezawa, M.; Tretiakov, O.A.; Zhou, Y.; Zhao, G.; Liu, X. Current-induced dynamics of skyrmion tubes in synthetic antiferromagnetic multilayers. Phys. Rev. B 2021, 103, 174408. [Google Scholar] [CrossRef]
- Zivieri, R.; Tomasello, R.; Chubykalo-Fesenko, O.; Tiberkevich, V.; Carpentieri, M.; Finocchio, G. Configurational entropy of magnetic skyrmions as an ideal gas. Phys. Rev. B 2019, 99, 174440. [Google Scholar] [CrossRef]
- Zhang, X.; Ezawa, M.; Zhou, Y. Magnetic skyrmion logic gates: Conversion, duplication and merging of skyrmions. Sci. Rep. 2015, 5, 9400. [Google Scholar] [CrossRef]
- Kang, W.; Zheng, C.; Huang, Y.; Zhang, X.; Zhou, Y.; Lv, W.; Zhao, W. Complementary Skyrmion Racetrack Memory with Voltage Manipulation. IEEE Electron Device Lett. 2016, 37, 924–927. [Google Scholar] [CrossRef]
- Zhang, X.; Ezawa, M.; Xiao, D.; Zhao, G.P.; Liu, Y.; Zhou, Y. All-magnetic control of skyrmions in nanowires by a spin wave. Nanotechnology 2015, 26, 1–10. [Google Scholar]
- Li, H.; Akosa, C.A.; Yan, P.; Wang, Y.; Cheng, Z. Stabilization of Skyrmions in a Nanodisk Without an External Magnetic Field. Phys. Rev. Appl. 2020, 13, 034046. [Google Scholar] [CrossRef]
- Mathur, N.; Stolt, M.J.; Jin, S. Magnetic skyrmions in nanostructures of non-centrosymmetric materials. APL Mater. 2019, 7, 120703. [Google Scholar] [CrossRef]
- Wiesendanger, R. Nanoscale magnetic skyrmions in metallic films and multilayers: A new twist for spintronics. Nat. Rev. Mater. 2016, 1, 16044. [Google Scholar] [CrossRef]
- Beg, M.; Carey, R.; Wang, W.; Cortés-Ortuño, D.; Vousden, M.; Bisotti, M.A.; Albert, M.; Chernyshenko, D.; Hovorka, O.; Stamps, R.L.; et al. Ground state search, hysteretic behaviour, and reversal mechanism of skyrmionic textures in confined helimagnetic nanostructures. Sci. Rep. 2015, 5, 17137. [Google Scholar] [CrossRef] [PubMed]
- Zhang, X.; Müller, J.; Xia, J.; Garst, M.; Liu, X.; Zhou, Y. Motion of skyrmions in nanowires driven by magnonic momentum-transfer forces. New J. Phys. 2017, 19, 065001. [Google Scholar] [CrossRef]
- Finocchio, G.; Büttner, F.; Tomasello, R.; Carpentieri, M.; Kläui, M. Magnetic skyrmions: From fundamental to applications. J. Phys. D Appl. Phys. 2016, 49, 1–17. [Google Scholar] [CrossRef]
- Mackinnon, C.R.; Lepadatu, S.; Mercer, T.; Bissell, P.R. Role of an additional interfacial spin-transfer torque for current-driven skyrmion dynamics in chiral magnetic layers. Phys. Rev. B 2020, 102, 214408. [Google Scholar] [CrossRef]
- Guo, J.H.; Xia, J.; Zhang, X.C.; Pong PW, T.; Wu, Y.M.; Chen, H.; Zhao, W.S.; Zhou, Y. A ferromagnetic skyrmion-based nano-oscillator with a modified profile of Dzyaloshinskii-Moriya interaction. J. Magn. Magn. Mater. 2020, 496, 165912. [Google Scholar] [CrossRef]
- Masell, J.; Rodrigues, D.R.; Mckeever, B.F.; Everschor-Sitte, K. Spin-transfer torque driven motion, deformation, and instabilities of magnetic skyrmions at high currents. Phys. Rev. B 2020, 101, 214428. [Google Scholar] [CrossRef]
- Castillo-Sepúlveda, S.; Vélez, J.A.; Corona, R.M.; Carvalho-Santos, V.L.; Laroze, D.; Altbir, D. Skyrmion Dynamics in a Double-Disk Geometry under an Electric Current: Part Two. Nanomaterials 2022, 12, 3793. [Google Scholar] [CrossRef]
- Osca, J.; Sorée, B. Skyrmion spin transfer torque due to current confined in a nanowire. Phys. Rev. B 2020, 102, 125436. [Google Scholar] [CrossRef]
- Kang, W.; Chen, X.; Zhu, D.; Zhang, X.; Zhou, Y.; Qiu, K.; Zhang, Y.; Zhao, W. A Comparative Study on Racetrack Memories: Domain Wall vs. Skyrmion. In Proceedings of the 7th IEEE Non-Volatile Memory Systems and Applications Symposium, NVMSA 2018, Hakodate, Japan, 29–31 August 2018. [Google Scholar] [CrossRef]
- Hoffmann, M.; Müller, G.P.; Melcher, C.; Blügel, S. Skyrmion-Antiskyrmion Racetrack Memory in Rank-One DMI Materials. Front. Phys. 2021, 9, 769873. [Google Scholar] [CrossRef]
- Tomasello, R.; Martinez, E.; Zivieri, R.; Torres, L.; Carpentieri, M.; Finocchio, G. A strategy for the design of skyrmion racetrack memories. Sci. Rep. 2014, 4, 6784. [Google Scholar] [CrossRef] [PubMed]
- Zhang, X.; Zhao, G.P.; Fangohr, H.; Liu, J.P.; Xia, W.X.; Xia, J.; Morvan, F.J. Skyrmion-skyrmion and skyrmion-edge repulsions in skyrmion-based racetrack memory. Sci. Rep. 2015, 5, 7643. [Google Scholar] [CrossRef]
- Zhu, D.; Kang, W.; Li, S.; Huang, Y.; Zhang, X.; Zhou, Y.; Zhao, W. Skyrmion racetrack memory with random information update/deletion/insertion. IEEE Trans. Electron Devices 2018, 65, 87–95. [Google Scholar] [CrossRef]
- Luo, S.; You, L. Skyrmion devices for memory and logic applications. APL Mater. 2021, 9, 050901. [Google Scholar] [CrossRef]
- Ian, C.C. Magnetic skyrmion stabilization, nucleation, and dynamics on magnetic multilayer thin films. Phys. Rev. B 2021, 103, 144409. [Google Scholar] [CrossRef]
- Berganza, E.; Jaafar, M.; Fernandez-Roldan, J.A.; Goiriena-Goikoetxea, M.; Pablo-Navarro, J.; Garciá-Arribas, A.; Guslienko, K.; Magén, C.; De Teresa, J.M.; Chubykalo-Fesenko, O.; et al. Half-hedgehog spin textures in sub-100 nm soft magnetic nanodots. Nanoscale 2020, 12, 18646–18653. [Google Scholar] [CrossRef] [PubMed]
- Guslienko, K.Y. Skyrmion State Stability in Magnetic Nanodots with Perpendicular Anisotropy. IEEE Magn. Lett. 2015, 6, 4000104. [Google Scholar] [CrossRef]
- Berganza, E.; Marqués-Marchán, J.; Bran, C.; Vazquez, M.; Asenjo, A.; Jaafar, M. Evidence of skyrmion-tube mediated magnetization reversal in modulated nanowires. Materials 2021, 14, 5671. [Google Scholar] [CrossRef] [PubMed]
- Moutafis, C.; Komineas, S.; Vaz, C.A.F.; Bland, J.A.C.; Shima, T.; Seki, T.; Takanashi, K. Magnetic bubbles in FePt nanodots with perpendicular anisotropy. Phys. Rev. B Condens. Matter Mater. Phys. 2007, 76, 104426. [Google Scholar] [CrossRef]
- Al Bahri, M.; Al-Kamiyani, S.; Al Habsi, A. Vortex Domain Wall Thermal Pinning and Depinning in a Constricted Magnetic Nanowire for Storage Memory Nanodevices. Nanomaterials 2024, 14, 1518. [Google Scholar] [CrossRef]
- Al Saidi, W.; Sbiaa, R. Stabilizing magnetic skyrmions in constricted nanowires. Sci. Rep. 2022, 12, 10141. [Google Scholar] [CrossRef]
- Al Bahri, M. Chiral Dependence of Vortex Domain Wall Structure in a Stepped Magnetic Nanowire. Phys. Status Solidi (A) Appl. Mater. Sci. 2022, 219, 2100560. [Google Scholar] [CrossRef]
- Toscano, D.; Leonel, S.A.; Coura, P.Z.; Sato, F. Building traps for skyrmions by the incorporation of magnetic defects into nanomagnets: Pinning and scattering traps by magnetic properties engineering. J. Magn. Magn. Mater. 2019, 480, 171–185. [Google Scholar] [CrossRef]
- Gruber, R.; Zázvorka, J.; Brems, M.A.; Rodrigues, D.R.; Dohi, T.; Kerber, N.; Seng, B.; Vafaee, M.; Everschor-Sitte, K.; Virnau, P.; et al. Skyrmion pinning energetics in thin film systems. Nat. Commun. 2022, 13, 3144. [Google Scholar] [CrossRef] [PubMed]
- Siracusano, G.; Tomasello, R.; Giordano, A.; Puliafito, V.; Azzerboni, B.; Ozatay, O.; Carpentieri, M.; Finocchio, G. Magnetic Radial Vortex Stabilization and Efficient Manipulation Driven by the Dzyaloshinskii-Moriya Interaction and Spin-Transfer Torque. Phys. Rev. Lett. 2016, 117, 087204. [Google Scholar] [CrossRef] [PubMed]
- Zhang, X.; Ezawa, M.; Zhou, Y. Thermally stable magnetic skyrmions in multilayer synthetic antiferromagnetic racetracks. Phys. Rev. B 2016, 94, 064406. [Google Scholar] [CrossRef]
- Uzdin, V.M.; Potkina, M.N.; Lobanov, I.S.; Bessarab, P.F.; Jónsson, H. Energy surface and lifetime of magnetic skyrmions. J. Magn. Magn. Mater. 2018, 459, 236–240. [Google Scholar] [CrossRef]
- Chui, C.P.; Ma, F.; Zhou, Y. Geometrical and physical conditions for skyrmion stability in a nanowire. AIP Adv. 2015, 5, 047141. [Google Scholar] [CrossRef]
- Mathur, N.; Yasin, F.S.; Stolt, M.J.; Nagai, T.; Kimoto, K.; Du, H.; Tian, M.; Tokura, Y.; Yu, X.; Jin, S. In-Plane Magnetic Field-Driven Creation and Annihilation of Magnetic Skyrmion Strings in Nanostructures. Adv. Funct. Mater. 2021, 31, 2008521. [Google Scholar] [CrossRef]
- Potkina, M.N.; Lobanov, I.S.; Jónsson, H.; Uzdin, V.M. Skyrmions in antiferromagnets: Thermal stability and the effect of external field and impurities. J. Appl. Phys. 2020, 127, 213906. [Google Scholar] [CrossRef]
- Al Bahri, M. Controlling domain wall thermal stability switching in magnetic nanowires for storage memory nanodevices. J. Magn. Magn. Mater. 2022, 543, 168611. [Google Scholar] [CrossRef]
- Higgins, B.E.; Torabi, A.F.; Mallary, M.L. Measurement of thermal stability factor distribution in thin film media. IEEE Trans. Magn. 2001, 37, 1528–1530. [Google Scholar] [CrossRef]
- Wang, Y.; Su, Y.; Hu, J. Approach to writing-induced different types of spin vortex structure into ferromagnetic nanostripes. J. Magn. Magn. Mater. 2013, 328, 21–25. [Google Scholar] [CrossRef]
- Donahue, M.; Porter, D.G. OOMMF User’s Guide, Version 1.0; Interagency Report NISTIR 6376; Technical 427 Report; National Institute of Standards and Technology: Gaithersburg, MD, USA, 1999. Available online: https://math.nist.gov/oommf/.= (accessed on 25 September 2024).
- Zhang, Z.; Vogel, M.; Holanda, J.; Jungfleisch, M.; Liu, C.; Li, Y.; Pearson, J.; Divan, R.; Zhang, W.; Hoffmann, A.; et al. Spin-wave frequency division multiplexing in an yttrium iron garnet microstripe magnetized by inhomogeneous field. Appl. Phys. Lett. 2019, 115, 232402. [Google Scholar] [CrossRef]
- Holanda, J.; Campos, C.; Franca, C.; Padrón-Hernández, E. Effective surface anisotropy in polycrystalline ferromagnetic nan-owires. J. Alloys Compd. 2014, 617, 639–641. [Google Scholar] [CrossRef]
- Holanda, J.; Silva, D.B.O.; Padrón-Hernández, E. Angular dependence of the coercivity in arrays of ferromagnetic Nanowires. J. Magn. Magn. Mater. 2015, 378, 228–231. [Google Scholar] [CrossRef]
- Al Bahri, M.; Al-Kamiyani, S. Thermal Effects on Domain Wall Stability at Magnetic Stepped Nanowire for Nanodevices Storage. Nanomaterials 2024, 14, 1202. [Google Scholar] [CrossRef]
- Zang, J.; Mostovoy, M.; Han, J.H.; Nagaosa, N. Topological dynamics and current-induced motion of skyrmion lattices. Phys. Rev. Lett. 2011, 107, 136804. [Google Scholar] [CrossRef]










| (s) | A (s) | (nm) | |
|---|---|---|---|
| 100 | 1.11 | 0.10 | 9.48 |
| 300 | 0.87 | 0.07 |
Disclaimer/Publisher’s Note: The statements, opinions and data contained in all publications are solely those of the individual author(s) and contributor(s) and not of MDPI and/or the editor(s). MDPI and/or the editor(s) disclaim responsibility for any injury to people or property resulting from any ideas, methods, instructions or products referred to in the content. |
© 2024 by the authors. Licensee MDPI, Basel, Switzerland. This article is an open access article distributed under the terms and conditions of the Creative Commons Attribution (CC BY) license (https://creativecommons.org/licenses/by/4.0/).
Share and Cite
Al Bahri, M.; Al Hinaai, M.; Al Balushi, R.; Al-Kamiyani, S. Enhancing the Thermal Stability of Skyrmion in Magnetic Nanowires for Nanoscale Data Storage. Nanomaterials 2024, 14, 1763. https://doi.org/10.3390/nano14211763
Al Bahri M, Al Hinaai M, Al Balushi R, Al-Kamiyani S. Enhancing the Thermal Stability of Skyrmion in Magnetic Nanowires for Nanoscale Data Storage. Nanomaterials. 2024; 14(21):1763. https://doi.org/10.3390/nano14211763
Chicago/Turabian StyleAl Bahri, Mohammed, Mohammed Al Hinaai, Rayya Al Balushi, and Salim Al-Kamiyani. 2024. "Enhancing the Thermal Stability of Skyrmion in Magnetic Nanowires for Nanoscale Data Storage" Nanomaterials 14, no. 21: 1763. https://doi.org/10.3390/nano14211763
APA StyleAl Bahri, M., Al Hinaai, M., Al Balushi, R., & Al-Kamiyani, S. (2024). Enhancing the Thermal Stability of Skyrmion in Magnetic Nanowires for Nanoscale Data Storage. Nanomaterials, 14(21), 1763. https://doi.org/10.3390/nano14211763

