Sign in to use this feature.

Years

Between: -

Subjects

remove_circle_outline
remove_circle_outline
remove_circle_outline
remove_circle_outline
remove_circle_outline
remove_circle_outline
remove_circle_outline
remove_circle_outline
remove_circle_outline

Journals

Article Types

Countries / Regions

Search Results (131)

Search Parameters:
Keywords = micromagnetic simulation

Order results
Result details
Results per page
Select all
Export citation of selected articles as:
10 pages, 3784 KB  
Article
Energetic Analysis During the Magnetization Reversal Process of a Hollow Fe Nano-Sphere by Micromagnetic Simulations
by Mauricio Galvis, Fredy Mesa and César Leandro Londoño-Calderón
Magnetochemistry 2026, 12(2), 27; https://doi.org/10.3390/magnetochemistry12020027 - 22 Feb 2026
Viewed by 159
Abstract
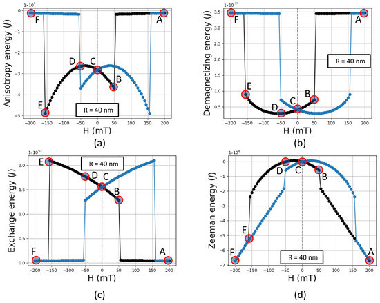
This work presents a detailed micromagnetic analysis of the magnetization reversal process in hollow iron nanospheres with a shell thickness of 16 nm. Using the Ubermag computational framework coupled to the OOMMF, we demonstrate that these nanospheres exhibit high coercivity and remanence, producing [...] Read more.
This work presents a detailed micromagnetic analysis of the magnetization reversal process in hollow iron nanospheres with a shell thickness of 16 nm. Using the Ubermag computational framework coupled to the OOMMF, we demonstrate that these nanospheres exhibit high coercivity and remanence, producing elongated hysteresis loops, consistently with previous experimental findings. The reversal process is governed by the nucleation and evolution of non-collinear magnetic domains and domain walls, as revealed by magnetization mapping. A comprehensive energetic evaluation indicates a dynamic competition among anisotropy, exchange, Zeeman, and demagnetizing energies, with the latter exerting a dominant influence on the final magnetic configuration. These results enhance our understanding of the magnetic behavior in hollow nanostructures and provide a theoretical foundation for their application in spintronic and biomedical systems. Full article
(This article belongs to the Section Applications of Magnetism and Magnetic Materials)
Show Figures

Figure 1

18 pages, 4939 KB  
Article
Creation of High-Density Néel Skyrmions by Interfacial-Proximity Engineering
by Tingjia Zhang, Chendi Yang, Xiaowei Lv, Ke Pei, Xiao Yang, Wuyang Tan, Junye Pan, Jiazhuan Qin, Meichen Wen, Wei Li, Jia Liang and Renchao Che
Materials 2026, 19(2), 340; https://doi.org/10.3390/ma19020340 - 14 Jan 2026
Viewed by 441
Abstract
Two-dimensional ferromagnets are promising for compact spintronic devices. However, their centrosymmetric structure inherently suppresses the Dzyaloshinskii–Moriya interaction (DMI), hindering the stabilization of chiral spin texture. Here, a tunable DMI induced by interface symmetry breaking in Fe3GeTe2/MoS2 vdW heterostructures [...] Read more.
Two-dimensional ferromagnets are promising for compact spintronic devices. However, their centrosymmetric structure inherently suppresses the Dzyaloshinskii–Moriya interaction (DMI), hindering the stabilization of chiral spin texture. Here, a tunable DMI induced by interface symmetry breaking in Fe3GeTe2/MoS2 vdW heterostructures is reported. We find that the interfacial DMI stabilizes Néel-type skyrmions in Fe3GeTe2/MoS2 heterostructures under zero magnetic field, with nucleation observed at 64 Oe and annihilation at 800 Oe via Lorentz transmission electron microscopy (LTEM). Skyrmion density peaks (~0.57 skyrmions/μm2) at a Fe3GeTe2 thickness of ~30 nm and decays beyond ~60 nm, indicating a finite penetration depth of the proximity effect. Such modulated DMI enables a stabilized nucleation of Néel type skyrmions, allowing for precise control over their density, revealed by Lorentz transmission electron microscopy. Thickness-dependent measurements confirm the interfacial origin of this stabilization. Skyrmion density reaches peak in thin Fe3GeTe2 layers and decays beyond ~60 nm, defining the finite penetration depth of the proximity effect. Micromagnetic simulations reproduce the field-dependent evolution of skyrmions, showing a strong correlation to interfacial DMI. First-principles calculations attribute this DMI to asymmetric charge redistribution and spin–orbit coupling at the heterointerface. This work establishes interface engineering as a universal strategy for stabilizing skyrmions in centrosymmetric vdW ferromagnets, offering a thickness-tunable platform for next-generation two-dimensional spintronic devices. Full article
(This article belongs to the Section Thin Films and Interfaces)
Show Figures

Figure 1

17 pages, 1967 KB  
Article
Micromagnetic Analysis of Monolayer L10-FePt and Bilayer L10-FePt/Fe Ultrathin Films
by Nikolaos Maniotis
Magnetism 2026, 6(1), 5; https://doi.org/10.3390/magnetism6010005 - 9 Jan 2026
Viewed by 333
Abstract
This work presents a micromagnetic investigation of monolayer L10 FePt and FePt/Fe bilayer thin films to clarify the role of thickness, composition, and exchange coupling in their magnetic behavior. Simulations were performed using the Landau–Lifshitz–Gilbert formalism implemented in OOMMF, with realistic [...] Read more.
This work presents a micromagnetic investigation of monolayer L10 FePt and FePt/Fe bilayer thin films to clarify the role of thickness, composition, and exchange coupling in their magnetic behavior. Simulations were performed using the Landau–Lifshitz–Gilbert formalism implemented in OOMMF, with realistic material parameters and geometries. For FePt monolayers, film thicknesses of 1–20 nm were examined, revealing a non-monotonic coercivity trend: the coercive field increased from 35 mT at 1 nm to 136 mT at 10 nm and decreased to 69 mT at 20 nm. This evolution indicates a transition from localized reversal to domain-wall-mediated switching once the film exceeds the exchange length (10–20 nm). Additional simulations varying Fe concentration (48–68%) through the exchange stiffness constant showed that higher Fe content strengthens magnetic coupling and increases coercivity. Bilayer systems combining a 2 nm FePt layer with Fe layers of 10 and 12 nm exhibited rectangular, saturated loops, confirming strong exchange coupling and exchange-spring behavior. The results identify 2 nm FePt as the optimal thickness for achieving full saturation, balanced coercivity, and thermal stability in FePt/Fe thin-film architectures. Full article
Show Figures

Figure 1

11 pages, 1072 KB  
Article
Effect of the Dzyaloshinskii–Moriya Interaction on Magnonic Activity in Ferromagnetic Nanotubes
by Mingming Yang and Ming Yan
Symmetry 2026, 18(1), 120; https://doi.org/10.3390/sym18010120 - 8 Jan 2026
Viewed by 323
Abstract
The magnonic activity refers to a chiral effect in the field of magnetization dynamics that exhibits a high degree of analogy to optical activity. It manifests as the azimuthal continuous rotation of standing-wave nodes in the cross-section of spin waves during propagation in [...] Read more.
The magnonic activity refers to a chiral effect in the field of magnetization dynamics that exhibits a high degree of analogy to optical activity. It manifests as the azimuthal continuous rotation of standing-wave nodes in the cross-section of spin waves during propagation in ferromagnetic nanowire waveguides. The study employs micromagnetic simulation methods to theoretically investigate the influence of the interfacial Dzyaloshinskii–Moriya interaction (iDMI) on the magnonic activity in longitudinally magnetized ferromagnetic nanotubes. The results demonstrate that iDMI-induced chirality effectively controls the magnonic activity’s rotatory power, which relies on the values of the iDMI constant D (from 0.5 mJ/m2 to 1 mJ/m2). Additionally, nanotube thickness variations (from 3 nm to 15 nm) alter effective curvature, further influencing the rotatory power of the magnonic activity. Numerical simulations and semi-analytical calculations show excellent agreement, providing a theoretical foundation for chiral spin-wave manipulation in 3D curved nanostructures. Full article
(This article belongs to the Special Issue Applications Based on Symmetry in Condensed Matter Physics)
Show Figures

Figure 1

14 pages, 7491 KB  
Article
Impact of Overdeposition on Magnetic Behavior in Ferromagnetic Nanowire Arrays
by Oleksandr Pastukh
Condens. Matter 2025, 10(4), 57; https://doi.org/10.3390/condmat10040057 - 12 Nov 2025
Viewed by 791
Abstract
Owing to their dimensions and high aspect ratio, magnetic nanowires possess distinctive physical and chemical properties and are of great importance in building nanoelectronics devices. Nanowires are traditionally produced by electrochemical deposition methods using alumina or polycarbonate membranes, and their parameters (porosity, size, [...] Read more.
Owing to their dimensions and high aspect ratio, magnetic nanowires possess distinctive physical and chemical properties and are of great importance in building nanoelectronics devices. Nanowires are traditionally produced by electrochemical deposition methods using alumina or polycarbonate membranes, and their parameters (porosity, size, and arrangement of pores) strongly influence the magnetic properties of nanowires. However, very often, the effect that cannot be neglected during synthesis is overdeposition. The influence of overdeposition on the magnetic properties of nanowires is often overlooked, but it can strongly alter the magnetic behavior of the system. In this study, we use micromagnetic simulations to investigate how different levels of overdeposition affect the hysteretic behavior of nanowires and their magnetization switching mechanism. It was shown that the formation of hemispherical caps on the ends of the nanowires may alter the out-of-plane magnetic anisotropy of the nanowires and strongly influence the squareness of the hysteresis loop. The demagnetizing field distribution for nanowires with overdeposition was also investigated, showing a strong influence of its spatial distribution change on the reversal mechanism and interaction between nanowires. The obtained results were compared to existing experimental observations, showing good agreement with the magnetic behavior of the system. Performed research can be of great interest to experimental groups, as it highlights the importance of controlling overdeposition during nanowire synthesis and its potential influence on magnetic performance. Full article
Show Figures

Figure 1

14 pages, 2386 KB  
Article
Introduction of RKKY-pMTJ-Based Ultrafast Magnetic Sensor Architecture and Magnetic Multilayer Optimization
by Jaehun Cho and June-Seo Kim
Sensors 2025, 25(21), 6793; https://doi.org/10.3390/s25216793 - 6 Nov 2025
Cited by 1 | Viewed by 763
Abstract
A state-of-the-art tunnel magnetoresistance (TMR) sensor architecture, which is based on the perpendicularly magnetized magnetic tunnel junction (pMTJ), is introduced and engineered for ultrafast, high thermal stability, and linearity for magnetic field detection. Limitations in high-frequency environments, stemming from insufficient thermal stability and [...] Read more.
A state-of-the-art tunnel magnetoresistance (TMR) sensor architecture, which is based on the perpendicularly magnetized magnetic tunnel junction (pMTJ), is introduced and engineered for ultrafast, high thermal stability, and linearity for magnetic field detection. Limitations in high-frequency environments, stemming from insufficient thermal stability and slow recovery times in conventional TMR sensors, are overcome by this approach. The standard MRAM structure is modified, and the Ruderman–Kittel–Kasuya–Yosida (RKKY) interaction is employed to give a strong, internal restoring torque to the storage layer magnetization. Sensor linearity is also ensured by this RKKY mechanism, and rapid relaxation to the initial spin state is observed when an external field is removed. The structural and magnetic properties of the multilayer stack are experimentally demonstrated. Robust synthetic antiferromagnetic (SAF) coupling is confirmed by using polar MOKE spectroscopy with an optimal Ru insertion layer thickness (0.6 nm), which is essential for high thermal stability. Subsequently, an ultrafast response of this TMR sensor architecture is probed by micromagnetic simulations. The storage layer magnetization rapidly recovers to the SAF state within an ultrashort time of 5.78 to 5.99 ns. This sub-6 ns recovery time scale suggests potential operation into the hundreds of MHz range. Full article
(This article belongs to the Section State-of-the-Art Sensors Technologies)
Show Figures

Figure 1

9 pages, 7343 KB  
Communication
Skyrmion Pair Racetrack Utilizing Hall Motion
by Shan Qiu, Tianle Zhang, Xiaotong Han, Jiahao Liu, Liang Fang and Yun Cheng
Magnetochemistry 2025, 11(10), 90; https://doi.org/10.3390/magnetochemistry11100090 - 20 Oct 2025
Cited by 1 | Viewed by 923
Abstract
The skyrmion racetrack is a promising concept for future information technology. The primary issues with skyrmion racetrack memory are now error codes and Hall motion. Here, we propose a skyrmion pair racetrack memory. The Oersted fields generated by the non-contact current-carrying wire in [...] Read more.
The skyrmion racetrack is a promising concept for future information technology. The primary issues with skyrmion racetrack memory are now error codes and Hall motion. Here, we propose a skyrmion pair racetrack memory. The Oersted fields generated by the non-contact current-carrying wire in the middle of the magnetic nanostrip stabilize the skyrmion pairs in the nanostrip, which are separated by a naturally formed domain wall. Through numerical models and micromagnetic simulations, we demonstrate that such a skyrmion pair can produce linear Hall motion along the nanostrip under the linear control of the Oersted field gradient. These findings offer a high-reliability method for skyrmion racetrack memory and a more efficient approach to designing devices that use the skyrmion Hall effect. Full article
Show Figures

Figure 1

14 pages, 1388 KB  
Article
Improving Domain Wall Thermal Switching and Dynamics in Perpendicular Magnetic Anisotropy Nanowire for Reliable Spintronic Memory
by Mohammed Al Bahri and Salim Al-Kamiyani
Nanomaterials 2025, 15(20), 1552; https://doi.org/10.3390/nano15201552 - 11 Oct 2025
Viewed by 727
Abstract
The random thermal switching of domain walls (DWs) in perpendicularly magnetized anisotropy nanowires (PMA) poses a significant challenge for the reliability of spintronic storage devices. In this work, we study the thermal nucleation and dynamics of DWs in PMA nanowires using micromagnetic simulations. [...] Read more.
The random thermal switching of domain walls (DWs) in perpendicularly magnetized anisotropy nanowires (PMA) poses a significant challenge for the reliability of spintronic storage devices. In this work, we study the thermal nucleation and dynamics of DWs in PMA nanowires using micromagnetic simulations. The focus is on the effect of device temperature, with attention to uniaxial anisotropy energy (Ku), saturation magnetization (Ms), and nanowire geometry. The results show that larger Ku or Ms reduces DW thermal switching, thereby enhancing DW thermal stability and increasing the DW nucleation temperature (Tn). A wider or thicker nanowire also lowers the probability of thermally induced DW creation, further improving stability. In addition, DW velocity rises with temperature, showing a thermally assisted motion. These results provide useful guidance for designing PMA-based memory devices with improved resistance to thermal fluctuations. Full article
Show Figures

Figure 1

20 pages, 2145 KB  
Article
Structural Design of High-Coercivity Nd-Ce-Fe-B Magnets with Easy Axis Perpendicular Orientation and High-Abundance Ce Content Based on Micromagnetic Simulations
by Qian Zhao, Ying Yu, Chenlin Tang, Qingkang Hu, Suo Bai, Puyu Wang, Zhubai Li and Guoping Zhao
Nanomaterials 2025, 15(17), 1358; https://doi.org/10.3390/nano15171358 - 3 Sep 2025
Cited by 1 | Viewed by 1117
Abstract
In recent years, replacing the scarce and expensive rare earth element Nd with the more abundant and lower cost Ce in the production of Nd-Ce-Fe-B permanent magnets has become a focus of both industrial and academic research. A critical challenge is how to [...] Read more.
In recent years, replacing the scarce and expensive rare earth element Nd with the more abundant and lower cost Ce in the production of Nd-Ce-Fe-B permanent magnets has become a focus of both industrial and academic research. A critical challenge is how to design the crystal structure of Nd-Ce-Fe-B magnets to compensate for the decline in magnetic performance caused by the Ce substitution. In this study, based on micromagnetic theory, Nd-Ce-Fe-B magnets with perpendicularly oriented easy axes—in which the two main phases, Nd2Fe14B and Ce2Fe14B, have a volume ratio of 1:1 but different spatial arrangements—are modeled and simulated using the MuMax3.11 software. The model is either cubic or spherical. The results from the demagnetization curve analysis indicate that the coercivity mechanism of all magnets is pinning. When the magnet volume is constant but the phase distribution differs, the Nd2Fe14B/Ce2Fe14B structure exhibits a higher coercivity and maximum energy product than the Ce2Fe14B/Nd2Fe14B structure. Furthermore, for both structural models with the same phase distribution, the coercivity and the maximum energy product decrease with the increasing volume of the main phase. Notably, the coercivity is similar when the magnet volume is very small and stabilizes after reaching a certain threshold. This qualitative conclusion was also observed in Nd-Dy-Fe-B magnets with the same structure and equal volume ratio of the two main phases. This general finding indicates that, in biphasic magnets with equal phase volumes, the phase with the larger anisotropy field located at the grain periphery can achieve a higher coercivity and maximum magnetic energy product. The analysis of the angular distribution reveals that the number of magnetic domains remains fixed at six in the Nd2Fe14B/Ce2Fe14B structure and two in the Ce2Fe14B/Nd2Fe14B structure. The in-plane magnetic moment analysis of the Ce2Fe14B/Nd2Fe14B magnet shows that the magnetic moments at the edges of the Ce2Fe14B begin to deflect first. Even at the pinning stage, the magnetic moments within the Nd2Fe14B remain unrotated. Nevertheless, the surface magnetic moments of Ce2Fe14B, through exchange coupling, drive the deflection of the interfacial and interior moments, completing the entire demagnetization process. These computational results provide theoretical guidance for related experimental studies and industrial applications. Full article
(This article belongs to the Special Issue Study on Magnetic Properties of Nanostructured Materials)
Show Figures

Figure 1

12 pages, 3515 KB  
Article
Magnetic Properties and Coercivity Mechanism of Nanocrystalline Rare-Earth-Free Co74Zr16Mo4Si3B3 Alloys
by Aida Miranda and Israel Betancourt
Magnetochemistry 2025, 11(9), 78; https://doi.org/10.3390/magnetochemistry11090078 - 2 Sep 2025
Viewed by 1452
Abstract
The microstructure and magnetic properties of rare-earth-free, melt-spun Co74Zr16Mo4Si3B3 alloys were investigated to enhance their hard magnetic response and elucidate their coercivity mechanism. The alloys exhibit a polycrystalline microstructure composed of randomly oriented, equiaxed [...] Read more.
The microstructure and magnetic properties of rare-earth-free, melt-spun Co74Zr16Mo4Si3B3 alloys were investigated to enhance their hard magnetic response and elucidate their coercivity mechanism. The alloys exhibit a polycrystalline microstructure composed of randomly oriented, equiaxed grains, predominantly comprising the rhombohedral hard magnetic Co11Zr2 phase (92.4 wt.%). These materials display a favorable combination of magnetic properties, with coercive fields up to 581 kA/m, maximum magnetization reaching 0.30 T, and Curie temperatures as high as 751 K. An interpretation of the results, based on microstructural features, intrinsic magnetic parameters, and micromagnetic simulations, indicates that the coercivity mechanism of these melt-spun alloys can be attributed to the nucleation of reverse magnetic domains. Full article
(This article belongs to the Section Magnetic Materials)
Show Figures

Figure 1

11 pages, 619 KB  
Article
Sensitivity of the Threshold Current for Switching of a Magnetic Tunnel Junction to Fabrication Defects and Its Application in Physical Unclonable Functions
by Jacob Huber, Rahnuma Rahman and Supriyo Bandyopadhyay
Appl. Sci. 2025, 15(17), 9548; https://doi.org/10.3390/app15179548 - 30 Aug 2025
Cited by 2 | Viewed by 864
Abstract
A physical unclonable function (PUF) leverages the unclonable random variations in device behavior due to defects incurred during manufacturing to produce a unique “biometric” that can be used for authentication. Here, we show that the threshold current for the switching of a magnetic [...] Read more.
A physical unclonable function (PUF) leverages the unclonable random variations in device behavior due to defects incurred during manufacturing to produce a unique “biometric” that can be used for authentication. Here, we show that the threshold current for the switching of a magnetic tunnel junction via spin transfer torque is sensitive to the nature of structural defects introduced during manufacturing and hence can be the basis of a PUF. We use micromagnetic simulations to study the threshold currents for six different defect morphologies at two different temperatures to establish the viability of a PUF. We also derive the challenge–response set at the two different temperatures to calculate the inter- and intra-Hamming distances for a given challenge. Full article
(This article belongs to the Special Issue Nanoscale Electronic Devices: Modeling and Applications)
Show Figures

Figure 1

10 pages, 11710 KB  
Communication
Domain Wall Motion and the Interfacial Dzyaloshinskii–Moriya Interaction in Pt/Co/RuO2(Ru) Multilayers
by Milad Jalali, Kai Wang, Haoxiang Xu, Yaowen Liu and Sylvain Eimer
Materials 2025, 18(17), 4008; https://doi.org/10.3390/ma18174008 - 27 Aug 2025
Viewed by 1502
Abstract
The interfacial Dzyaloshinskii–Moriya interaction (DMI) plays a pivotal role in stabilising and controlling the motion of chiral spin textures, such as Néel-type bubble domains, in ultrathin magnetic films—an essential feature for next-generation spintronic devices. In this work, we investigate domain wall (DW) dynamics [...] Read more.
The interfacial Dzyaloshinskii–Moriya interaction (DMI) plays a pivotal role in stabilising and controlling the motion of chiral spin textures, such as Néel-type bubble domains, in ultrathin magnetic films—an essential feature for next-generation spintronic devices. In this work, we investigate domain wall (DW) dynamics in magnetron-sputtered Ta(3 nm)/Pt(3 nm)/Co(1 nm)/RuO2(1 nm) [Ru(1 nm)]/Pt(3 nm) multilayers, benchmarking their behaviour against control stacks. Vibrating sample magnetometry (VSM) was employed to determine saturation magnetisation and perpendicular magnetic anisotropy (PMA), while polar magneto-optical Kerr effect (P-MOKE) measurements provided coercivity data. Kerr microscopy visualised the expansion of bubble-shaped domains under combined perpendicular and in-plane magnetic fields, enabling the extraction of effective DMI fields. Brillouin light scattering (BLS) spectroscopy quantified the asymmetric propagation of spin waves, and micromagnetic simulations corroborated the experimental findings. The Pt/Co/RuO2 system exhibits a Dzyaloshinskii–Moriya interaction (DMI) constant of ≈1.08 mJ/m2, slightly higher than the Pt/Co/Ru system (≈1.03 mJ/m2) and much higher than the Pt/Co control (≈0.23 mJ/m2). Correspondingly, domain walls in the RuO2-capped films show pronounced velocity asymmetry under in-plane fields, whereas the symmetric Pt/Co/Pt shows negligible asymmetry. Despite lower depinning fields in the Ru-capped sample, its domain walls move faster than those in the RuO2-capped sample, indicating reduced pinning. Our results demonstrate that integrating RuO2 significantly alters interfacial spin–orbit interactions. Full article
(This article belongs to the Section Thin Films and Interfaces)
Show Figures

Figure 1

14 pages, 4107 KB  
Article
Thermal Influence on Chirality-Driven Dynamics and Pinning of Transverse Domain Walls in Z-Junction Magnetic Nanowires
by Mohammed Al Bahri, Salim Al-Kamiyani, Mohammed M. Al Hinaai and Nisar Ali
Symmetry 2025, 17(8), 1184; https://doi.org/10.3390/sym17081184 - 24 Jul 2025
Viewed by 658
Abstract
Magnetic nanowires with domain walls (DWs) play a crucial role in the advancement of next-generation memory and spintronic devices. Understanding the thermal effects on domain wall behavior is essential for optimizing performance and stability. This study investigates the thermal chirality-dependent dynamics and pinning [...] Read more.
Magnetic nanowires with domain walls (DWs) play a crucial role in the advancement of next-generation memory and spintronic devices. Understanding the thermal effects on domain wall behavior is essential for optimizing performance and stability. This study investigates the thermal chirality-dependent dynamics and pinning of transverse domain walls (TDWs) in Z-junction nanowires using micromagnetic simulations. The analysis focuses on head-to-head (HHW) and tail-to-tail (TTW) domain walls with up and down chirality under varying thermal conditions. The results indicate that higher temperatures reduce the pinning strength and depinning current density, leading to enhanced domain wall velocity. At 200 K, the HHWdown domain wall depins at a critical current density of 1.2 × 1011 A/m2, while HHWup requires a higher depinning temperature, indicating stronger pinning effects. Similarly, the depinning temperature (Td) increases with Z-junction depth (d), reaching 300 K at d = 50 nm, while increasing Z-junction (λ) weakens pinning, reducing Td to 150 K at λ = 50 nm. Additionally, the influence of Z-junction geometry and magnetic properties, such as saturation magnetization (Ms) and anisotropy constant (Ku), is examined to determine their effects on thermal pinning and depinning. These findings highlight the critical role of chirality and thermal activation in domain wall motion, offering insights into the design of energy-efficient, high-speed nanowire-based memory devices. Full article
Show Figures

Figure 1

14 pages, 2951 KB  
Article
Magnetic Properties of an Ensemble of Core-Shell Fe/FeOX Nanoparticles: Experimental Study and Micromagnetic Simulation
by Grigory Yu. Melnikov, Ekaterina A. Burban, Andrey V. Svalov and Galina V. Kurlyandskaya
Magnetochemistry 2025, 11(7), 57; https://doi.org/10.3390/magnetochemistry11070057 - 2 Jul 2025
Viewed by 1224
Abstract
Spherical magnetic nanoparticles consisting of an iron core and iron oxide shell (α-Fe/FeOX) were fabricated by the electric explosion of the wire technique (EEW). The structure and magnetic properties of synthesized nanoparticles were experimentally investigated. Magnetic properties of an iron nanoparticle [...] Read more.
Spherical magnetic nanoparticles consisting of an iron core and iron oxide shell (α-Fe/FeOX) were fabricated by the electric explosion of the wire technique (EEW). The structure and magnetic properties of synthesized nanoparticles were experimentally investigated. Magnetic properties of an iron nanoparticle ensemble for individual defect-free, non-interacting iron-based nanoparticles having different diameters were calculated using micromagnetic modeling. Experimental and calculated magnetic hysteresis loops were comparatively analyzed. Full article
(This article belongs to the Section Magnetic Materials)
Show Figures

Figure 1

13 pages, 4780 KB  
Article
Impact of Chirality on the Dynamic Susceptibility of Concentric Nanotori
by Ulises Guevara, Eduardo Saavedra, Liliana Pedraja-Rejas, Miguel-Angel Garrido-Tamayo, Solange Aranzubia, Eduardo Cisternas, Pablo Díaz and David Laroze
Nanomaterials 2025, 15(13), 989; https://doi.org/10.3390/nano15130989 - 26 Jun 2025
Cited by 2 | Viewed by 692
Abstract
This study investigates the influence of chirality on the dynamic susceptibility of concentric nanotori via micromagnetic simulations. The aim is to analyze the ferromagnetic resonance characteristics of coupled nanotori structures and compare them across various ring separation distances, thus providing an insight into [...] Read more.
This study investigates the influence of chirality on the dynamic susceptibility of concentric nanotori via micromagnetic simulations. The aim is to analyze the ferromagnetic resonance characteristics of coupled nanotori structures and compare them across various ring separation distances, thus providing an insight into how vortex configurations with identical or differing chiralities affect their dynamic properties. We analyze the energetic differences between the two vortex configurations and find them to be negligible; however, these minor differences suffice to explain the significant discrepancies in the demagnetization field observed between the nanotori. We examine the dynamic susceptibility spectrum and the spatial localization of the ferromagnetic resonance modes for different nanotori separations. Our findings demonstrate that the resonant oscillation frequencies are significantly influenced by the magnetostatic interactions between the nanotori, which can be effectively modulated by varying the distance between them. Furthermore, for smaller separations, the frequency peaks in the dynamic susceptibility markedly diverge between the two vortex configurations, demonstrating that the observed differences in the demagnetization field between the rings strongly influence the frequency response. In summary, our results indicate that both the inter-ring distance and the vortex configuration play a crucial role in determining the frequency response of the system. Full article
(This article belongs to the Special Issue Theoretical Chemistry and Computational Simulations in Nanomaterials)
Show Figures

Figure 1

Back to TopTop