One-Dimensional Photonic Crystals Comprising Two Different Types of Metamaterials for the Simple Detection of Fat Concentrations in Milk Samples
Abstract
1. Introduction
2. Theoretical Methodology and Design
3. Results and Discussion
3.1. Optimization of Parameters
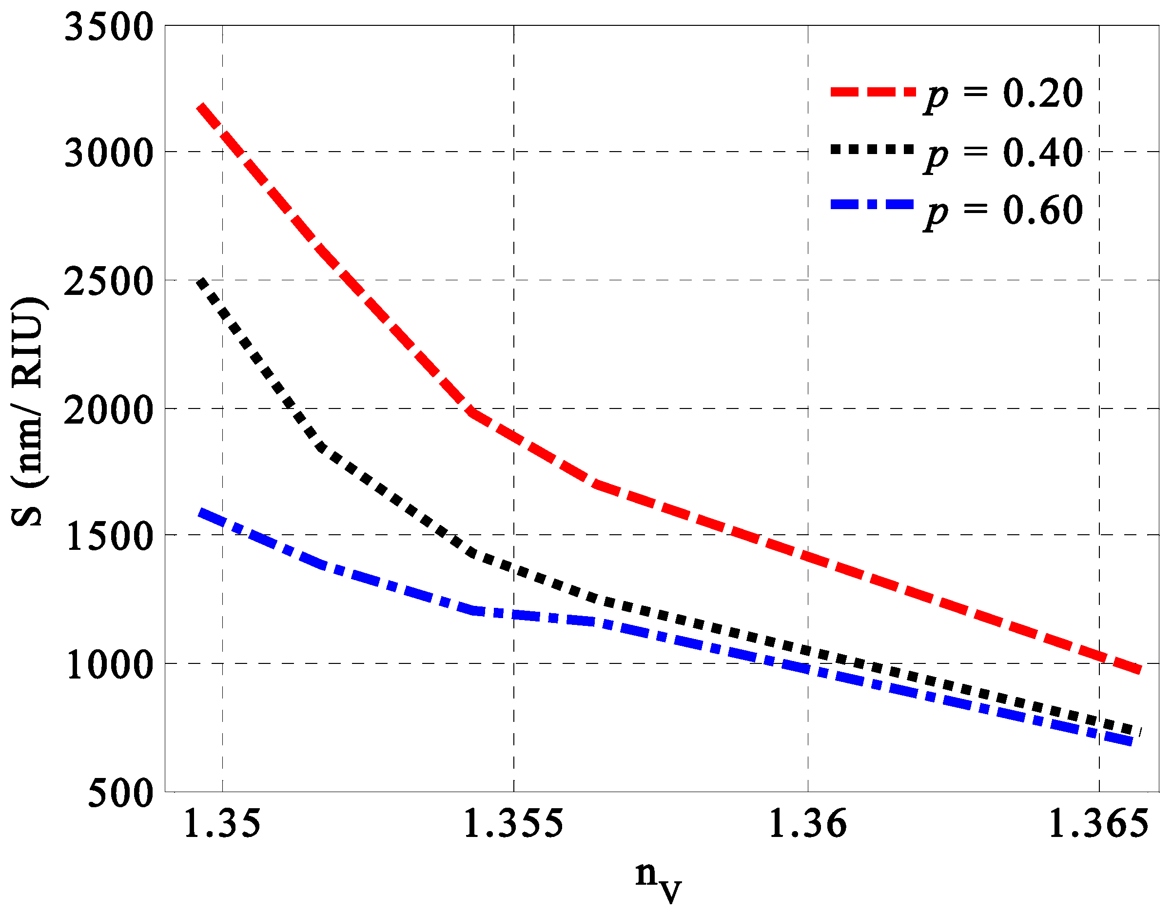
3.1.1. Optimization of Porosity
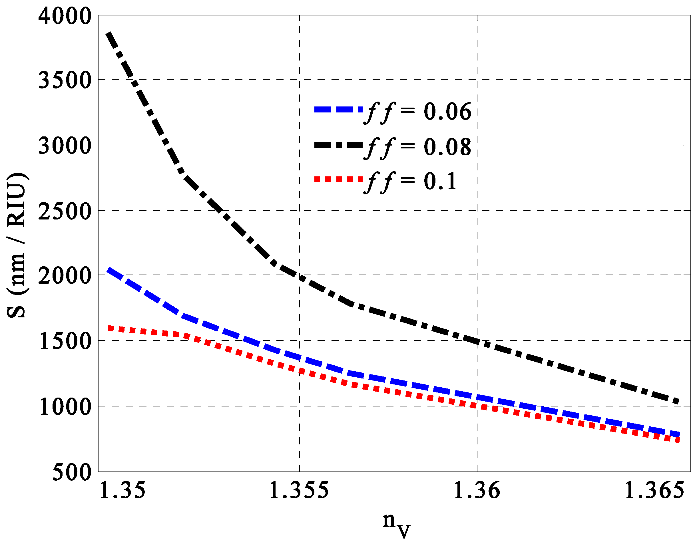
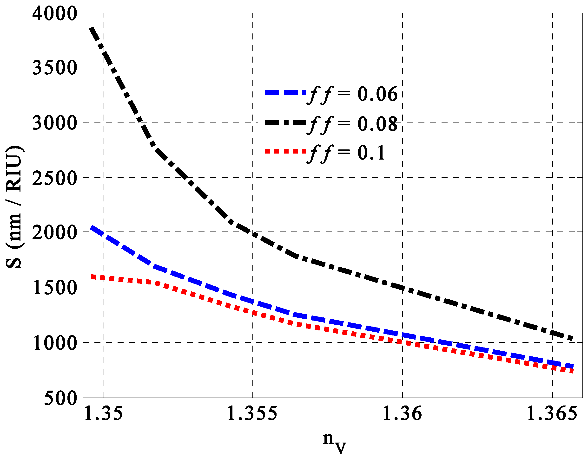
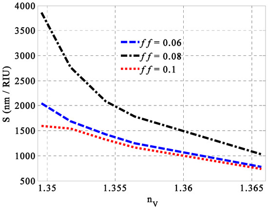
3.1.2. Optimization of Filling Fraction
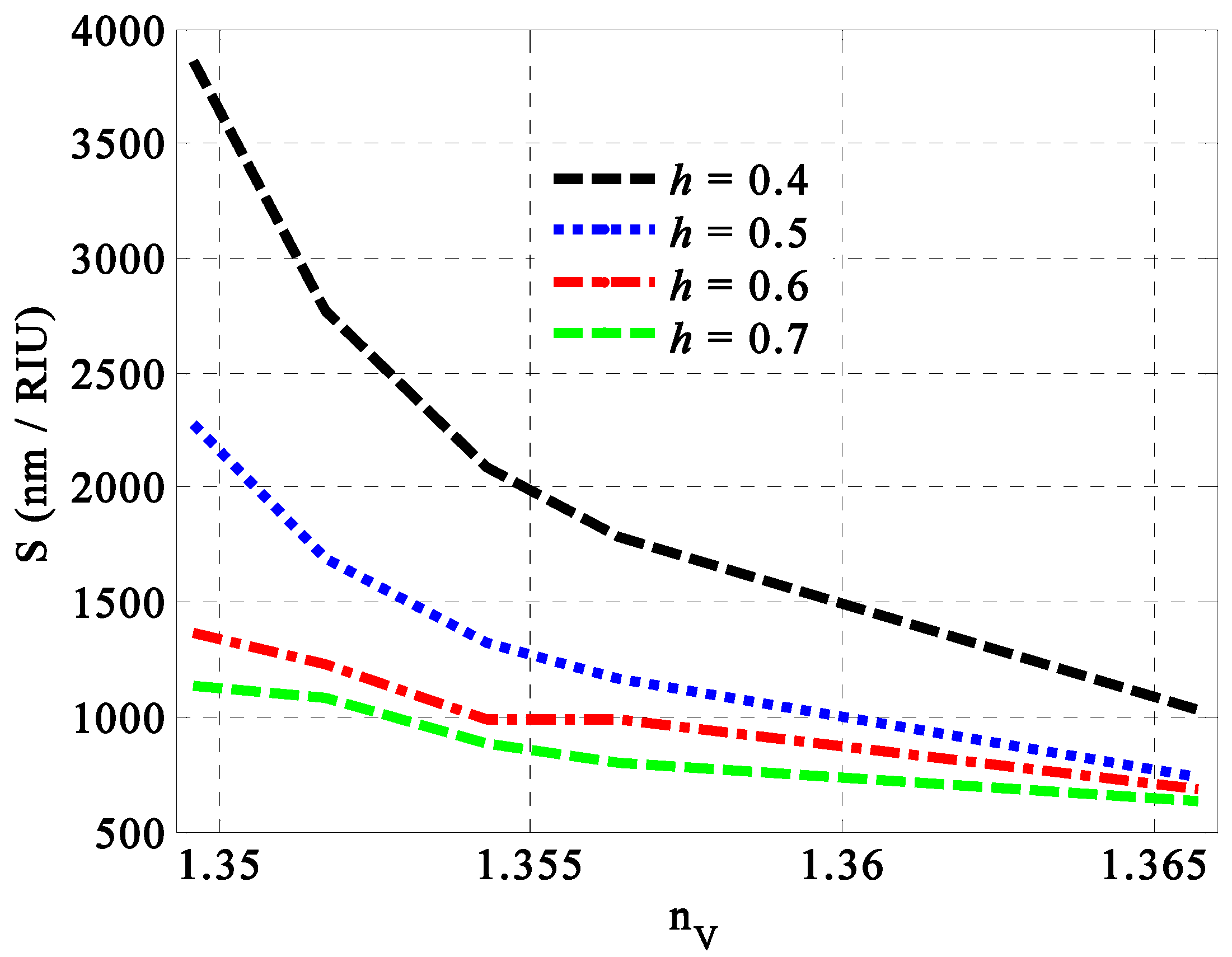
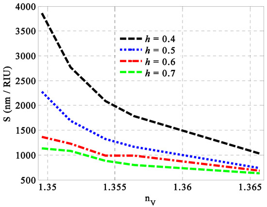
3.1.3. Optimization of Thickness
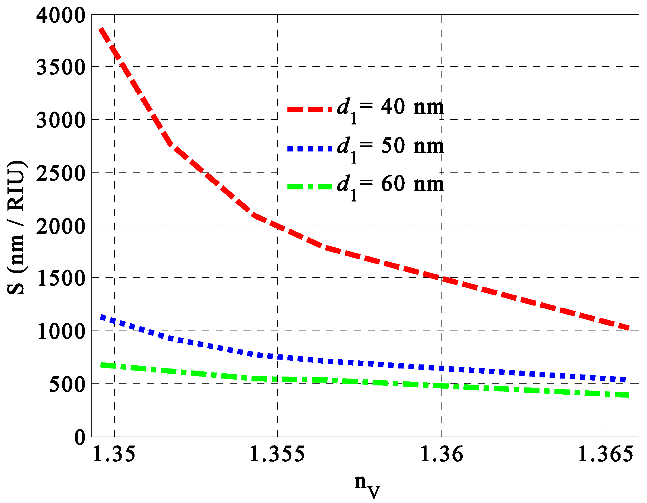
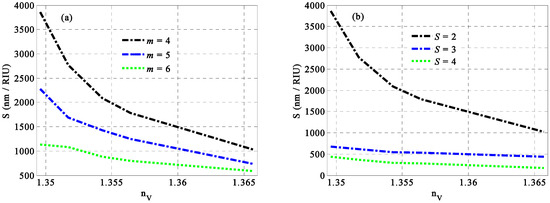
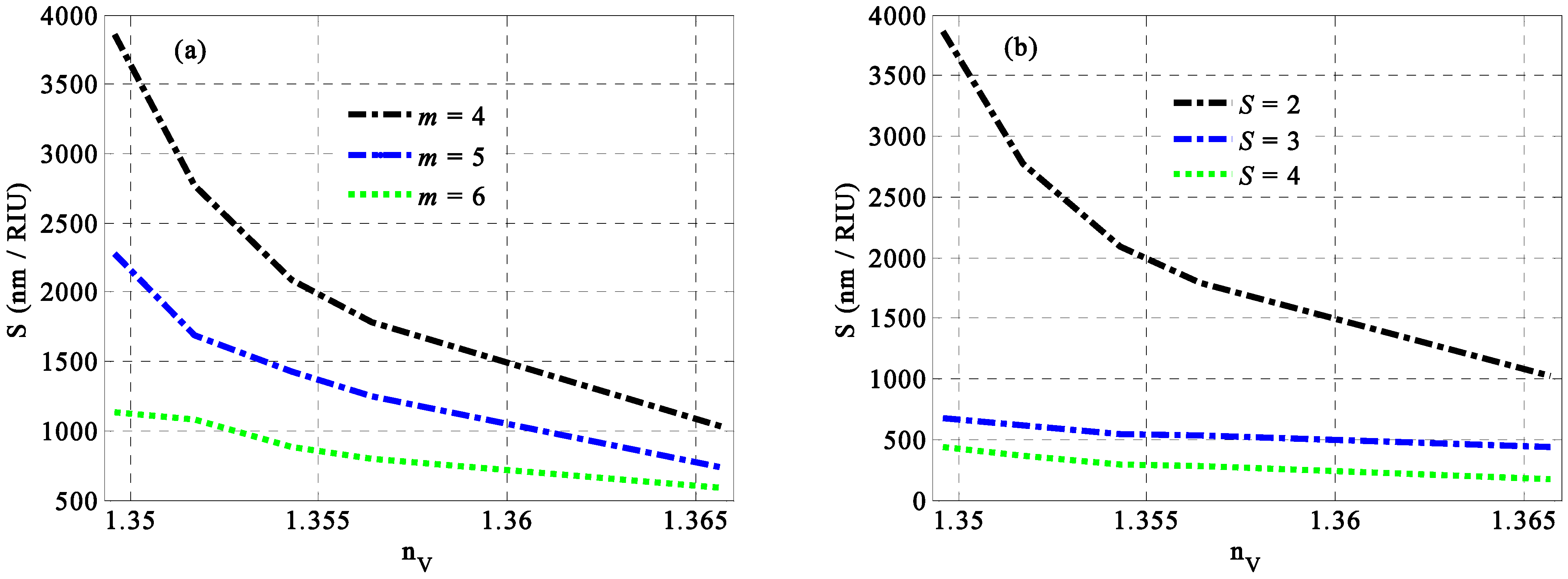
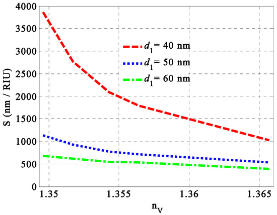
3.1.4. Optimization of Periodicity
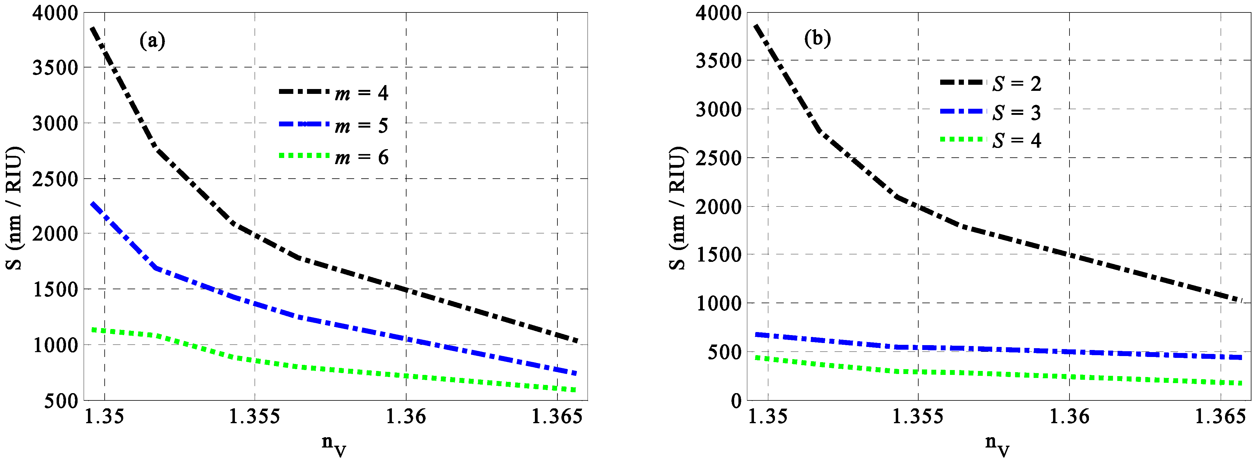
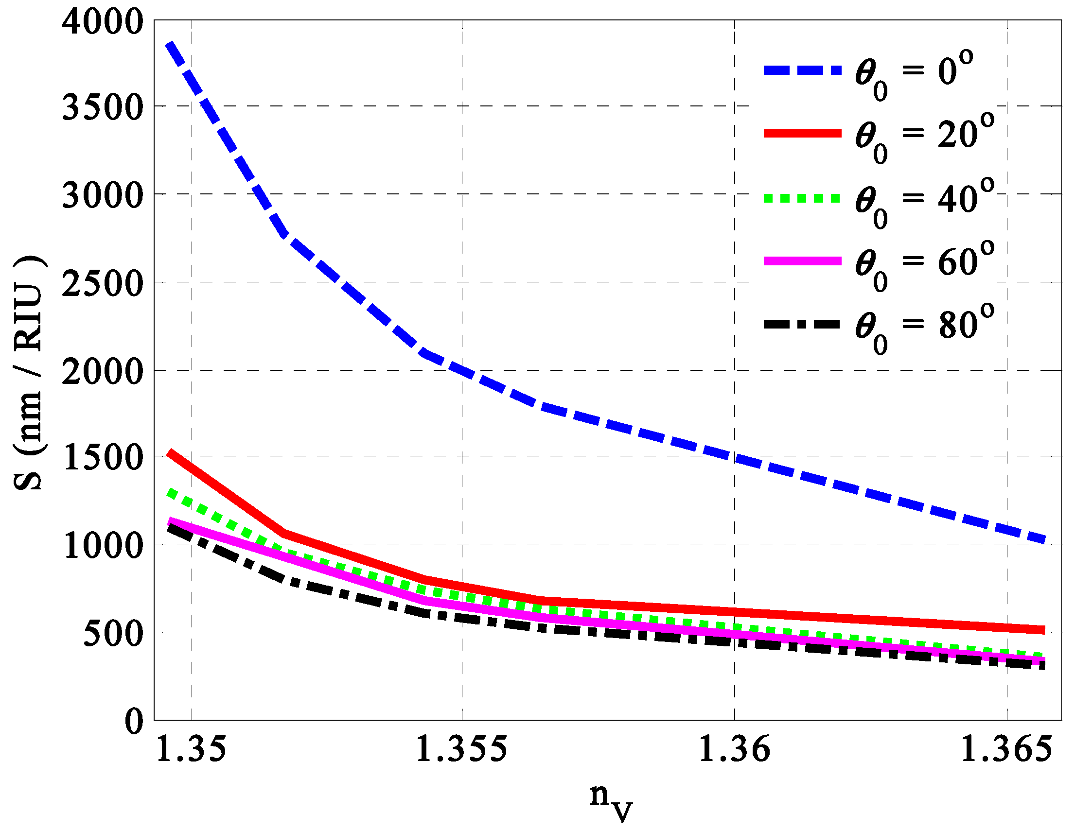
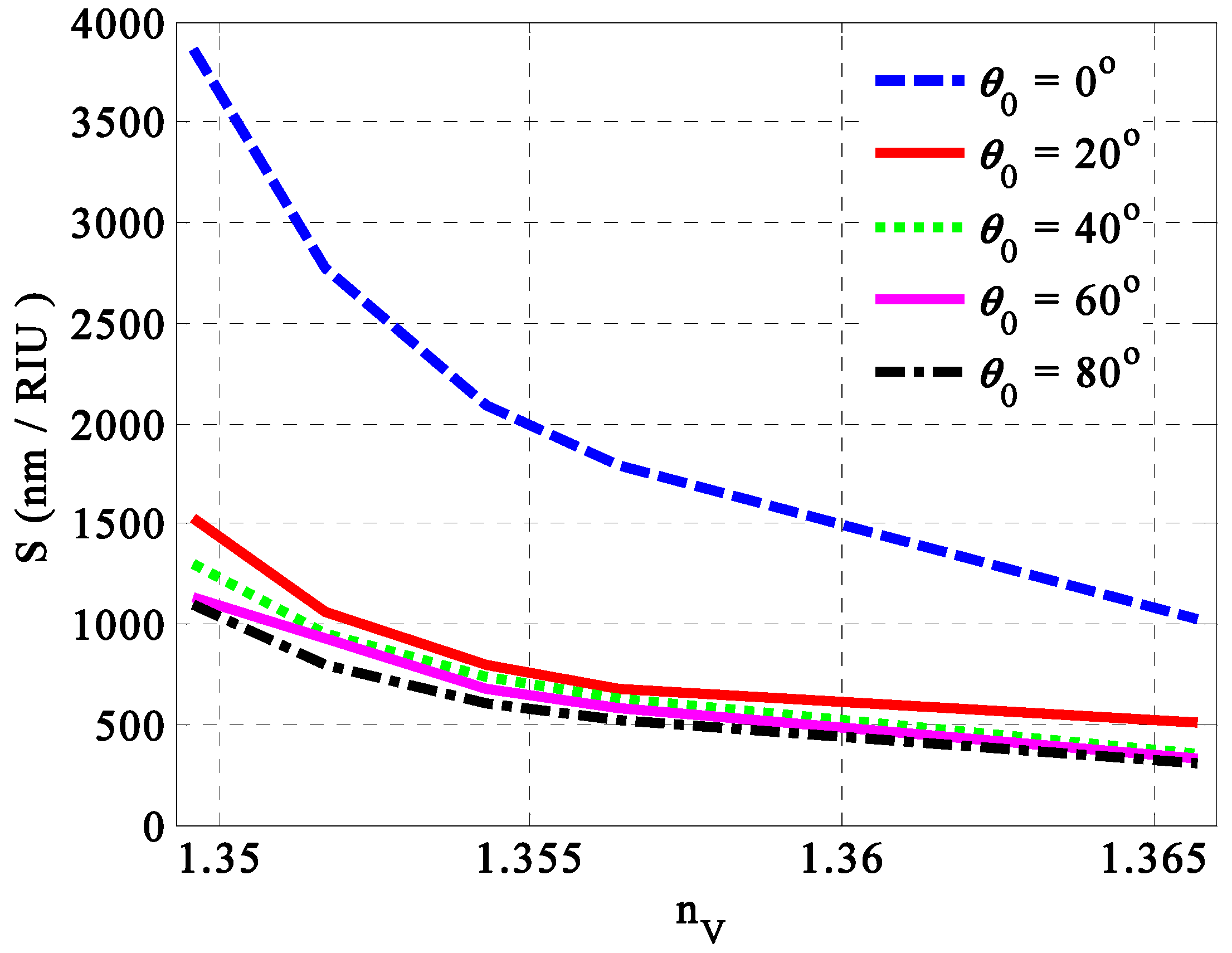
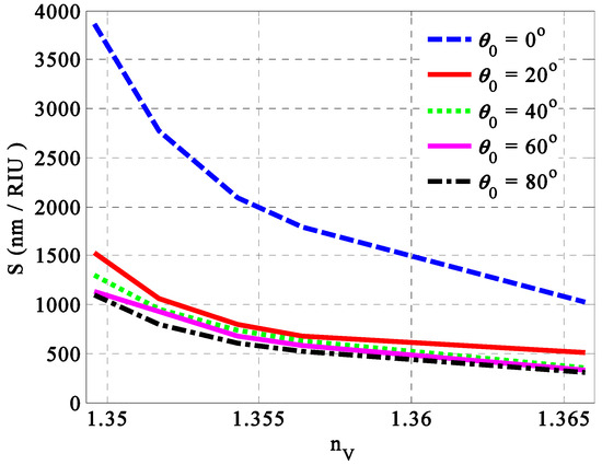
3.1.5. Optimization of Incident Angle
3.2. Sensor Analysis
4. Fabrication Facilities
5. Conclusions
Author Contributions
Funding
Data Availability Statement
Conflicts of Interest
References
- Yang, B.; Zhu, Z.; Gao, M.; Yan, X.; Zhu, X.; Guo, W. A portable detector on main compositions of raw and homogenized milk. Comput. Electron. Agric. 2020, 177, 105668. [Google Scholar] [CrossRef]
- Almawgani, A.H.; Daher, M.G.; Taya, S.A.; Mashagbeh, M.; Colak, I. Optical detection of fat concentration in milk using MXene-based surface plasmon resonance structure. Biosensors 2022, 12, 535. [Google Scholar] [CrossRef] [PubMed]
- Yoganandi, J.; Mehta, B.M.; Wadhwani, K.; Darji, V.; Aparnathi, D.K. Comparison of physico-chemical properties of camel milk with cow milk and buffalo milk. J. Camel Pract. Res. 2014, 21, 253–258. [Google Scholar] [CrossRef]
- Podder, E.; Hossain, M.B.; Ahmed, K. Photonic crystal fiber for milk sensing. Sens. Bio-Sens. Res. 2022, 38, 100534. [Google Scholar] [CrossRef]
- Abohassan, K.M.; Ashour, H.S.; Abadla, M.M. A 1D binary photonic crystal sensor for detecting fat concentrations in commercial milk. RSC Adv. 2021, 11, 12058–12065. [Google Scholar] [CrossRef]
- Biswas, U.; Rakshit, J.K.; Bharti, G.K. Design of photonic crystal microring resonator based all-optical refractive-index sensor for analyzing different milk constituents. Opt. Quantum Electron. 2020, 52, 19. [Google Scholar] [CrossRef]
- da Costa Filho, P.A.; Cobuccio, L.; Mainali, D.; Rault, M.; Cavin, C. Rapid analysis of food raw materials adulteration using laser direct infrared spectroscopy and imaging. Food Control 2020, 113, 107114. [Google Scholar] [CrossRef]
- Mehaney, A. Temperature influences on the performance of biodiesel phononic crystal sensor. Mater. Res. Express 2020, 6, 125556. [Google Scholar]
- Islam, M.A.; Islam, M.R.; Siraz, S.; Rahman, M.; Anzum, M.S.; Noor, F. Wheel structured Zeonex-based photonic crystal fiber sensor in THz regime for sensing milk. Appl. Phys. A 2021, 127, 311. [Google Scholar] [CrossRef]
- Mehaney, A. Biodiesel physical properties detection using one-dimensional phononic crystal sensor. Acoust. Phys. 2019, 65, 374–378. [Google Scholar] [CrossRef]
- Meeten, G.; North, A.; Willmouth, F. Errors in critical-angle measurement of refractive index of optically absorbing materials. J. Phys. E Sci. Instrum. 1984, 17, 642. [Google Scholar] [CrossRef]
- Manirakiza, P.; Covaci, A.; Schepens, P. Comparative study on total lipid determination using Soxhlet, Roese-Gottlieb, Bligh & Dyer, and modified Bligh & Dyer extraction methods. J. Food Compos. Anal. 2001, 14, 93–100. [Google Scholar]
- Xiong, S.; Adhikari, B.; Chen, X.D.; Che, L. Determination of ultra-low milk fat content using dual-wavelength ultraviolet spectroscopy. J. Dairy Sci. 2016, 99, 9652–9658. [Google Scholar] [CrossRef] [PubMed]
- Badertscher, R.; Berger, T.; Kuhn, R. Densitometric determination of the fat content of milk and milk products. Int. Dairy J. 2007, 17, 20–23. [Google Scholar] [CrossRef]
- Zhu, X.; Guo, W.; Liang, Z. Determination of the fat content in cow’s milk based on dielectric properties. Food Bioprocess Technol. 2015, 8, 1485–1494. [Google Scholar] [CrossRef]
- El-Abassy, R.; Eravuchira, P.; Donfack, P.; Von Der Kammer, B.; Materny, A. Fast determination of milk fat content using Raman spectroscopy. Vib. Spectrosc. 2011, 56, 3–8. [Google Scholar] [CrossRef]
- Almawgani, A.H.; Elsayed, H.A.; Mehaney, A.; Taha, T.; Alrowaili, Z.A.; Ali, G.A.; Sabra, W.; Asaduzzaman, S.; Ahmed, A.M. Photonic crystal nanostructure as a photodetector for NaCl solution monitoring: Theoretical approach. RSC Adv. 2023, 13, 6737–6746. [Google Scholar] [CrossRef] [PubMed]
- Taha, T.; Sayed, H.; Aly, A.H.; Elsayed, H.A. Textured concave anti-reflecting coating and convex back reflector to enhance the absorbance of amorphous Si solar cells. Phys. Scr. 2022, 97, 055503. [Google Scholar] [CrossRef]
- Abadla, M.M.; Elsayed, H.A.; Mehaney, A. Thermo-optical properties of binary one dimensional annular photonic crystal including temperature dependent constituents. Phys. E Low-Dimens. Syst. Nanostruct. 2020, 119, 114020. [Google Scholar] [CrossRef]
- Sayed, F.A.; Elsayed, H.A.; Mehaney, A.; Eissa, M.; Aly, A.H. A doped-polymer based porous silicon photonic crystal sensor for the detection of gamma-ray radiation. RSC Adv. 2023, 13, 3123–3138. [Google Scholar] [CrossRef]
- Cui, N.; Guan, M.; Xu, M.; Fang, W.; Zhang, Y.; Zhao, C.; Zeng, Y. Design and application of terahertz metamaterial sensor based on DSRRs in clinical quantitative detection of carcinoembryonic antigen. Opt. Express 2020, 28, 16834–16844. [Google Scholar] [CrossRef] [PubMed]
- Wu, F.; Chen, Y.; Long, Y.; Liu, G.; Deng, H.; Li, H. Polarization-sensitive optical Tamm state and its application in polarization-sensitive absorption. Results Phys. 2022, 40, 105818. [Google Scholar] [CrossRef]
- Elsayed, H.A.; Mehaney, A. A new method for glucose detection using the one dimensional defective photonic crystals. Mater. Res. Express 2018, 6, 036201. [Google Scholar] [CrossRef]
- Castillo, M.; Cunha, D.; Estévez-Varela, C.; Miranda, D.; Pastoriza-Santos, I.; Núñez-Sánchez, S.; Vasilevskiy, M.; Lopez-Garcia, M. Tunable narrowband excitonic Optical Tamm states enabled by a metal-free all-organic structure. Nanophotonics 2022, 11, 4879–4888. [Google Scholar] [CrossRef]
- Kumar, N.; Suthar, B. Advances in Photonic Crystals and Devices; CRC Press: Boca Raton, FL, USA, 2019. [Google Scholar]
- Elsayed, H.A.; Mehaney, A. Theoretical verification of photonic crystals sensor for biodiesel detection and sensing. Phys. Scr. 2020, 95, 085507. [Google Scholar] [CrossRef]
- Srivastava, S.K.; Aghajamali, A. Analysis of reflectance properties in 1D photonic crystal containing metamaterial and high-temperature superconductor. J. Supercond. Nov. Magn. 2017, 30, 343–351. [Google Scholar] [CrossRef]
- Kumar, N.; Suthar, B.; Rostami, A. Novel optical behaviors of metamaterial and polymer-based ternary photonic crystal with lossless and lossy features. Opt. Commun. 2023, 529, 129073. [Google Scholar] [CrossRef]
- Taha, T.; Mehaney, A.; Elsayed, H.A. Detection of heavy metals using one-dimensional gyroidal photonic crystals for effective water treatment. Mater. Chem. Phys. 2022, 285, 126125. [Google Scholar] [CrossRef]
- Medhat, M.; Mehaney, A.; Al-Dossari, M.; Aly, A.H.; Elsayed, H.A. Characteristics of multi-absorption bands in near IR based on a 1D photonic crystal comprising two composite metamaterials. Sci. Rep. 2024, 14, 1087. [Google Scholar] [CrossRef]
- Mohamed, A.G.; Elsayed, H.A.; Mehaney, A.; Aly, A.H.; Sabra, W. Transmittance properties of one-dimensional metamaterial nanocomposite photonic crystal in GHz range. Sci. Rep. 2022, 12, 18331. [Google Scholar] [CrossRef]
- Vignolini, S.; Yufa, N.A.; Cunha, P.S.; Guldin, S.; Rushkin, I.; Stefik, M.; Hur, K.; Wiesner, U.; Baumberg, J.J.; Steiner, U. A 3D optical metamaterial made by self-assembly. Adv. Mater. 2012, 24, OP23–OP27. [Google Scholar] [CrossRef] [PubMed]
- Meng, F.; Thomson, M.D.; Klug, B.; Roskos, H.G. Strong interaction between two photons and a plasmon of a complementary metamaterial in a terahertz dual cavity. Opt. Express 2021, 29, 42420–42434. [Google Scholar] [CrossRef]
- El-Naggar, S.A. Tunable terahertz omnidirectional photonic gap in one dimensional graphene-based photonic crystals. Opt. Quantum Electron. 2015, 47, 1627–1636. [Google Scholar] [CrossRef]
- Oh, S.S.; Demetriadou, A.; Wuestner, S.; Hess, O. On the origin of chirality in nanoplasmonic gyroid metamaterials. Adv. Mater. 2013, 25, 612–617. [Google Scholar] [CrossRef]
- Narimanov, E.E. Photonic hypercrystals. Phys. Rev. X 2014, 4, 041014. [Google Scholar] [CrossRef]
- Janaszek, B.; Szczepański, P. Distributed feedback laser based on tunable photonic hypercrystal. Materials 2021, 14, 4065. [Google Scholar] [CrossRef]
- Poddubny, A.; Iorsh, I.; Belov, P.; Kivshar, Y. Hyperbolic metamaterials. Nat. Photonics 2013, 7, 948–957. [Google Scholar] [CrossRef]
- Baqir, M.; Choudhury, P. Design of hyperbolic metamaterial-based absorber comprised of Ti nanospheres. IEEE Photonics Technol. Lett. 2019, 31, 735–738. [Google Scholar] [CrossRef]
- Hu, S.; Du, S.; Li, J.; Gu, C. Multidimensional image and beam splitter based on hyperbolic metamaterials. Nano Lett. 2021, 21, 1792–1799. [Google Scholar] [CrossRef]
- Wu, F.; Lyu, K.; Hu, S.; Yao, M.; Xiao, S. Ultra-large omnidirectional photonic band gaps in one-dimensional ternary photonic crystals composed of plasma, dielectric and hyperbolic metamaterial. Opt. Mater. 2021, 111, 110680. [Google Scholar] [CrossRef]
- Almawgani, A.H.; Medhat, M.; Mehaney, A.; Ali, G.A.; Irfan, M.; Elsayed, H.A. One-dimensional metamaterial photonic crystals comprising gyroidal and hyperbolic layers as an angle-insensitive reflector for energy applications in IR regions. Eur. Phys. J. Plus 2023, 138, 483. [Google Scholar]
- Kozina, O.N.; Melnikov, L.A.; Nefedov, I. A theory for terahertz lasers based on a graphene hyperbolic metamaterial. J. Opt. 2020, 22, 095003. [Google Scholar] [CrossRef]
- Hsueh, H.-Y.; Chen, H.-Y.; Ling, Y.-C.; Huang, W.-S.; Hung, Y.-C.; Gwo, S.; Ho, R.-M. A polymer-based SERS-active substrate with gyroid-structured gold multibranches. J. Mater. Chem. C 2014, 2, 4667–4675. [Google Scholar] [CrossRef]
- Wu, J.; Shen, Z.; Ge, S.; Chen, B.; Shen, Z.; Wang, T.; Zhang, C.; Hu, W.; Fan, K.; Padilla, W. Liquid crystal programmable metasurface for terahertz beam steering. Appl. Phys. Lett. 2020, 116, 131104. [Google Scholar] [CrossRef]
- Prayakarao, S.; Robbins, S.; Kinsey, N.; Boltasseva, A.; Shalaev, V.; Wiesner, U.; Bonner, C.; Hussain, R.; Noginova, N.; Noginov, M. Gyroidal titanium nitride as nonmetallic metamaterial. Opt. Mater. Express 2015, 5, 1316–1322. [Google Scholar] [CrossRef]
- Li, Y.; Bastakoti, B.P.; Yamauchi, Y. Research Update: Triblock copolymers as templates to synthesize inorganic nanoporous materials. APL Mater. 2016, 4, 040703. [Google Scholar] [CrossRef]
- Zhukovsky, S.V.; Orlov, A.A.; Babicheva, V.E.; Lavrinenko, A.V.; Sipe, J. Photonic-band-gap engineering for volume plasmon polaritons in multiscale multilayer hyperbolic metamaterials. Phys. Rev. A 2014, 90, 013801. [Google Scholar] [CrossRef]
- Zhang, W.; Yu, S.F. Bistable switching using an optical Tamm cavity with a Kerr medium. Opt. Commun. 2010, 283, 2622–2626. [Google Scholar] [CrossRef]
- Esslinger, M.; Vogelgesang, R.; Talebi, N.; Khunsin, W.; Gehring, P.; De Zuani, S.; Gompf, B.; Kern, K. Tetradymites as natural hyperbolic materials for the near-infrared to visible. ACS Photonics 2014, 1, 1285–1289. [Google Scholar] [CrossRef]
- Shen, K.-S.; Xia, S.-Q.; Zheng, Y.; Dong, S.-Q.; Liu, H.-C.; Dong, C.; Li, X.-K.; Xue, C.-H.; Lu, H. Observation of polarization-dependent optical Tamm states in heterostructures containing hyperbolic metamaterials in the near-infrared region. Results Phys. 2023, 46, 106301. [Google Scholar] [CrossRef]
- Ferrari, L.; Wu, C.; Lepage, D.; Zhang, X.; Liu, Z. Hyperbolic metamaterials and their applications. Prog. Quantum Electron. 2015, 40, 1–40. [Google Scholar]
- Zaky, Z.A.; Sharma, A.; Alamri, S.; Saleh, N.; Aly, A.H. Detection of fat concentration in milk using ternary photonic crystal. Silicon 2021, 14, 6063–6073. [Google Scholar] [CrossRef]
- Sabra, W.; Elsayed, H.A.; Mehaney, A.; Aly, A.H. Numerical optimization of 1D superconductor photonic crystals pressure sensor for low temperatures applications. Solid State Commun. 2022, 343, 114671. [Google Scholar]
- Sharma, S.; Kumar, R.; Singh, K.S.; Kumar, A.; Kumar, V. Omnidirectional reflector using linearly graded refractive index profile of 1D binary and ternary photonic crystal. Optik 2015, 126, 1146–1149. [Google Scholar] [CrossRef]
- Kumar, N.; Kaliramna, S.; Singh, M. Design of cold plasma based ternary photonic crystal for microwave applications. Silicon 2021, 14, 6933–6944. [Google Scholar] [CrossRef]
- Abohassan, K.M.; Ashour, H.S.; Abadla, M.M. A 1D photonic crystal-based sensor for detection of cancerous blood cells. Opt. Quantum Electron. 2021, 53, 356. [Google Scholar]
- Li, Z.; Ge, Z.; Zhang, X.-Y.; Hu, Z.-Y.; Zhao, D.; Wu, J.-W. Analysis of photonic band gaps in metamaterial-based one-dimensional ternary photonic crystals. Indian J. Phys. 2019, 93, 511–521. [Google Scholar]
- Abadla, M.M.; Abohassan, K.M.; Ashour, H.S. One-dimensional binary photonic crystals of graphene sheets embedded in dielectrics. Phys. B Condens. Matter 2021, 601, 412436. [Google Scholar] [CrossRef]
- Abohassan, K.M.; Ashour, H.S.; Abadla, M.M. One-dimensional ZnSe/ZnS/BK7 ternary planar photonic crystals as wide angle infrared reflectors. Results Phys. 2021, 22, 103882. [Google Scholar]
- Rakić, A.D.; Djurišić, A.B.; Elazar, J.M.; Majewski, M.L. Optical properties of metallic films for vertical-cavity optoelectronic devices. Appl. Opt. 1998, 37, 5271–5283. [Google Scholar] [CrossRef]
- Babicheva, V.E.; Shalaginov, M.Y.; Ishii, S.; Boltasseva, A.; Kildishev, A.V. Finite-width plasmonic waveguides with hyperbolic multilayer cladding. Opt. Express 2015, 23, 9681–9689. [Google Scholar] [CrossRef] [PubMed]
- Janaszek, B.; Kieliszczyk, M.; Tyszka-Zawadzka, A.; Szczepański, P. Multiresonance response in hyperbolic metamaterials. Appl. Opt. 2018, 57, 2135–2141. [Google Scholar] [CrossRef] [PubMed]
- Ahmed, A.M.; Mehaney, A. Ultra-high sensitive 1D porous silicon photonic crystal sensor based on the coupling of Tamm/Fano resonances in the mid-infrared region. Sci. Rep. 2019, 9, 6973. [Google Scholar] [CrossRef]
- Patel, P.; Mishra, V.; Panchal, A. Theoretical and experimental study of nanoporous silicon photonic microcavity optical sensor devices. Adv. Nat. Sci. Nanosci. Nanotechnol. 2012, 3, 035016. [Google Scholar] [CrossRef]
- SCHOTT. Zemax Catalog 2017-01-20b. Available online: https://www.schott.com (accessed on 25 August 2024).
- Polyanskiy, M.N. Refractiveindex.info database of optical constants. Sci. Data 2024, 11, 94. [Google Scholar] [CrossRef]
- Zhao, D.; Meng, L.; Gong, H.; Chen, X.; Chen, Y.; Yan, M.; Li, Q.; Qiu, M. Ultra-narrow-band light dissipation by a stack of lamellar silver and alumina. Appl. Phys. Lett. 2014, 104, 221107. [Google Scholar] [CrossRef]
- DeVore, J.R. Refractive indices of rutile and sphalerite. JOSA 1951, 41, 416–419. [Google Scholar] [CrossRef]
- Demetriadou, A.; Oh, S.S.; Wuestner, S.; Hess, O. A tri-helical model for nanoplasmonic gyroid metamaterials. New J. Phys. 2012, 14, 083032. [Google Scholar] [CrossRef]
- Xue, C.-h.; Ding, Y.; Jiang, H.-t.; Li, Y.; Wang, Z.-s.; Zhang, Y.-w.; Chen, H. Dispersionless gaps and cavity modes in photonic crystals containing hyperbolic metamaterials. Phys. Rev. B 2016, 93, 125310. [Google Scholar] [CrossRef]
- Huo, P.; Zhang, S.; Liang, Y.; Lu, Y.; Xu, T. Hyperbolic metamaterials and metasurfaces: Fundamentals and applications. Adv. Opt. Mater. 2019, 7, 1801616. [Google Scholar] [CrossRef]
- Farah, P.; Demetriadou, A.; Salvatore, S.; Vignolini, S.; Stefik, M.; Wiesner, U.; Hess, O.; Steiner, U.; Valev, V.K.; Baumberg, J.J. Ultrafast nonlinear response of gold gyroid three-dimensional metamaterials. Phys. Rev. Appl. 2014, 2, 044002. [Google Scholar] [CrossRef]
- Calhoun, W.; Maeta, H.; Roy, S.; Bali, L.; Bali, S. Sensitive real-time measurement of the refractive index and attenuation coefficient of milk and milk-cream mixtures. J. Dairy Sci. 2010, 93, 3497–3504. [Google Scholar] [CrossRef] [PubMed]
- Auguié, B.; Fuertes, M.C.; Angelomé, P.C.; Abdala, N.L.; Soler Illia, G.J.; Fainstein, A. Tamm plasmon resonance in mesoporous multilayers: Toward a sensing application. ACS Photonics 2014, 1, 775–780. [Google Scholar] [CrossRef]
- Juneau-Fecteau, A.; Fréchette, L.G. Tamm plasmon-polaritons in a metal coated porous silicon photonic crystal. Opt. Mater. Express 2018, 8, 2774–2781. [Google Scholar] [CrossRef]
- Das, P.; Wan, M.; BN, S.B. Optical properties of Tamm states in metal grating-one dimensional photonic crystal structures. In Proceedings of the Nanophotonics VII, Strasbourg, France, 22–26 April 2018; pp. 219–224. [Google Scholar]
- Lheureux, G.; Monavarian, M.; Anderson, R.; DeCrescent, R.A.; Bellessa, J.; Symonds, C.; Schuller, J.A.; Speck, J.; Nakamura, S.; DenBaars, S.P. Tamm plasmons in metal/nanoporous GaN distributed Bragg reflector cavities for active and passive optoelectronics. Opt. Express 2020, 28, 17934–17943. [Google Scholar] [CrossRef]
- Li, N.; Tang, T.; Li, J.; Luo, L.; Sun, P.; Yao, J. Highly sensitive sensors of fluid detection based on magneto-optical optical Tamm state. Sens. Actuators B Chem. 2018, 265, 644–651. [Google Scholar] [CrossRef]
- Mehdi Keshavarz, M.; Alighanbari, A. Self-referenced terahertz refractive index sensor based on a cavity resonance and Tamm plasmonic modes. Appl. Opt. 2020, 59, 4517–4526. [Google Scholar] [CrossRef]
- Sansierra, M.C.; Morrone, J.; Cornacchiulo, F.; Fuertes, M.C.; Angelomé, P.C. Detection of organic vapors using tamm mode based devices built from mesoporous oxide thin films. ChemNanoMat 2019, 5, 1289–1295. [Google Scholar] [CrossRef]
- White, I.M.; Fan, X. On the performance quantification of resonant refractive index sensors. Opt. Express 2008, 16, 1020–1028. [Google Scholar] [CrossRef]
- Das, R.; Srivastava, T.; Jha, R. On the performance of Tamm-plasmon and surface-plasmon hybrid-mode refractive-index sensor in metallo-dielectric heterostructure configuration. Sens. Actuators B Chem. 2015, 206, 443–448. [Google Scholar] [CrossRef]
- Chen, Y.; Dong, J.; Liu, T.; Zhu, Q.; Chen, W. Refractive index sensing performance analysis of photonic crystal containing graphene based on optical Tamm state. Mod. Phys. Lett. B 2016, 30, 1650030. [Google Scholar] [CrossRef]
- Mohamed, M.; Hameed, M.F.O.; Areed, N.F.; El-Okr, M.; Obayya, S. Analysis of highly sensitive photonic crystal biosensor for glucose monitoring. Appl. Comput. Electromagn. Soc. J. (ACES) 2016, 31, 836–842. [Google Scholar]
- Qian, X.; Zhao, Y.; Zhang, Y.-N.; Wang, Q. Theoretical research of gas sensing method based on photonic crystal cavity and fiber loop ring-down technique. Sens. Actuators B Chem. 2016, 228, 665–672. [Google Scholar] [CrossRef]
- Klimov, V.V.; Pavlov, A.A.; Treshin, I.V.; Zabkov, I.V. Fano resonances in a photonic crystal covered with a perforated gold film and its application to bio-sensing. J. Phys. D Appl. Phys. 2017, 50, 285101. [Google Scholar] [CrossRef]
- Mohammed, N.A.; Hamed, M.M.; Khalaf, A.A.; El-Rabaie, S. Malaria biosensors with ultra-sensitivity and quality factor based on cavity photonic crystal designs. Eur. Phys. J. Plus 2020, 135, 933. [Google Scholar] [CrossRef]
- Aly, A.H.; Awasthi, S.; Mohamed, A.; Matar, Z.; Mohaseb, M.; Al-Dossari, M.; Tammam, M.; Zaky, Z.A.; Amin, A.; Sabra, W. Detection of reproductive hormonses in females by using 1D photonic crystal-based simple reconfigurable biosensing design. Crystals 2021, 11, 1533. [Google Scholar] [CrossRef]
- Yashaswini, P.; Gayathri, H.; Srikanth, P. Performance analysis of photonic crystal based biosensor for the detection of bio-molecules in urine and blood. Mater. Today Proc. 2023, 80, 2247–2254. [Google Scholar] [CrossRef]
- Mehaney, A.; El-Sherbeeny, A.M.; Aly, A.H.; Nayak, C.; Suthar, B.; Al Zoubi, W.; Abukhadra, M.R.; Elsayed, H.A. The One-Dimensional Gyroidal Superconductor Photonic Crystals Based Cutoff Frequency Tunability for THz Applications. Braz. J. Phys. 2024, 54, 205. [Google Scholar] [CrossRef]
- Dolan, J.A.; Wilts, B.D.; Vignolini, S.; Baumberg, J.J.; Steiner, U.; Wilkinson, T.D. Optical properties of gyroid structured materials: From photonic crystals to metamaterials. Adv. Opt. Mater. 2015, 3, 12–32. [Google Scholar] [CrossRef]
- Qiao, G.J.; Jin, Z.H.; Qian, J.M. Biomorphic SiC ceramics prepared by organic template method. Key Eng. Mater. 2006, 317, 167–172. [Google Scholar] [CrossRef]
- Elsayed, H.A.; Mohamed, A.G.; El-Sherbeeny, A.M.; Aly, A.H.; Abukhadra, M.R.; Al Zoubi, W.; Mehaney, A. Improved performance of temperature sensors based on the one-dimensional topological photonic crystals comprising hyperbolic metamaterials. Sci. Rep. 2024, 14, 19733. [Google Scholar] [CrossRef]
- Wang, X.; Liu, J.; Hou, F.; Lu, X.; Sun, X.; Zhou, Y. Manufacture of porous SiC/C ceramics with excellent damage tolerance by impregnation of LPCS into carbonized pinewood. J. Eur. Ceram. Soc. 2015, 35, 1751–1759. [Google Scholar] [CrossRef]
- Li, S.; Ye, F.; Cheng, L.; Li, Z.; Wang, J.; Tu, J. Porous silicon carbide ceramics with directional pore structures by CVI combined with sacrificial template method. Ceram. Int. 2023, 49, 8331–8338. [Google Scholar] [CrossRef]
- Zhang, W.; Lv, D. Preparation and characterization of Si/SiO2 one-dimensional photonic crystal with ultra-low infrared emissivity in the 3–5 μm band. Optik 2020, 202, 163738. [Google Scholar] [CrossRef]
- Qi, D.; Wang, X.; Cheng, Y.; Gong, R.; Li, B. Design and characterization of one-dimensional photonic crystals based on ZnS/Ge for infrared-visible compatible stealth applications. Opt. Mater. 2016, 62, 52–56. [Google Scholar] [CrossRef]
- Gryga, M.; Ciprian, D.; Gembalova, L.; Hlubina, P. One-dimensional photonic crystal with a defect layer utilized as an optical filter in narrow linewidth LED-based sources. Crystals 2023, 13, 93. [Google Scholar] [CrossRef]
- Shekhar, P.; Atkinson, J.; Jacob, Z. Hyperbolic metamaterials: Fundamentals and applications. Nano Converg. 2014, 1, 1–17. [Google Scholar] [CrossRef]
- Davidovich, M.V. Hyperbolic metamaterials: Production, properties, applications, and prospects. Phys. Uspekhi 2019, 62, 1173. [Google Scholar] [CrossRef]
- Wu, F.; Zhang, Z.; Yin, C.; Chen, G. Omnidirectional narrow-band ultraviolet filtering based on one-dimensional defective photonic crystal containing hyperbolic metamaterial. Phys. B Condens. Matter 2021, 608, 412872. [Google Scholar] [CrossRef]










| Parameter | ||||||
|---|---|---|---|---|---|---|
| (RIU) | 1.3452 | 1.3496 | 1.3517 | 1.3543 | 1.3564 | 1.3657 |
| (%) | 0 | 1.5 | 3.3 | 6.6 | 10 | 33.3 |
| Position (μm) | 1.016 | 1.033 | 1.034 | 1.035 | 1.036 | 1.037 |
| FWHM (μm) | 0.008 | 0.008 | 0.008 | 0.007 | 0.007 | 0.007 |
| S (nm/RIU) | - | 3863.64 | 2769.23 | 2087.91 | 1785.71 | 1024.39 |
| Q.F | 127 | 129.13 | 129.25 | 147.86 | 148 | 148.14 |
| FoM (RIU−1) | - | 482.95 | 346.15 | 298.27 | 255.1 | 146.34 |
| SnR | - | 2.13 | 2.25 | 2.7142 | 2.86 | 3 |
| D.A (nm)−1 | 0.125 | 0.125 | 0.125 | 0.14 | 0.143 | 0.14 |
| D.L (RIU) | - | 0.0001035 | 0.000144 | 0.0001676 | 0.000196 | 0.0003416 |
| S.R (nm) | - | 0.4 | 0.4 | 0.35 | 0.35 | 0.35 |
| DR | 11.36 | 11.55 | 11.56 | 12.37 | 12.38 | 12.39 |
| - | 3.13 | 3.27 | 3.29 | 3.42 | 3.55 | |
| Ref. | S (nm/RIU) | D.L (RIU) | The Designed Structure | Year |
|---|---|---|---|---|
| [83] | 970 | - | Metallo-dielectric heterostructure configuration based on TP resonance | 2015 |
| [84] | 1179 | ~2.2 × 10−5 | Photonic crystal containing graphene | 2016 |
| [85] | 1118 | 10−3 | Photonic crystal biosensor | 2016 |
| [86] | 450 | ~1.6 × 10−4 | Photonic crystal cavity and fiber loop ring-down technique | 2016 |
| [87] | 17 | - | Photonic crystal covered with a perforated gold film | 2017 |
| [88] | 777 | - | Cavity photonic crystal | 2020 |
| [29] | 655.34 | - | 1D gyroidal PCs with a defect layer | 2022 |
| [89] | 98.093 | - | 1D heterostructure PCs | 2021 |
| [2] | 350 | - | Detection of fat concentration in milk using SPR biosensor based on Si and Ti3C2Tx | 2022 |
| [90] | 400 | - | Performance analysis of photonic crystal-based biosensor for the detection of biomolecules in urine and blood | 2023 |
| Our design | 3863.63 | 1 × 10−4 | Our designed structure, | 2024 |
Disclaimer/Publisher’s Note: The statements, opinions and data contained in all publications are solely those of the individual author(s) and contributor(s) and not of MDPI and/or the editor(s). MDPI and/or the editor(s) disclaim responsibility for any injury to people or property resulting from any ideas, methods, instructions or products referred to in the content. |
© 2024 by the authors. Licensee MDPI, Basel, Switzerland. This article is an open access article distributed under the terms and conditions of the Creative Commons Attribution (CC BY) license (https://creativecommons.org/licenses/by/4.0/).
Share and Cite
Medhat, M.; Malek, C.; Tlija, M.; Abukhadra, M.R.; Bellucci, S.; Elsayed, H.A.; Mehaney, A. One-Dimensional Photonic Crystals Comprising Two Different Types of Metamaterials for the Simple Detection of Fat Concentrations in Milk Samples. Nanomaterials 2024, 14, 1734. https://doi.org/10.3390/nano14211734
Medhat M, Malek C, Tlija M, Abukhadra MR, Bellucci S, Elsayed HA, Mehaney A. One-Dimensional Photonic Crystals Comprising Two Different Types of Metamaterials for the Simple Detection of Fat Concentrations in Milk Samples. Nanomaterials. 2024; 14(21):1734. https://doi.org/10.3390/nano14211734
Chicago/Turabian StyleMedhat, Mai, Cherstina Malek, Mehdi Tlija, Mostafa R. Abukhadra, Stefano Bellucci, Hussein A. Elsayed, and Ahmed Mehaney. 2024. "One-Dimensional Photonic Crystals Comprising Two Different Types of Metamaterials for the Simple Detection of Fat Concentrations in Milk Samples" Nanomaterials 14, no. 21: 1734. https://doi.org/10.3390/nano14211734
APA StyleMedhat, M., Malek, C., Tlija, M., Abukhadra, M. R., Bellucci, S., Elsayed, H. A., & Mehaney, A. (2024). One-Dimensional Photonic Crystals Comprising Two Different Types of Metamaterials for the Simple Detection of Fat Concentrations in Milk Samples. Nanomaterials, 14(21), 1734. https://doi.org/10.3390/nano14211734

