Electrochemical Growth of Copper Crystals on SPCE for Electrocatalysis Nitrate Reduction
Abstract
1. Introduction
2. Chemicals, Materials, and Electrode Fabrication
2.1. Chemicals and Instruments
2.2. Working Electrode Preparation
3. Results and Discussion
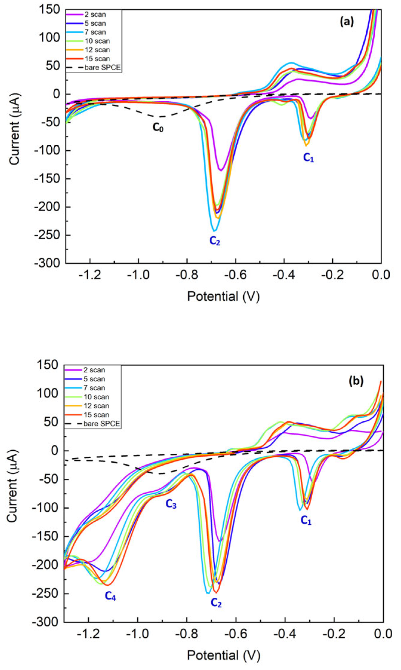
3.1. WE Electrochemical Characterization
3.2. Structural Analysis
3.3. Performance of Electrochemical Electrodes for NO3− Reduction
4. Conclusions
5. Patents
Supplementary Materials
Author Contributions
Funding
Data Availability Statement
Conflicts of Interest
References
- Wei, J.; Li, Y.; Lin, H.; Lu, X.; Zhou, C.; Li, Y.-Y. Copper-based electro-catalytic nitrate reduction to ammonia from water: Mechanism, preparation, and research directions. Environ. Sci. Ecotechnol. 2024, 20, 100383. [Google Scholar] [CrossRef] [PubMed]
- Yao, Y.; Zhang, L. Electrochemical nitrate reduction to ammonia on copper-based materials for nitrate-containing wastewater treatment. Sci. Bull. 2022, 67, 1194–1196. [Google Scholar] [CrossRef] [PubMed]
- Garcia-Segura, S.; Lanzarini-Lopes, M.; Hristovski, K.; Westerhoff, P. Electrocatalytic reduction of nitrate: Fundamentals to full-scale water treatment applications. Appl. Catal. B Environ. 2018, 236, 546–568. [Google Scholar] [CrossRef]
- Yang, G.; Zhou, P.; Liang, J.; Li, H.; Wang, F. Opportunities and challenges in aqueous nitrate and nitrite reduction beyond electrocatalysis. Inorg. Chem. Front. 2023, 10, 4610–4631. [Google Scholar] [CrossRef]
- Zhang, H.; Fang, K.; Yang, J.; Chen, H.; Ning, J.; Wang, H.; Hu, Y. Strategies and applications of electrocatalytic nitrate reduction towards ammonia. Coord. Chem. Rev. 2024, 506, 215723. [Google Scholar] [CrossRef]
- De Groot, M.T.; Koper, M.T.M. The influence of nitrate concentration and acidity on the electrocatalytic reduction of nitrate on platinum. J. Electroanal. Chem. 2004, 562, 81–94. [Google Scholar] [CrossRef]
- Molodkina, E.B.; Ehrenburg, M.R.; Polukarov, Y.M.; Danilov, A.I.; Souza-Garcia, J.; Feliu, J.M. Electroreduction of nitrate ions on Pt(111) electrodes modified by copper adatoms. Electrochim. Acta 2010, 56, 154–165. [Google Scholar] [CrossRef]
- Sun, C.; Li, F.; An, H.; Li, Z.; Bond, A.M.; Zhang, J. Facile electrochemical co-deposition of metal (Cu, Pd, Pt, Rh) nanoparticles on reduced graphene oxide for electrocatalytic reduction of nitrate/nitrite. Electrochim. Acta 2018, 269, 733–741. [Google Scholar] [CrossRef]
- Lim, J.; Liu, C.Y.; Park, J.; Liu, Y.H.; Senftle, T.P.; Lee, S.W.; Hatzell, M.C. Structure sensitivity of Pd facets for enhanced electrochemical nitrate reduction to ammonia. ACS Catal. 2021, 11, 7568–7577. [Google Scholar] [CrossRef]
- Reyter, D.; Bélanger, D.; Roué, L. Elaboration of Cu-Pd films by coelectrodeposition: Application to nitrate electroreduction. J. Phys. Chem. C 2009, 113, 290–297. [Google Scholar] [CrossRef]
- Hu, J.; Sun, J.; Bian, C.; Tong, J.; Shanhong, X. 3D Dendritic nanostructure of silver array: Preparation, growth mechanism and application in nitrate sensor. Electroanalysis 2013, 25, 546–556. [Google Scholar] [CrossRef]
- Liu, Z.; Wang, C.; Chen, C.; Li, C.; Guo, C. Selective electroreduction of nitrate to ammonia with high Faradaic efficiency on nanocrystalline silver. Electrochem. Commun. 2021, 131, 107121. [Google Scholar] [CrossRef]
- Liu, H.; Park, J.; Chen, Y.; Qiu, Y.; Cheng, Y.; Srivastava, K.; Gu, S.; Shanks, B.H.; Roling, L.T.; Li, W. Electrocatalytic nitrate reduction on oxide-derived silver with tunable selectivity to nitrite and ammonia. ACS Catal. 2021, 11, 8431–8442. [Google Scholar] [CrossRef]
- Katsounaros, I.; Ipsakis, D.; Polatides, C.; Kyriacou, G. Efficient electrochemical reduction of nitrate to nitrogen on tin cathode at very high cathodic potentials. Electrochim. Acta 2006, 52, 1329–1338. [Google Scholar] [CrossRef]
- Zhang, Y.; Zhao, Y.; Chen, Z.; Wang, L.; Zhou, L.; Wu, P.; Wang, F.; Ou, P. Fe/Cu composite electrode prepared by electro-deposition and its excellent behavior in nitrate electrochemical removal. J. Electrochem. Soc. 2018, 165, 420–428. [Google Scholar] [CrossRef]
- Badea, G.E. Electrocatalytic reduction of nitrate on copper electrode in alkaline solution. Electrochim. Acta 2009, 54, 996–1001. [Google Scholar] [CrossRef]
- Yin, D.; Liu, Y.; Song, P.; Chen, P.; Liu, X.; Cai, L.; Zhang, L. In situ growth of copper/reduced graphene oxide on graphite surfaces for the electrocatalytic reduction of nitrate. Electrochim. Acta 2019, 324, 134846. [Google Scholar] [CrossRef]
- Reyter, D.; Bélanger, D.; Roué, L. Study of the electroreduction of nitrate on copper in alkaline solution. Electrochim. Acta 2008, 53, 5977–5984. [Google Scholar] [CrossRef]
- Lima, A.S.; Salles, M.O.; Ferreira, T.L.; Paixão, T.R.L.C.; Bertotti, M. Scanning electrochemical microscopy investigation of nitrate reduction at activated copper cathodes in acidic medium. Electrochim. Acta 2012, 78, 446–451. [Google Scholar] [CrossRef]
- Zhang, Y.; Zhao, Y.; Chen, Z.; Wang, L.; Wu, P.; Wang, F. Electrochemical reduction of nitrate via Cu/Ni composite cathode paired with Ir-Ru/Ti anode: High efficiency and N2 selectivity. Electrochim. Acta 2018, 291, 151–160. [Google Scholar] [CrossRef]
- Wang, Y.; Xu, A.; Wang, Z.; Huang, L.; Li, J.; Li, F.; Wicks, J.; Luo, M.; Nam, D.H.; Tan, C.S.; et al. Enhanced nitrate-to-ammonia activity on copper-nickel alloys via tuning of intermediate adsorption. J. Am. Chem. Soc. 2020, 142, 5702–5708. [Google Scholar] [CrossRef] [PubMed]
- Mattarozzi, L.; Cattarin, S.; Comisso, N.; Gerbasi, R.; Guerriero, P.; Musiani, M.; Vázquez-Gómez, L.; Verlato, E. Electrodeposition of compact and porous Cu-Zn alloy electrodes and their use in the cathodic reduction of nitrate. J. Electrochem. Soc. 2015, 162, 236–241. [Google Scholar] [CrossRef]
- Polatides, C.; Kyriacou, G. Electrochemical reduction of nitrate ion on various cathodes Reaction kinetics on bronze cathode. J. Appl. Electrochem. 2005, 35, 421–427. [Google Scholar] [CrossRef]
- Zhang, Y.; Li, X.; Wang, Z.; Liu, J. Highly selective nitrate reduction to ammonia using copper nanowires. J. Electroanal. Chem. 2023, 918, 116543. [Google Scholar]
- Chen, T.; Zhao, L.; Huang, Y. Enhanced nitrate electroreduction over carbon-supported copper nanoparticles. Electrochim. Acta 2022, 403, 139684. [Google Scholar] [CrossRef]
- García-Miranda Ferrari, A.; Rowley-Neale, S.J.; Banks, C.E. Screen-printed electrodes: Transitioning the laboratory into the field. Talanta Open 2021, 3, 100032. [Google Scholar] [CrossRef]
- Farina, R.; Scalese, S.; Corso, D.; Capuano, G.E.; Screpis, G.A.; Coniglio, M.A.; Condorelli, G.G.; Libertino, S. Chronoamperometric Ammonium Ion Detection in Water via Conductive Polymers and Gold Nanoparticles. Molecules 2024, 29, 3028. [Google Scholar] [CrossRef]
- Zhao, Y.; Liu, Y.; Zhang, Z.; Mo, Z.; Wang, C.; Gao, S. Flower-like open-structured polycrystalline copper with synergistic multi-crystal plane for efficient electrocatalytic reduction of nitrate to ammonia. Nano Energy 2022, 97, 107124. [Google Scholar] [CrossRef]
- Chen, D.-J.; Lu, Y.-H.; Wang, A.-J.; Feng, J.-J.; Huo, T.-T.; Dong, W.-J. Facile synthesis of ultra-long Cu microdendrites for the electrochemical detection of glucose. J. Solid State Electrochem. 2012, 16, 1313–1321. [Google Scholar] [CrossRef]
- Farina, R.; D’Arrigo, G.; Alberti, A.; Scalese, S.; Capuano, G.E.; Corso, D.; Screpis, G.A.; Coniglio, M.A.; Condorelli, G.G.; Libertino, S. Copper Micro-Flowers for Electrocatalytic Sensing of Nitrate Ions in Water. Sensors 2024, 24, 4501. [Google Scholar] [CrossRef]
- Mumtarin, Z.; Rahman, M.M.; Marwani, H.M.; Hasnat, M.A. Electro-kinetics of conversion of NO3− into NO2− and sensing of nitrate ions via reduction reactions at copper immobilized platinum surface in the neutral medium. Electrochim. Acta 2020, 346, 135994. [Google Scholar] [CrossRef]
- Inam, A.K.M.S.; Costa Angeli, M.A.; Shkodra, B.; Douaki, A.; Avancini, E.; Magagnin, L.; Petti, L.; Lugli, P. Flexible screen-printed electrochemical sensors functionalized with electrodeposited copper for nitrate detection in water. ACS Omega 2021, 6, 33523–33532. [Google Scholar] [CrossRef] [PubMed]
- Zadeh Zhad, L.H.R.; Lai, R.Y. Comparison of nanostructured silver-modified silver and carbon ultramicroelectrodes for electrochemical detection of nitrate. Anal. Chim. Acta 2015, 892, 153–159. [Google Scholar] [CrossRef]
- Li, C.; Liu, S.; Xu, Y.; Ren, T.; Guo, Y.; Wang, Z.; Li, X.; Wang, L.; Wang, H. Controllable reconstruction of copper nanowires into nanotubes for efficient electrocatalytic nitrate conversion into ammonia. Nanoscale 2022, 14, 12332–12338. [Google Scholar] [CrossRef]
- Xu, Y.; Wang, M.; Ren, K.; Ren, T.; Liu, M.; Wang, Z.; Li, X.; Wang, L.; Wang, H. Atomic defects in pothole-rich two-dimensional copper nanoplates triggering enhanced electrocatalytic selective nitrate-to-ammonia transformation. J. Mater. Chem. A 2021, 9, 16411–16417. [Google Scholar] [CrossRef]
- Li, J.; Yang, H.; Wu, S. Influence of crystallographic orientation on the electrocatalytic reduction of nitrate by copper electrodes. ACS Catal. 2018, 8, 2735–2744. [Google Scholar] [CrossRef]
- Arena, F.; Trunfio, G.; Negro, J.; Spadaro, L. Synthesis of highly dispersed MnCeOx catalysts via a novel “redox-precipitation” route. Mater. Res. Bull. 2008, 43, 539–545. [Google Scholar] [CrossRef]
- Crisafulli, R.; de Barros, V.V.S.; de Oliveira, F.E.R.; de Araújo Rocha, T.; Zignani, S.; Spadaro, L.; Palella, A.; Dias, J.A.; Linares, J.J. On the promotional effect of Cu on Pt for hydrazine electroxidation in alkaline. Appl. Catal. B Environ. 2018, 236, 36–44. [Google Scholar] [CrossRef]
- Crisafulli, R.; de Paula, D.F.; Zignani, S.C.; Spadaro, L.; Palella, A.; Boninelli, S.; Dias, J.A.; Linares, J.J. Promoting Effect of Cu on Pd Applied to the Hydrazine Electro-Oxidation and Direct Hydrazine Fuel Cells. Catalysts 2022, 12, 1639. [Google Scholar] [CrossRef]
- González-Meza, O.A.; Larios-Durán, E.R.; Gutiérrez-Becerra, A.; Casillas, N.; Escalante, J.I.; Bárcena-Soto, M. Development of a Randles-Ševčík-like equation to predict the peak current of cyclic voltammetry for solid metal hexacyanoferrates. J. Solid State Electrochem. 2019, 23, 3123–3133. [Google Scholar] [CrossRef]
- Elgrishi, N.; Rountree, K.J.; McCarthy, B.D.; Rountree, E.S.; Eisenhart, T.T.; Dempsey, J.L. A Practical Beginner’s Guide to Cyclic Voltammetry. J. Chem. Educ. 2018, 95, 197–206. [Google Scholar] [CrossRef]
- Abdi, Z.; Vandichel, M.; Sologubenko, A.S.; Willinger, M.-G.; Shen, J.-R.; Allakhverdiev, S.I.; Najafpour, M.M. The importance of identifying the true catalyst when using Randles-Sevcik equation to calculate turnover frequency. Int. J. Hydrogen Energy 2021, 46, 37774–37781. [Google Scholar] [CrossRef]






| Electrodes | Sensitivity | Surface Area (cm2) |
|---|---|---|
| Bare C | - | 0.0197 |
| 2 cycles | 35.94 μA/mM | 0.0854 |
| 5 cycles | 46.80 μA/mM | 0.1079 |
| 7 cycles | 42.19 μA/mM | 0.0981 |
| 10 cycles | 41.33 μA/mM | 0.0942 |
| 12 cycles | 42.53 μA/mM | 0.1001 |
| 15 cycles | 40.32 μA/mM | 0.0853 |
Disclaimer/Publisher’s Note: The statements, opinions and data contained in all publications are solely those of the individual author(s) and contributor(s) and not of MDPI and/or the editor(s). MDPI and/or the editor(s) disclaim responsibility for any injury to people or property resulting from any ideas, methods, instructions or products referred to in the content. |
© 2024 by the authors. Licensee MDPI, Basel, Switzerland. This article is an open access article distributed under the terms and conditions of the Creative Commons Attribution (CC BY) license (https://creativecommons.org/licenses/by/4.0/).
Share and Cite
Farina, R.; D’Arrigo, G.; Alberti, A.; Capuano, G.E.; Corso, D.; Screpis, G.A.; Coniglio, M.A.; Condorelli, G.G.; Libertino, S. Electrochemical Growth of Copper Crystals on SPCE for Electrocatalysis Nitrate Reduction. Nanomaterials 2024, 14, 1704. https://doi.org/10.3390/nano14211704
Farina R, D’Arrigo G, Alberti A, Capuano GE, Corso D, Screpis GA, Coniglio MA, Condorelli GG, Libertino S. Electrochemical Growth of Copper Crystals on SPCE for Electrocatalysis Nitrate Reduction. Nanomaterials. 2024; 14(21):1704. https://doi.org/10.3390/nano14211704
Chicago/Turabian StyleFarina, Roberta, Giuseppe D’Arrigo, Alessandra Alberti, Giuseppe E. Capuano, Domenico Corso, Giuseppe A. Screpis, Maria Anna Coniglio, Guglielmo G. Condorelli, and Sebania Libertino. 2024. "Electrochemical Growth of Copper Crystals on SPCE for Electrocatalysis Nitrate Reduction" Nanomaterials 14, no. 21: 1704. https://doi.org/10.3390/nano14211704
APA StyleFarina, R., D’Arrigo, G., Alberti, A., Capuano, G. E., Corso, D., Screpis, G. A., Coniglio, M. A., Condorelli, G. G., & Libertino, S. (2024). Electrochemical Growth of Copper Crystals on SPCE for Electrocatalysis Nitrate Reduction. Nanomaterials, 14(21), 1704. https://doi.org/10.3390/nano14211704

