Abstract
The Co3O4 nanowire@NiCo2O4 nanosheet hierarchical array was constructed on Ni foam using hydrothermal and annealing approaches in turn, from which a NiCo2O4 nanosheet could self-assemble on the Co3O4 nanowire. The structure and morphology of the Co3O4 nanowire@NiCo2O4 nanosheet hierarchical array were characterized via XRD, EDS, SEM, and FESEM, respectively. The electrochemical performance of the composite array was measured via a cyclic voltammetry curve, galvanostatic current charge–discharge, charge–discharge cycle, and electrochemical impedance and then compared with the Co3O4 nanowire. The results show that the Co3O4 nanowire@NiCo2O4 nanosheet hierarchical array could reach a high value of 2034 F g−1 at a current density of 2.5 A g−1. After 5000 galvanostatic charge–discharge cycles, the specific capacitance of the Co3O4 nanowire@NiCo2O4 nanosheet hierarchical array could still maintain 94.7% of the original value. Therefore, the Co3O4 nanowire@NiCo2O4 nanosheet hierarchical array would be a desirable electrode material for a high-performance supercapacitor.
1. Introduction
Co3O4 is widely regarded as a promising electrode material for pseudocapacitors due to its high theoretical specific capacitance, low consumption, and environmental friendliness [1,2,3,4,5,6]. Co3O4 nanomaterials with uniform size and special morphology, such as nanosheets, mesoporous nanotubes, and nanospheres, have been reported [7,8,9,10,11,12,13]. However, the specific capacitance, energy density, and cyclic performance of pure-phase Co3O4 nanoparticles are limited. The exploration of novel Co3O4-based nanocomposite electrode materials for supercapacitors have caused extensive research in recent years [14,15,16,17,18,19]. Co3O4-based nanocomposite electrode materials mainly include Co3O4@C, Co3O4/graphene, Co3O4@metal hydroxide, and Co3O4@metal oxide [20,21,22,23,24,25,26,27]. Although these Co3O4-based nanocomposite electrode materials showed improvement in the supercapacitor electrochemical performance compared with the Co3O4 nanostructures, the specific capacitance of these composite electrode materials is not very large, and the energy density is not high. It is still a great challenge to further design multi-component core–shell or heterogeneous electrode materials with higher electrochemical performance and study the corresponding relationship between structure and performance through simple synthesis. The s as-prepared NiCo2O4 with the similar spinel structure of Co3O4 has better electron conductivity, higher electrochemical activity, higher efficiency, lower consumption, and better environmental protection than the traditional transition metal group oxides [28,29,30,31,32,33]. Recently, an effective method of improving the electrochemical performance of the supercapacitor was to synthesize two metal oxides with similar structures on conductive templates, such as Co3O4@NiMoO4 [34,35], Co3O4/NiCo2O4 [36,37], and Co3O4@CoMn2O4 core-shell array structure [38].
In this work, the Co3O4 nanowire@NiCo2O4 nanosheets hierarchical array were constructed on a Ni foam substrate via the hydrothermal method, followed by the annealing process. The NiCo2O4 nanosheets are wrapped on the surface of the Co3O4 nanowire, which could provide faster ion and electron transfer and improve the structural integrity. The Co3O4 nanowire@NiCo2O4 nanosheets hierarchical array exhibited high specific capacitance and excellent cycling performance, which could be attributed to the synergic effect of the hierarchical nanostructure. The specific capacitance of the Co3O4 nanowire@NiCo2O4 nanosheet hierarchical array could reach 2034 F g−1 at a current density of 2.5 A g−1 and maintain 94.7% of the original value after 5000 charge–discharge cycles. The Co3O4 nanowire@NiCo2O4 nanosheet hierarchical array showed great potential application in supercapacitors.
2. Experimental Section
All chemical agents were of analytical grade and were used directly without further purification.
2.1. Synthesis of Co3O4 Nanowire
A total of 1.50 mmol of CoCl2·6H2O, 1.00 mmol of NH4F, and 2.00 mmol of urea were dissolved in 40 mL of distilled water under magnetic stirring. The obtained uniform solution was transferred into a 50 mL polytetrafluoroethylene reactor with 2 cm × 3 cm Ni foam and then hydrothermally treated at 120 °C for 6 h. The Ni foam was pre-treated in 6 M HCl. The obtained samples were washed with deionized water and anhydrous ethanol several times. Finally, the washed sample were dried at 60 °C in vacuum and then calcinated at 300 °C for 2 h with a heating rate of 5 °C min−1.
2.2. Synthesis of the Co3O4 Nanowire@NiCo2O4 Nanosheet Hierarchica Array
A total of 0.10 mmol NiCl2·6H2O, 0.20 mmol CoCl2·6H2O, 0.10 mmol NH4F, and 0.20 mmol urea were accurately weighed and resolved into the mixed solution of 30 mL methanol and 6 mL H2O; after stirring for 20 min, the uniform solution was transferred to a 50 mL polytetrafluoroethylene reactor with Ni foam-covered Co3O4 nanowire and hydrothermally treated at 120 °C for 6 h. The obtained samples were washed with deionized water and anhydrous ethanol several times. Finally, the precursors were dried in a vacuum at 60 °C for 10 h, and final samples were obtained by calcining the precursors at 300 °C for 2 h with a heating rate of 5 °C min−1.
2.3. Characterization of the Co3O4 Nanowire@NiCo2O4 Nanosheet Hierarchica Array
The phase purity of the samples were characterized using an XRD-6000 type X-ray powder diffraction instrument (Shimadzu Corporation, Kyoto, Japan) with a graphite monochromator and high-intensity Cu Ka radiation (λ = 0.154060 nm). The scan speed is 8° min−1. The scan range is 10° to 80°. The field emission scanning electron microscope (FESEM) images of the samples were observed using a Hitachi S-4800 (Tokyo, Japan) field emission scanning electron microscope (accelerated voltage: 5.0 kV). The transmission electron microscope (TEM) images of the samples were observed using a JEOL 2010 (Tokyo, Japan) transmission electron microscope (accelerated voltage: 200 kV).
2.4. Electrochemical Measurement of Samples
The supercapacitor electrochemical performance was measured using a CHI 660D electrochemical workstation (Shanghai Chenhua Instrument Co., Ltd., Shanghai, China). We cut the calcinated Ni foam covering the sample into small pieces of 1 cm × 1 cm. The 1 cm × 1 cm Ni foam covered the sample assembled with a platinum electrode and a standard saturated calomel electrode to form a three-electrode device with the platinum electrode as the counter electrode and the standard saturated calomel electrode as the reference electrode. The cyclic voltammetry curve, galvanostatic charge–discharge, cycling performance, and electrochemical impedance were measured with 3 M KOH solution as the electrolyte.
2.5. Electrochemical Calculation
The electrochemical performance of the specific capacitance Csp of the Co3O4 nanowire@NiCo2O4 nanosheet hierarchical array supercapacitor was calculated via the following formulae:
where I is the current density of galvanostatic charge and discharge, is the discharge time, is the mass of the active materials, is the potential window, and S is the scan speed.
3. Results and Discussion
Structure and Morphology of the Samples
The phase composition of the samples was tested on the X-ray powder diffraction instrument. The results are exhibited in Figure 1. The diffraction peaks of the Co3O4 nanowire include the (111), (220), (311), (222), (400), (422), (511), (400), (650), and (533) crystal phases, which can all be indexed to the characteristic peaks of Co3O4, indicating that the sample was cubic-phase Co3O4 (JCPDS:78-1969). Pure cubic-phase Co3O4 nanowire provided the theoretical basis for the preparation of the Co3O4 nanowire@NiCo2O4 nanosheet hierarchical array structure. Compared with the diffraction pattern of the Co3O4 nanowire, the diffraction peaks of the Co3O4 nanowire@NiCo2O4 nanosheet hierarchical array demonstrated basically no change except for a slightly enhanced diffraction peak intensity, which can be indexed to the characteristic peaks of spinel-phase NiCo2O4 (JCPDS:73-1702), indicating formation of the core–shell structure of the Co3O4 nanowire@NiCo2O4 nanosheet hierarchical array.
Figure 1.
The XRD patterns of the Co3O4 nanowire and the Co3O4 nanowire@NiCo2O4 nanosheet hierarchical array.
A field emission scanning electron microscope was used to observe the morphology and size of the samples. Figure 2a,b are the low-magnification and high-magnification SEM images of the Co3O4 nanowires. It can be seen that the as-prepared Co3O4 nanowire array is rather neat and uniform. Figure 2c,d are low-magnification and high-magnification SEM images of the Co3O4 nanowire@NiCo2O4 nanosheets hierarchical array. A flower-like nanosheet developed and was surrounded tightly by the Co3O4 nanowire, and the neat array was formed.
Figure 2.
(a) Low- and (b) high-magnification SEM images of the Co3O4 nanowire. (c) Low- and (d) high-magnification SEM images of the Co3O4 nanowire@NiCo2O4 nanosheet hierarchical array.
The morphology and structure of the samples were further analyzed via a transmission electron microscopy. As can be seen from Figure 3a–c, the constructed Co3O4 nanowire array and Co3O4 nanowire@NiCo2O4 nanosheet hierarchical array were all porous in structure, which would increase the number of electrochemical active sites [39,40]. The high-resolution lattice fringes of the samples are shown in Figure 3b–d. The crystal plane spacing of the Co3O4 nanowire array was 0.47 nm, corresponding to the (111) crystal plane. The crystal plane spacing of the Co3O4 nanowire@NiCo2O4 nanosheet hierarchical array was 0.245 nm, corresponding to the (111) and (311) crystal planes.

Figure 3.
(a) TEM and (b) HRTEM images of the Co3O4 nanowire. (c) TEM and (d) HRTEM images of theCo3O4 nanowire@NiCo2O4 nanosheet hierarchical array.
The EDS mapping images are shown in Figure 4. Figure 4a shows that there is 18.48 wt% of the Ni element. Figure 4b showed that the Ni element was uniformly distributed. It also confirmed that the NiCo2O4 nanosheet was successfully constructed on the Co3O4 nanowire.
Figure 4.
(a) Element proportion of the Co3O4 nanowire@NiCo2O4 nanosheet and (b) EDS image of the Co3O4 nanowire@NiCo2O4 nanosheet.
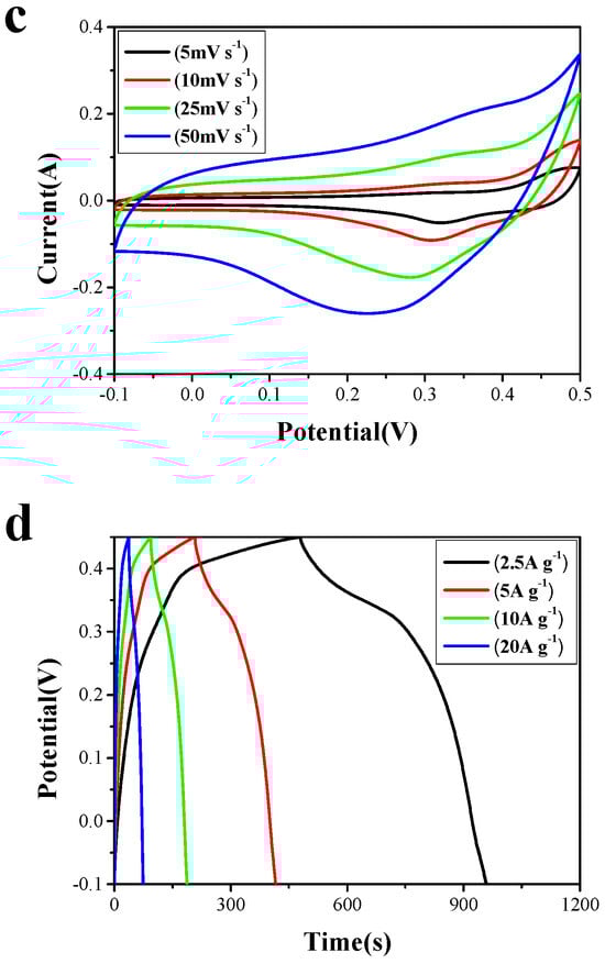
The Co3O4 nanowire array and the Co3O4 nanowire@NiCo2O4 nanosheet hierarchical array were used as electrode materials to test the supercapacitor electrochemical performance. The results are shown in Figure 5. Cyclic voltammetry curves of the samples were tested under different scan speeds (from 5 to 50 mV s−1) in a voltage range from −0.1 to 0.5 V. The redox peaks in the cyclic voltammetry curves of the Co3O4 nanowire electrode material (Figure 5a) are due to the Co2+/Co3+ and Co3+/Co4+ redox reactions [41,42] (Equations (1) and (2)):
Co3O4 + OH− + H2O = 3CoOOH + e−,
CoOOH + OH− = CoO2 + H2O + e−.

Figure 5.
(a) Cyclic voltammetry curves of the Co3O4 nanowire and (b) galvanostatic charge–discharge curves of Co3O4 nanowire. (c) Cyclic voltammetry curves of the Co3O4 nanowire@NiCo2O4 nanosheet and (d) galvanostatic charge–discharge curves of the Co3O4 nanowire@NiCo2O4 nanosheet.
For the Co3O4 nanowire@NiCo2O4 nanosheet hierarchical array, the expansion and migration of the redox peak is mainly due to the increase in the Ni2+/Ni3+ reaction (Figure 5c) [37] (Equation (3)):
NiCo2O4 + OH− + H2O = NiOOH + 2CoOOH + e−.
According to the above supercapacitor electrochemical calculation (Equation (1)), the specific capacitance values were calculated at different scan speeds. At the scan speeds of 5 mV s−1, 10 mV s−1, 25 mV s−1, and 50 mV s−1, the specific capacitance values of the Co3O4 nanowire array were 1267 F g−1, 1108 F g−1, 941 F g−1, and 715 F g−1; and the specific capacitance values of the Co3O4 nanowire@NiCo2O4 nanosheet array were 2642 F g−1, 2473 F g−1, 2234 F g−1, and 1905 F g−1. With the increase in scan speeds, the specific capacitance decreased gradually (Figure 5c). The galvanostatic charge–discharge curves of the samples were tested at different current densities (2.5, 5, 10, and 20 A g−1) in the voltage range of −0.1~0.45 V. The specific capacitance of constant current charge–discharge curves can be calculated according to the above Equation (2). Figure 5b shows the galvanostatic charge–discharge curves of the Co3O4 nanowire array. When the current densities were 2.5 A g−1, 5 A g−1, 10 A g−1, and 20 A g−1, the corresponding specific capacitance were 1112 F g−1, 982 F g−1, 834 F g−1, and 680 F g−1. Figure 5d shows the galvanostatic charge–discharge curves of the Co3O4 nanowire@NiCo2O4 nanosheet hierarchical array. When the current densities were 2.5 A g−1, 5 A g−1, 10 A g−1, and 20 A g−1, the specific capacitance values were 2034 F g−1, 1880 F g−1, 1688 F g−1, and 1339 F g−1, respectively (Figure 5d).
Figure 6a,b shows the comparison of cyclic voltammetry curves of the Co3O4 nanowire array and the Co3O4 nanowire@NiCo2O4 nanosheet hierarchical array at a current density of 25 mV s−1 and the galvanostatic charge–discharge comparison at a current density of 5 A g−1. The specific capacitance of the Co3O4 nanowire@NiCo2O4 nanosheet hierarchical array was higher than that of the Co3O4 nanowire, which may because the two-dimensional nanosheet has a larger BET and has more contact surfaces during the redox reaction of the electrode than the one-dimensional nanowire. The specific capacitance of the Co3O4 nanowire@NiCo2O4 nanosheet hierarchical array was significantly better than that of the Co3O4-based nanocomposites reported in the literature, such as Co3O4@MnO2 (1532.4 F g−1, 1 A g−1) [43] and Co3O4@NiCo2O4 (672 F g−1, 0.5 A g−1) [37].
Figure 6.
The electrochemical performances comparison of the samples: (a) the CVs at 25 mV s−1; (b) the charge–discharge curves at 5 A g−1; (c) the specific capacitance as a function of scan rate; (d) the specific capacitance as a function of current density.
Galvanostatic charge–discharge cycling of the Co3O4 nanowire array and the Co3O4 nanowire @NiCo2O4 nanosheet hierarchical array were conducted 5000 times at a current density of 5 A g−1 to study the cycling performance. As shown in Figure 6a, the specific capacitance of the Co3O4 nanowire array is 91.2%, and that of the Co3O4 nanowire @NiCo2O4 nanosheet hierarchical array is 94.7%. A key factor in the practical application of electrode materials is cycling performance. According to the literature report, the following results obtain: mesoporous Co3O4 ultra-thin nanosheets (78.5%, 2000 cycles) [8]; Co3O4/MnO2 (93.4%, 5000 cycles) [43]; and CoMoO4/Co3O4 (90.38%, 2000 cycles) [39]. The excellent cycling performance of Co3O4 nanowires@NiCo2O4 nanosheet hierarchical array electrode materials provided a good theoretical basis for practical applications (Table 1).
Table 1.
Comparison of cycling performance.
The frequency range of the electrochemical impedance was 100 kHz to 0.05 Hz with the open-circuit voltage of 5 mV (Figure 7). Electrochemical impedance was composed of electrolyte ion resistance, the inherent resistance of the active material, and the contact resistance between the active material and the collector. The diameter of the fitting circle of the quasi-semicircle in the high-frequency region represented the charge transfer resistance of the electrode material in the electrochemical system [44,45,46]. As shown in Figure 6b, the resistance of the Co3O4 nanowire @NiCo2O4 nanosheet hierarchical array electrode material is significantly lower than that of the Co3O4 nanowire array. The lower resistance of charge transfer enables the hierarchical array to have a better electrochemical performance [47,48].
Figure 7.
(a) The cyclic performance of charge–discharge for 5000 cycles at 5 A g−1. (b) Nyquist plots at 1 A g−1.
4. Conclusions
In summary, the Co3O4 nanowire@NiCo2O4 nanosheet hierarchical array was constructed on Ni foam via hydrothermal synthesis followed by calcination treatment. The XRD, SEM, and TEM results demonstrated that the NiCo2O4 nanosheet wrapped on the surfaces of the Co3O4 nanowire provided faster ion and electron transfer and improved structural integrity. The Co3O4 nanowire@NiCo2O4 nanosheet hierarchical array exhibited high specific capacitance and excellent cycling performance. The results showed that the Co3O4 nanowire@NiCo2O4 nanosheet hierarchical array would be a desirable electrode material for a high-performance supercapacitor.
Author Contributions
Methodology, B.X.; Formal analysis, M.L.; Data curation, Y.W.; Writing—review & editing, L.P. All authors have read and agreed to the published version of the manuscript.
Funding
This research received no external funding.
Data Availability Statement
Data are contained within the article.
Conflicts of Interest
The authors declare no conflict of interest.
References
- Zhu, Y.R.; Peng, P.P.; Wu, J.Z.; Yi, T.F.; Xie, Y.; Luo, S.H. Co3O4@NiCo2O4 microsphere as electrode materials for high-performance supercapacitors. Solid State Ion. 2019, 336, 110–119. [Google Scholar] [CrossRef]
- Yan, A.L.; Wang, W.D.; Wang, B.Q.; Wang, X.C.; Cheng, J.P. Core-shell structured Co3O4@NiCo2O4 nanowires on nickel foam for supercapacitors. J. Electroanal. Chem. 2022, 907, 116061. [Google Scholar] [CrossRef]
- Lu, Y.; Li, L.; Chen, D.; Shen, G.Z. Nanowire-assembled Co3O4@NiCo2O4 architectures for high performance all-solid-state asymmetric supercapacitors. J. Mater. Chem. A 2017, 47, 6437–6445. [Google Scholar] [CrossRef]
- Wang, Y.H.; Che, P.X.; Du, X.Q.; Zhang, X.S. Three-dimensional Co3O4@NiCo2O4 nanoarrays with different morphologies as electrocatalysts for oxygen evolution reaction. Int. J. Hydrogen Energy 2020, 45, 28598–28606. [Google Scholar] [CrossRef]
- Mendoza, R.; Oliva, J.; Rodriguez-Gonzalez, V. Effect of the micro-, meso- and macropores on the electrochemical performance of supercapacitors: A review. Int. J. Energy Res. 2022, 46, 6989–7020. [Google Scholar] [CrossRef]
- Perez-Gonzalez, R.; Cherepanov, S.; Rodriguez-Gonzalez, V.; Mtz-Enriquez, A.I.; Padmasree, K.P.; Zakhidov, A.; Oliva, J. Using Ca2.9Nd0.1Co4O9+δperovskites to convert a flexible carbon nanotube based supercapacitor to a battery-like device. Electrochim. Acta 2020, 355, 136768. [Google Scholar] [CrossRef]
- Xu, Y.N.; Ding, Q.; Li, L.; Xie, Z.J.; Jiang, G.X. Facile fabrication of porous Co3O4 nanowires for high performance supercapacitors. New J. Chem. 2021, 42, 20069–20074. [Google Scholar] [CrossRef]
- Kang, M.; Zhou, H.; Wen, P.S.; Zhao, N. Highly Hierarchical Porous Ultrathin Co3O4 Nanosheets@Ni Foam for High-Performance Supercapacitors. ACS Appl. Energy Mater. 2021, 4, 1619–1627. [Google Scholar] [CrossRef]
- Wei, G.; Yan, L.Q.; Huang, H.F.; Yan, F.X.; Liang, X.Q.; Xu, S.K.; Lan, Q.; Zhou, W.Z.; Guo, J. The hetero-structured nanoarray construction of Co3O4 nanowires anchored on nanoflakes as a high-performance electrode for supercapacitors. Appl. Surf. Sci. 2021, 538, 147932. [Google Scholar] [CrossRef]
- Guo, W.; Lian, X.L.; Tian, Y.M.; Yang, T.; Wang, S. Facile fabrication 1D/2D/3D Co3O4 nanostructure in hydrothermal synthesis for enhanced supercapacitor performance. J. Energy Storage 2021, 38, 102586–102592. [Google Scholar] [CrossRef]
- Santos, S.; Babu, R.S.; Lessa, T.S.; Samyn, L.M.; Vinodh, R.; Vivekananth, R.; de Barros, A.L.F. Pyrolysis-assisted synthesis of two-dimensional graphitic carbon nitride nanosheets embedded with transition metal oxide (Ni or Fe) for high-performance asymmetric supercapacitors. J. Ind. Eng. Chem. 2024, 133, 410–418. [Google Scholar] [CrossRef]
- Babu, R.S.; Vinodh, R.; Barros, A.L.F.; Samyn, L.M.; Prasanna, K.; Maier, M.A.; Alves, C.H.F.; Kim, H.-J. Asymmetric supercapacitor based on carbon nanofibers as the anode and two-dimensional copper cobalt oxide nanosheets as the cathode. Chem. Eng. J. 2019, 366, 390–403. [Google Scholar] [CrossRef]
- Zhou, J.; Liu, B.B.; Zheng, H.; Ma, W.Q.; Li, Q.; Xu, C.X. One-step construction of strongly coupled Co3V2O8/Co3O4/MXene heterostructure via in-situ Co-F bonds for high performance all-solid-state asymmetric supercapacitors. Rare Met. 2024, 43, 682–691. [Google Scholar] [CrossRef]
- Yan, S.; Xu, L.; Jiang, J.; Xiao, H.P.; Li, X.H. An extra-long-life supercapacitor based on Co3O4/NiCo2O4/NiO/C&S composite by decomposition of Co/Ni-based coordination complex. J. Alloys Compd. 2018, 764, 684–690. [Google Scholar]
- Paliwal, M.K.; Meher, S.K. Co3O4/NiCo2O4 Perforated Nanosheets for High-Energy-Density All-Solid-State Asymmetric Supercapacitors with Extended Cyclic Stability. ACS Appl. Nano Mater. 2020, 3, 4241–4252. [Google Scholar] [CrossRef]
- Wang, X.H.; Fang, Y.; Shi, B.; Huang, F.F.; Rong, F.F.; Que, R.H.; Shao, M.W. Fabrication of Isomorphous Co3O4@Co3O4 Hierarchical Core-Shell Nanoneedles for High-Performance Supercapacitors. Chem. Sel. 2017, 2, 9267–9276. [Google Scholar]
- Lian, X.J.; Guo, W.; Wu, Y.L.; Tian, Y.M.; Wang, S. The structure-stabilized Co3O4@Co9S8 core-shell nanorods synthesized by in-situ sulfuration of Co3O4 for high-performance supercapacitors. J. Alloys Compd. 2020, 865, 158296–158304. [Google Scholar] [CrossRef]
- Mendoza, R.; Balderas-Soto, M.; Suarez, R.G.; Zamora, J.; Mtz-Enriquez, A.I.; Zakhidov, A.; Oliva, J. Role of the MnCoGe alloys to enhance the capacitance of flexible supercapacitors made with electrodes of recycled aluminum and carbon nanotubes. Synth. Met. 2024, 306, 117654. [Google Scholar] [CrossRef]
- Mendoza, R.; Al-Sardar, M.; Oliva, A.I.; Robledo-Trujillo, G.; Rodriguez-Gonzalez, V.; Zakhidov, A.; Oliv, J. Improving the electrochemical performance of flexible carbon nanotubes based supercapacitors by depositing Ni@TiO2:W nanoparticles on their anodes. J. Phys. Chem. Solids 2021, 155, 110128. [Google Scholar] [CrossRef]
- Paliwal, M.K.; Meher, S.K. Porous Co3O4 Nanoarrays as a Novel Positive Electrode Material for Co3O4||Bi2O3 Asymmetric Supercapacitors. ACS Appl. Nano Mater. 2019, 2, 5573–5586. [Google Scholar] [CrossRef]
- Chu, X.F.; Wang, C.; Zhou, L.; Yan, X.Z.; Chi, Y.D.; Yang, X.T. Designed formation of Co3O4@NiCo2O4 sheets-in-cage nanostructure as high-performance anode material for lithium-ion batteries. RSC Adv. 2018, 8, 39879–39883. [Google Scholar] [CrossRef] [PubMed]
- Tao, K.; Yang, Y.J.; Yang, C.; Ma, Q.X.; Han, L. Construction of NiCo2O4 nanosheet-decorated leaf-like Co3O4 nanoarrays from metal–organic framework for high-performance hybrid supercapacitors. Dalton Trans. 2019, 37, 2907–2913. [Google Scholar] [CrossRef] [PubMed]
- Wu, X.; Han, Z.C.; Zheng, X.; Yao, S.Y.; Yang, X.; Zhai, T.Y. Core-shell structured Co3O4@NiCo2O4 electrodes grown on flexible carbon fibers with superior electrochemical properties. Nano Energy 2016, 11, 5298–5307. [Google Scholar]
- Luo, W.T.; Wang, X.Q.; Li, J.Y.; Wang, Y.Q.; Zhang, Y.J.; Meng, F.B. Study on morphology regulation and properties of NiCo2O4@Co3O4 nanocomposites: A facile strategy to obtain high-performance electrode materials. Colloid Surface A 2023, 670, 131560–131568. [Google Scholar] [CrossRef]
- Xu, K.B.; Yang, X.J.; Yang, J.M.; Hu, J.Q. Synthesis of hierarchical Co3O4@NiCo2O4 core-shell nanosheets as electrode materials for supercapacitor application. J. Alloys Compd. 2017, 700, 247–251. [Google Scholar] [CrossRef]
- Shi, Z.T.; Sun, G.; Yuan, R.W.; Chen, W.X.; Wang, Z.; Zhang, L.; Zhan, K.; Zhu, M.; Yang, J.H.; Zhao, B. Scalable fabrication of NiCo2O4/reduced graphene oxide composites by ultrasonic spray as binder-free electrodes for supercapacitors with ultralong lifetime. J. Mater. Sci. Technol. 2022, 99, 260–269. [Google Scholar] [CrossRef]
- Zhang, N.; Su, C.Y.; Chen, J.L. Recent progress of transition metal-based biomass-derived carbon composites for supercapacitor. Rare Met. 2023, 42, 769–796. [Google Scholar] [CrossRef]
- Chen, D.Z.; Pang, D.; Zhang, S.P.; Song, H.O.; Zhu, W.Q.; Zhu, J.W. Synergistic coupling of NiCo2O4 nanorods onto porous Co3O4 nanosheet surface for tri-functional glucose, hydrogen-peroxide sensors and supercapacitor. Electrochim. Acta 2019, 330, 135326–135332. [Google Scholar] [CrossRef]
- Zhang, G.H.; Wang, T.H.; Yu, X.Z.; Zhang, H.N.; Duan, H.G.; Lu, B.G. Nanoforest of hierarchical Co3O4@NiCo2O4 nanowire arrays for high-performance supercapacitors. Nano Energy 2013, 2, 586–594. [Google Scholar] [CrossRef]
- Wang, Y.; Zhang, M.M.; Li, Y.; Ma, T.J.; Liu, H.; Pan, D.H.; Wang, X.Y.; Wang, A. Rational design 3D nitrogen doped graphene supported spatial crosslinked Co3O4@NiCo2O4 on nickel foam for binder-free supercapacitor electrodes. Electrochim. Acta 2018, 29, 12–20. [Google Scholar] [CrossRef]
- Yu, D.B.; Wu, B.; Ge, L.; Wu, L.; Wang, H.T.; Xu, T.W. Decorating nanoporous ZIF-67-derived NiCo2O4 shells on a Co3O4 nanowire array core for battery-type electrodes with enhanced energy storage performance. J. Mater. Chem. A 2016, 28, 4286–4293. [Google Scholar] [CrossRef]
- Zan, T.; Li, S.Q.; Chen, P.; Dong, K.Z.; Wu, Q.S.; Wu, T. Mesoporous Cubic Nanocages Assembled by Coupled Monolayers with 100% Theoretical Capacity and Robust Cycling. ACS Cent. Sci. 2024, 10, 1283–1294. [Google Scholar] [CrossRef] [PubMed]
- Huai, X.Y.; Liu, J.X.; Wu, X. Cobalt-doped NiMoO4 nanosheet for high-performance flexible supercapacitor. Chin. J. Struct. Chem. 2023, 42, 100158. [Google Scholar] [CrossRef]
- Bu, N.; Xiang, J.; Loy, S.; Yang, W.D.; Di, Y.F.; Zhao, R.D.; Wu, F.F.; Ma, D.M.; Li, M.T.; Li, J. Preparation of three-dimensional Co3O4@NiMoO4 nanorods as electrode materials for supercapacitors. Mater. Chem. Phys. 2022, 288, 126419–126427. [Google Scholar] [CrossRef]
- Dong, T.; Li, M.; Wang, P.; Yang, P. Synthesis of hierarchical tube-like yolk-shell Co3O4@NiMoO4 for enhanced supercapacitor performance. Int. J. Hydrogen Energy 2018, 43, 14569–14577. [Google Scholar] [CrossRef]
- Li, Y.H.; Zhang, Y.F.; Li, Y.J.; Wang, Z.Y.; Fu, Y.H.; Zhang, X.N.; Chen, Y.H.; Zhang, H.Z.; Li, X.D. Unveiling the dynamic capacitive storage mechanism of Co3O4 @NiCo2O4 hybrid nanoelectrodes for supercapacitor applications. Electrochim. Acta 2014, 145, 177–184. [Google Scholar] [CrossRef]
- Gao, X.; Zhang, Y.X.; Huang, M.; Li, F.; Hua, C.; Yu, L.; Zheng, H.L. Facile synthesis of Co3O4@NiCo2O4 core–shell arrays on Ni foam for advanced binder-free supercapacitor electrodes. Ceram. Int. 2014, 40, 15641–15646. [Google Scholar] [CrossRef]
- Liu, T.J.; Kong, H.; Xiong, J.P.; Wei, G.; Su, Z.Q. A MOF-derived hollow Co3O4/NiCo2O4 nanohybrid: A novel anode for aqueous lithium ion batteries with high energy density and a wide electrochemical window. Nanoscale 2022, 45, 22–32. [Google Scholar]
- Chen, X.B.; Liu, X.; Liu, Y.X.; Zhu, Y.M.; Zhuang, G.C.; Zheng, W.; Cai, Z.Y.; Yang, P.Z. Advanced binder-free electrodes based on CoMn2O4@Co3O4 core/shell nanostructures for high-performance supercapacitors. RSC Adv. 2018, 8, 31594–31602. [Google Scholar] [CrossRef]
- Lu, Y.; Deng, B.L.; Wang, J.X.; Tu, Z.K.; Lu, J.M.; Xiao, X.D.; Xu, G. Nanostructured Co3O4 for achieving high-performance supercapacitor. Mater. Lett. 2020, 22, 129101–129109. [Google Scholar] [CrossRef]
- Wang, X.; Deng, C.Y.; Hong, X.D.; Dong, W.; Liang, B. Controllable synthesis of NiCo2O4, NiCo2O4/graphene composite and their electrochemical application in supercapacitors. J. Energy Storage 2022, 55, 105837–105847. [Google Scholar] [CrossRef]
- Gao, M.; Wang, W.K.; Rong, Q.; Jiang, J.; Zhang, Y.J.; Yu, H.Q. Porous ZnO-Coated Co3O4 Nanorod as a High-Energy-Density Supercapacitor Material. ACS Appl. Mater. Interfaces 2018, 10, 3163–23173. [Google Scholar] [CrossRef] [PubMed]
- Liu, G.; Ma, L.; Liu, Q.M. The preparation of Co3O4@MnO2 hierarchical nano-sheets for high-output potential supercapacitors. Electrochim. Acta 2020, 364, 137265–137273. [Google Scholar] [CrossRef]
- Liu, X.X.; Wu, R.; Wang, Y.; Xiao, S.H.; He, Q.; Niu, X.B.; Blackwood, D.J.; Chen, J.S. Self-supported core/shell Co3O4@Ni3S2 nanowires for high-performance supercapacitors. Electrochim. Acta 2019, 311, 221–229. [Google Scholar] [CrossRef]
- Zhou, J.J.; Li, Q.; Chen, C.; Li, Y.L.; Tao, K.; Han, L. Co3O4@CoNi-LDH core/shell nanosheet arrays for high-performance battery-type supercapacitors. Chem. Eng. J. 2018, 350, 551–558. [Google Scholar] [CrossRef]
- Jiang, M.; Abushrenta, N.; Wu, X.C.; Li, Y.P.; Sun, X.M. Investigation for the synthesis of hierarchical Co3O4@MnO2 nanoarrays materials and their application for supercapacitor. J. Mater. Sci. Mater. Electron. J. 2016, 28, 1281–1287. [Google Scholar] [CrossRef]
- Yan, Y.Q.; Ding, S.X.; Zhou, X.Y.; Hu, Q.; Feng, Y.; Zheng, Q.J.; Lin, D.M.; Wei, X.J. Controllable preparation of core-shell Co3O4@CoNiS nanowires for ultra-long life asymmetric supercapacitors. J. Alloys Compd. 2021, 867, 158941–158951. [Google Scholar] [CrossRef]
- Meng, S.C.; Wang, Y.T.; He, J.J.; Quan, W.; Gao, M.H.; Jiang, D.L.; Chen, M. Nanowire-assembled Co3O4@NiS core-shell hierarchical with enhanced electrochemical performance for asymmetric supercapacitors. Nanotechnology 2020, 31, 5403–5411. [Google Scholar] [CrossRef]
Disclaimer/Publisher’s Note: The statements, opinions and data contained in all publications are solely those of the individual author(s) and contributor(s) and not of MDPI and/or the editor(s). MDPI and/or the editor(s) disclaim responsibility for any injury to people or property resulting from any ideas, methods, instructions or products referred to in the content. |
© 2024 by the authors. Licensee MDPI, Basel, Switzerland. This article is an open access article distributed under the terms and conditions of the Creative Commons Attribution (CC BY) license (https://creativecommons.org/licenses/by/4.0/).