Honeycomb Cell Structures Formed in Drop-Casting CNT Films for Highly Efficient Solar Absorber Applications †
Abstract
1. Introduction
2. Methods
2.1. Materials
2.2. Preparation of MWCNTs Absorber
2.3. Optical Measurements
2.4. Thermal Measurements
3. Results and Discussion
3.1. Cell Area Analysis
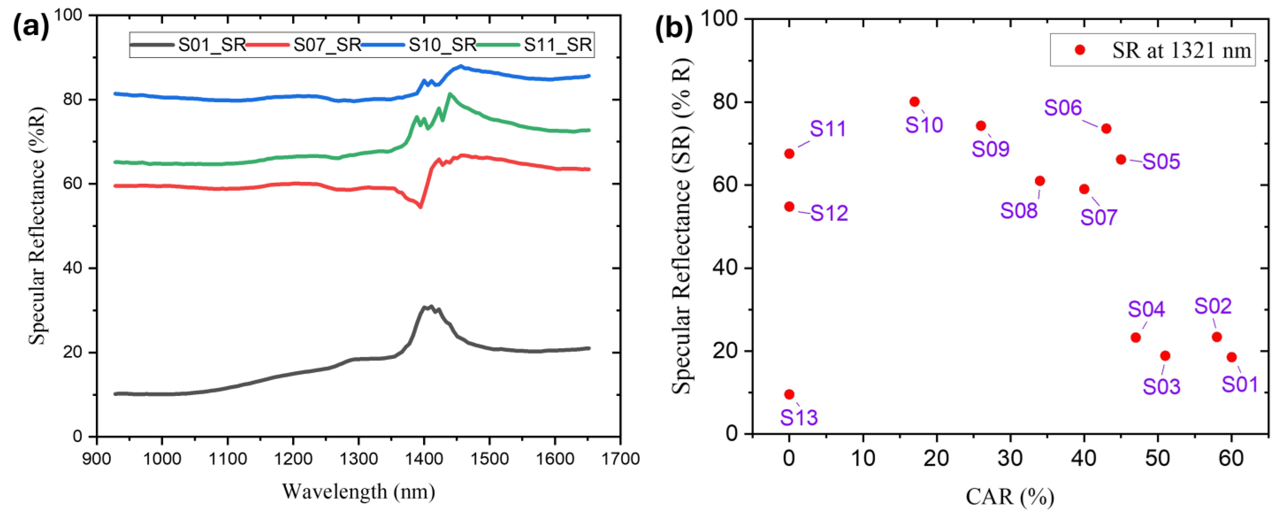
3.2. Optical Analysis
3.3. Thermal Analysis
4. Conclusions
Author Contributions
Funding
Data Availability Statement
Acknowledgments
Conflicts of Interest
References
- Zhou, W.; Zhou, C.; Deng, C.; Chen, L.; Zeng, X.; Zhang, Y.; Tan, L.; Hu, B.; Guo, S.; Dong, L.; et al. High-Performance Freshwater Harvesting System by Coupling Solar Desalination and Fog Collection with Hierarchical Porous Microneedle Arrays. Adv. Funct. Mater. 2022, 32, 2113264. [Google Scholar] [CrossRef]
- Struchalin, P.G.; Kuzmenkov, D.M.; Yunin, V.S.; Wang, X.; He, Y.; Balakin, B.V. Hybrid Nanofluid in a Direct Absorption Solar Collector: Magnetite vs. Carbon Nanotubes Compete for Thermal Performance. Energies 2022, 15, 1604. [Google Scholar] [CrossRef]
- Liu, X.; Su, H.; Huang, Z.; Lin, P.; Yin, T.; Sheng, X.; Chen, Y. Biomass-Based Phase Change Material Gels Demonstrating Solar-Thermal Conversion and Thermal Energy Storage for Thermoelectric Power Generation and Personal Thermal Management. Sol. Energy 2022, 239, 307–318. [Google Scholar] [CrossRef]
- Werber, J.R.; Osuji, C.O.; Elimelech, M. Materials for Next-Generation Desalination and Water Purification Membranes. Nat. Rev. Mater. 2016, 1, 16018. [Google Scholar] [CrossRef]
- Ren, F.; Hou, J.; Shi, C.; Li, Z.; Sun, B.; Zhang, K.; Feng, Y.; Tian, W. Hydrophilicity Regulation of Carbon Nanotubes as Phase-Change Materials for Thermal Energy Storage. J. Mater. Res. Technol. 2024, 30, 1482–1489. [Google Scholar] [CrossRef]
- Zhang, J.; Wang, C.; Shi, J.; Wei, D.; Zhao, H.; Ma, C. Solar Selective Absorber for Emerging Sustainable Applications. Adv. Energy Sustain. Res. 2022, 3, 2100195. [Google Scholar] [CrossRef]
- Iijima, S. Helical Microtubules of Graphitic Carbon. Nature 1991, 354, 56–58. [Google Scholar] [CrossRef]
- Yamashita, S. Nonlinear Optics in Carbon Nanotube, Graphene, and Related 2D Materials. APL Photonics 2019, 4, 034301. [Google Scholar] [CrossRef]
- Yang, D.J.; Wang, S.G.; Zhang, Q.; Sellin, P.J.; Chen, G. Thermal and Electrical Transport in Multi-Walled Carbon Nanotubes. Phys. Lett. Sect. A Gen. At. Solid State Phys. 2004, 329, 207–213. [Google Scholar] [CrossRef]
- Salvetat, J.-P.; Bonard, J.-M.; Thomson, N.H.; Kulik, A.J.; Forró, L.; Benoit, W.; Zuppiroli, L. Mechanical Properties of Carbon Nanotubes. Appl. Phys. A 1999, 69, 255–260. [Google Scholar] [CrossRef]
- Lehman, J.; Yung, C.; Tomlin, N.; Conklin, D.; Stephens, M. Carbon Nanotube-Based Black Coatings. Appl. Phys. Rev. 2018, 5, 011103. [Google Scholar] [CrossRef]
- Mane, P.V.; Rego, R.M.; Yap, P.L.; Losic, D.; Kurkuri, M.D. Unveiling Cutting-Edge Advances in High Surface Area Porous Materials for the Efficient Removal of Toxic Metal Ions from Water. Prog. Mater. Sci. 2024, 146, 101314. [Google Scholar] [CrossRef]
- Zheng, T.; Jia, Z.; Zhan, Q.; Ling, M.; Su, Y.; Wang, B.; Zhang, C.; Wu, G. Self-Assembled Multi-Layered Hexagonal-like MWCNTs/MnF2/CoO Nanocomposite with Enhanced Electromagnetic Wave Absorption. Carbon 2022, 186, 262–272. [Google Scholar] [CrossRef]
- Kumar Sharma, A.; Kumar Jain, P.; Vyas, R.; Mathur, V.; Kumar Jain, V. Study of Thermal Stability and Dielectric Behavior of PANI/MWCNT Nanocomposite. Mater. Today Proc. 2021, 38, 1259–1262. [Google Scholar] [CrossRef]
- Vinetsky, Y.; Jambu, J.; Mandler, D.; Magdassi, S. Cnt-Based Solar Thermal Coatings: Absorptance vs. Emittance. Coatings 2020, 10, 1101. [Google Scholar] [CrossRef]
- Yang, T.; Lin, H.; Lin, K.-T.; Jia, B. Carbon-Based Absorbers for Solar Evaporation: Steam Generation and Beyond. Sustain. Mater. Technol. 2020, 25, e00182. [Google Scholar] [CrossRef]
- Jin, Y.; Zhang, T.; Zhao, J.; Zhao, Y.; Liu, C.; Song, J.; Hao, X.; Wang, J.; Jiang, K.; Fan, S.; et al. Spray Coating of a Perfect Absorber Based on Carbon Nanotube Multiscale Composites. Carbon 2021, 178, 616–624. [Google Scholar] [CrossRef]
- Duan, Y.; Weng, M.; Zhang, W.; Qian, Y.; Luo, Z.; Chen, L. Multi-Functional Carbon Nanotube Paper for Solar Water Evaporation Combined with Electricity Generation and Storage. Energy Convers. Manag. 2021, 241, 114306. [Google Scholar] [CrossRef]
- Liu, X.; Liu, Z.; Devadutta Mishra, D.; Chen, Z.; Zhao, J.; Hu, C. Evaporation Rate Far beyond the Input Solar Energy Limit Enabled by Introducing Convective Flow. Chem. Eng. J. 2022, 429, 132335. [Google Scholar] [CrossRef]
- Pan, R.J.; Wu, J.; Qu, J.; Zhang, T.; Jiao, F.Z.; Zhao, M.; Han, M.Y.; Li, X.; Yu, Z.Z. Peak-like Three-Dimensional CoFe2O4/Carbon Nanotube Decorated Bamboo Fabrics for Simultaneous Solar-Thermal Evaporation of Water and Photocatalytic Degradation of Bisphenol A. J. Mater. Sci. Technol. 2024, 179, 40–49. [Google Scholar] [CrossRef]
- Yu, M.; Liao, M.; Wen, M.; Gao, J.; Wang, H.; Wang, Y.; Hong, X.; Qi, J.; Fan, Y.; Lin, Z.; et al. Preparation of Ultra-Black Film with Good Resistance to Wiping Based on a Typical Forest Structure. Prog. Org. Coat. 2024, 195, 108638. [Google Scholar] [CrossRef]
- Martinez, P.M.; Pozdin, V.A.; Papadimitratos, A.; Holmes, W.; Hassanipour, F.; Zakhidov, A.A. Dual Use of Carbon Nanotube Selective Coatings in Evacuated Tube Solar Collectors. Carbon 2017, 119, 133–141. [Google Scholar] [CrossRef]
- Udorn, J.; Hatta, A.; Furuta, H. Carbon Nanotube (CNT) Honeycomb Cell Area-Dependent Optical Reflectance. Nanomaterials 2016, 6, 202. [Google Scholar] [CrossRef]
- Hong, S.; Shi, Y.; Li, R.; Zhang, C.; Jin, Y.; Wang, P. Nature-Inspired, 3D Origami Solar Steam Generator toward Near Full Utilization of Solar Energy. ACS Appl. Mater. Interfaces 2018, 10, 28517–28524. [Google Scholar] [CrossRef]
- Kiani, F.; Sterl, F.; Tsoulos, T.V.; Weber, K.; Giessen, H.; Tagliabue, G. Ultra-Broadband and Omnidirectional Perfect Absorber Based on Copper Nanowire/Carbon Nanotube Hierarchical Structure. ACS Photonics 2020, 7, 366–374. [Google Scholar] [CrossRef]
- Ghai, V.; Singh, H.; Agnihotri, P.K. Structure Dependent Broadband Optical Absorption in Carbon Nanotubes. ACS Appl. Opt. Mater. 2023, 1, 252–260. [Google Scholar] [CrossRef]
- Pander, A.; Onishi, T.; Hatta, A.; Furuta, H. Fabrication of Self-Assembling Carbon Nanotube Forest Fishnet Metamaterials. Nanomaterials 2022, 12, 464. [Google Scholar] [CrossRef]
- Huang, Y.; Zhu, L.; Huang, Q.; He, Z.C. Effect of Carbon Nanotubes and TiN Nanoparticles on Light Absorption Property of Nanostructured Carbon-Based Coatings Fabricated by High-Voltage Electrostatic Spraying Technique. Opt. Mater. 2024, 150, 115172. [Google Scholar] [CrossRef]
- Jiang, J.; Jiang, H.; Xu, Y.; Chen, M.; Ai, L. Janus Co@C/NCNT Photothermal Membrane with Multiple Optical Absorption for Highly Efficient Solar Water Evaporation and Wastewater Purification. Colloids Surf. A Physicochem. Eng. Asp. 2022, 647, 128960. [Google Scholar] [CrossRef]
- He, M.; Liu, H.; Wang, L.; Qin, X.; Yu, J. One-Step Fabrication of a Stretchable and Anti-Oil-Fouling Nanofiber Membrane for Solar Steam Generation. Mater. Chem. Front. 2021, 5, 3673–3680. [Google Scholar] [CrossRef]
- Jin, M.; Wu, Z.; Guan, F.; Zhang, D.; Wang, B.; Sheng, N.; Qu, X.; Deng, L.; Chen, S.; Chen, Y.; et al. Hierarchically Designed Three-Dimensional Composite Structure on a Cellulose-Based Solar Steam Generator. ACS Appl. Mater. Interfaces 2022, 14, 12284–12294. [Google Scholar] [CrossRef]
- Li, Q.; Zhang, S.; Wei, N.; Xu, R.; Li, X.; Gong, L.; Cui, H. Porous Ni/CNTs Composite Membrane as Solar Absorber for Highly Efficient Solar Steam Generation. Sol. Energy Mater. Sol. Cells 2022, 243, 111815. [Google Scholar] [CrossRef]
- Zhang, S.; Ma, H.; Guo, D.; Guo, P.; Wang, J.; Liu, M.; Wu, S.; Bao, C. Multiscale Preparation of Graphene Oxide/Carbon Nanotube-Based Membrane Evaporators by a Spray Method for Efficient Solar Steam Generation. ACS Appl. Nano Mater. 2022, 5, 7198–7207. [Google Scholar] [CrossRef]
- Wang, D.; Lin, X.; Wu, Y.; Li, L.; Feng, W.; Huang, Y.; Yang, Y. Hanging Photothermal Fabric Based on Polyaniline/Carbon Nanotubes for Efficient Solar Water Evaporation. ACS Omega 2023, 8, 44659–44666. [Google Scholar] [CrossRef]
- Saleh, T.; Moghaddam, M.V.; Mohamed Ali, M.S.; Dahmardeh, M.; Foell, C.A.; Nojeh, A.; Takahata, K. Transforming Carbon Nanotube Forest from Darkest Absorber to Reflective Mirror. Appl. Phys. Lett. 2012, 101, 061913. [Google Scholar] [CrossRef]
- Han, Z.; Jiao, Z.; Niu, S.; Ren, L. Ascendant Bioinspired Antireflective Materials: Opportunities and Challenges Coexist. Prog. Mater. Sci. 2019, 103, 1–68. [Google Scholar] [CrossRef]
- Qiu, Y.; Lee, M.; Chen, J.; Zhang, Q. Effect of Light Intensity on Solar-Driven Interfacial Steam Generation. Nanoscale 2021, 13, 20387–20395. [Google Scholar] [CrossRef]
- Islam, S.; Furuta, H. Recent Development of Carbon-Nanotube-Based Solar Heat Absorption Devices and Their Application. Nanomaterials 2022, 12, 3871. [Google Scholar] [CrossRef]
- Zhang, M.; Inoue, S.; Matsumura, Y. Difference in Gas-Sensing Behavior of Multi-Walled Carbon Nanotube-Paper-Based Gas Sensor to Polar and Non-Polar Organic Solvents. Chem. Phys. Lett. 2022, 798, 139596. [Google Scholar] [CrossRef]
- Łojkowski, M.; Chlanda, A.; Choińska, E.; Swieszkowski, W. Water Vapor Induced Self-Assembly of Islands/Honeycomb Structure by Secondary Phase Separation in Polystyrene Solution with Bimodal Molecular Weight Distribution. Sci. Rep. 2021, 11, 13299. [Google Scholar] [CrossRef]
- Maroto, J.A.; Pérez-Mũuzuri, V.; Romero-Cano, M.S. Introductory Analysis of Bénard-Marangoni Convection. Eur. J. Phys. 2007, 28, 311–320. [Google Scholar] [CrossRef]
- Futaba, D.N.; Hata, K.; Yamada, T.; Hiraoka, T.; Hayamizu, Y.; Kakudate, Y.; Tanaike, O.; Hatori, H.; Yumura, M.; Iijima, S. Shape-Engineerable and Highly Densely Packed Single-Walled Carbon Nanotubes and Their Application as Super-Capacitor Electrodes. Nat. Mater. 2006, 5, 987–994. [Google Scholar] [CrossRef]
- Wood, B.D.; Dyer, J.S.; Thurgood, V.A.; Tomlin, N.A.; Lehman, J.H.; Shen, T.-C. Optical Reflection and Absorption of Carbon Nanotube Forest Films on Substrates. J. Appl. Phys. 2015, 118, 013106. [Google Scholar] [CrossRef]
- Nomura, K.; Sawada, Y.; Nishimori, H.; Hatta, A.; Furuta, H. Basic Research on CNT Structures for the Solar Water Heater Applications. In JSAP Annual Meetings Extended Abstracts; JSAP: Tokyo, Japan, 2021. [Google Scholar] [CrossRef]
- Kumanek, B.; Janas, D. Thermal Conductivity of Carbon Nanotube Networks: A Review. J. Mater. Sci. 2019, 54, 7397–7427. [Google Scholar] [CrossRef]
- Herrera, V. Reconciling Global Aspirations and Local Realities: Challenges Facing the Sustainable Development Goals for Water and Sanitation. World Dev. 2019, 118, 106–117. [Google Scholar] [CrossRef]
- Manoj Kumar, N.; Chopra, S.S.; Chand, A.A.; Elavarasan, R.M.; Shafiullah, G.M. Hybrid Renewable Energy Microgrid for a Residential Community: A Techno-Economic and Environmental Perspective in the Context of the SDG7. Sustainability 2020, 12, 3944. [Google Scholar] [CrossRef]










Disclaimer/Publisher’s Note: The statements, opinions and data contained in all publications are solely those of the individual author(s) and contributor(s) and not of MDPI and/or the editor(s). MDPI and/or the editor(s) disclaim responsibility for any injury to people or property resulting from any ideas, methods, instructions or products referred to in the content. |
© 2024 by the authors. Licensee MDPI, Basel, Switzerland. This article is an open access article distributed under the terms and conditions of the Creative Commons Attribution (CC BY) license (https://creativecommons.org/licenses/by/4.0/).
Share and Cite
Islam, S.; Furuta, H. Honeycomb Cell Structures Formed in Drop-Casting CNT Films for Highly Efficient Solar Absorber Applications. Nanomaterials 2024, 14, 1633. https://doi.org/10.3390/nano14201633
Islam S, Furuta H. Honeycomb Cell Structures Formed in Drop-Casting CNT Films for Highly Efficient Solar Absorber Applications. Nanomaterials. 2024; 14(20):1633. https://doi.org/10.3390/nano14201633
Chicago/Turabian StyleIslam, Saiful, and Hiroshi Furuta. 2024. "Honeycomb Cell Structures Formed in Drop-Casting CNT Films for Highly Efficient Solar Absorber Applications" Nanomaterials 14, no. 20: 1633. https://doi.org/10.3390/nano14201633
APA StyleIslam, S., & Furuta, H. (2024). Honeycomb Cell Structures Formed in Drop-Casting CNT Films for Highly Efficient Solar Absorber Applications. Nanomaterials, 14(20), 1633. https://doi.org/10.3390/nano14201633
