The Light Wavelength, Intensity, and Biasing Voltage Dependency of the Dark and Photocurrent Densities of a Solution-Processed P3HT:PC61BM Photodetector for Sensing Applications
Abstract
1. Introduction
2. Device Fabrication and Characterization
3. Results and Discussions
3.1. Effect of LED Wavelength on OPD J–V Characteristics
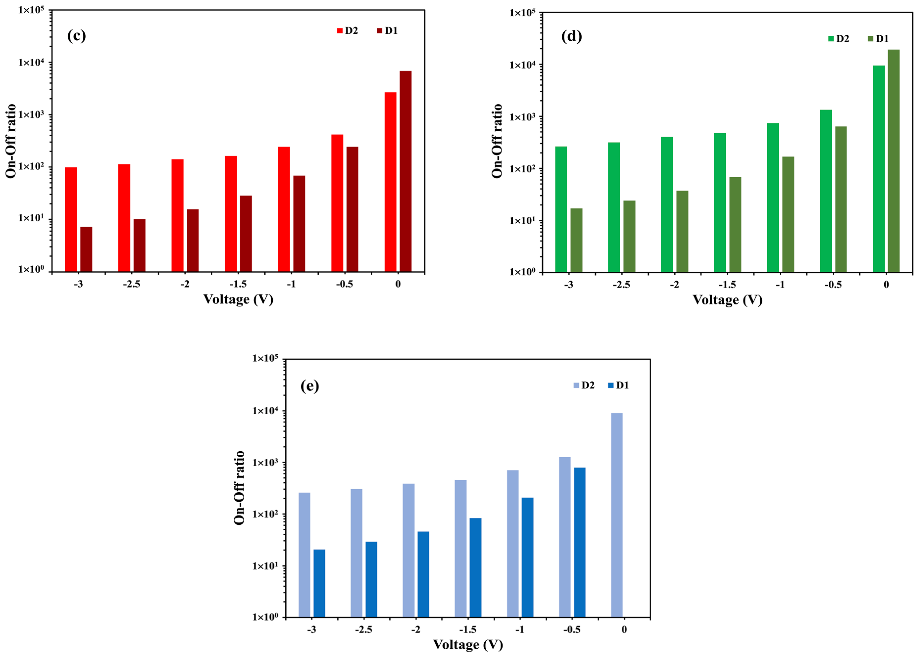
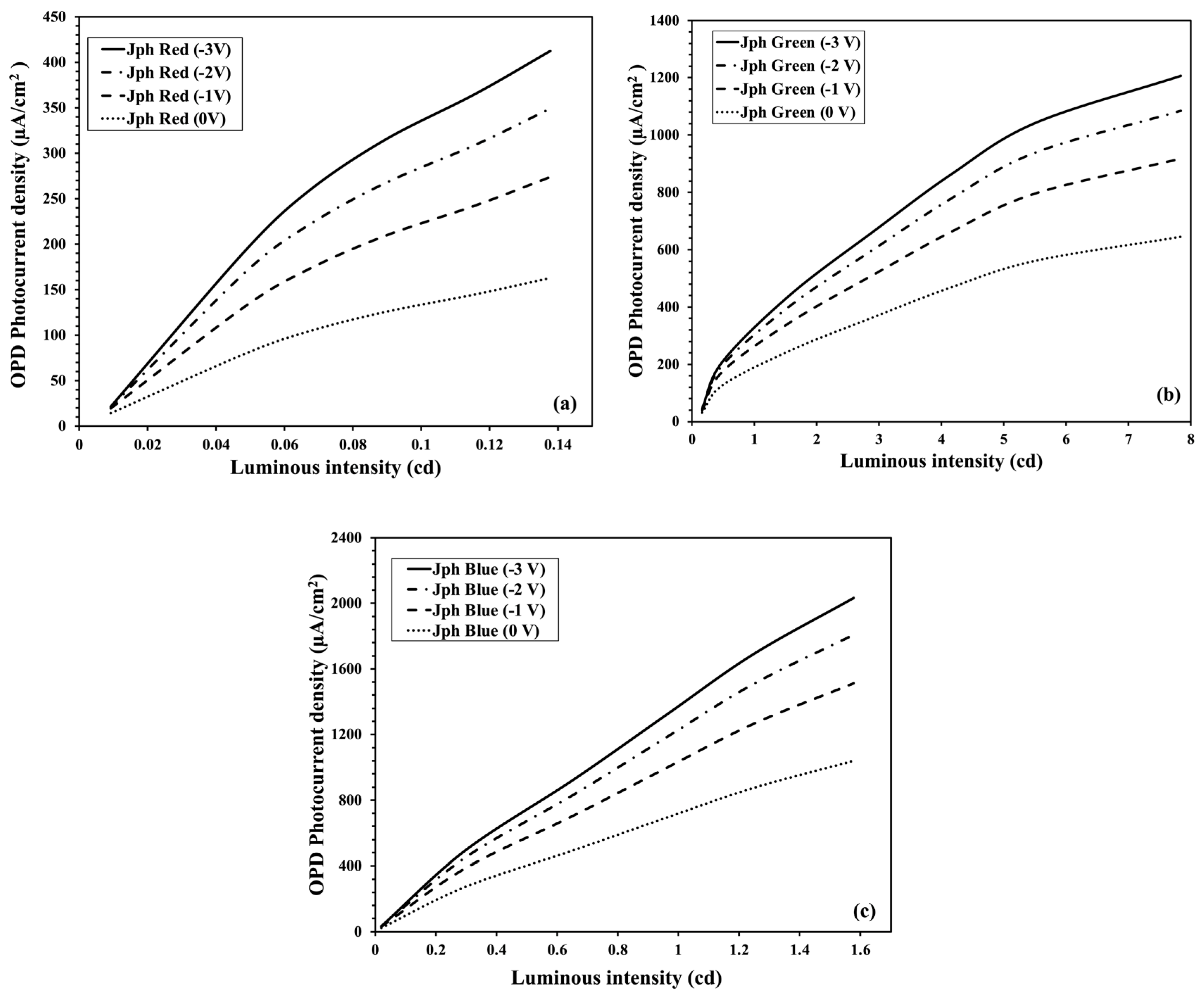
3.2. Effect of LED Intensity and OPD Biasing
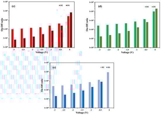
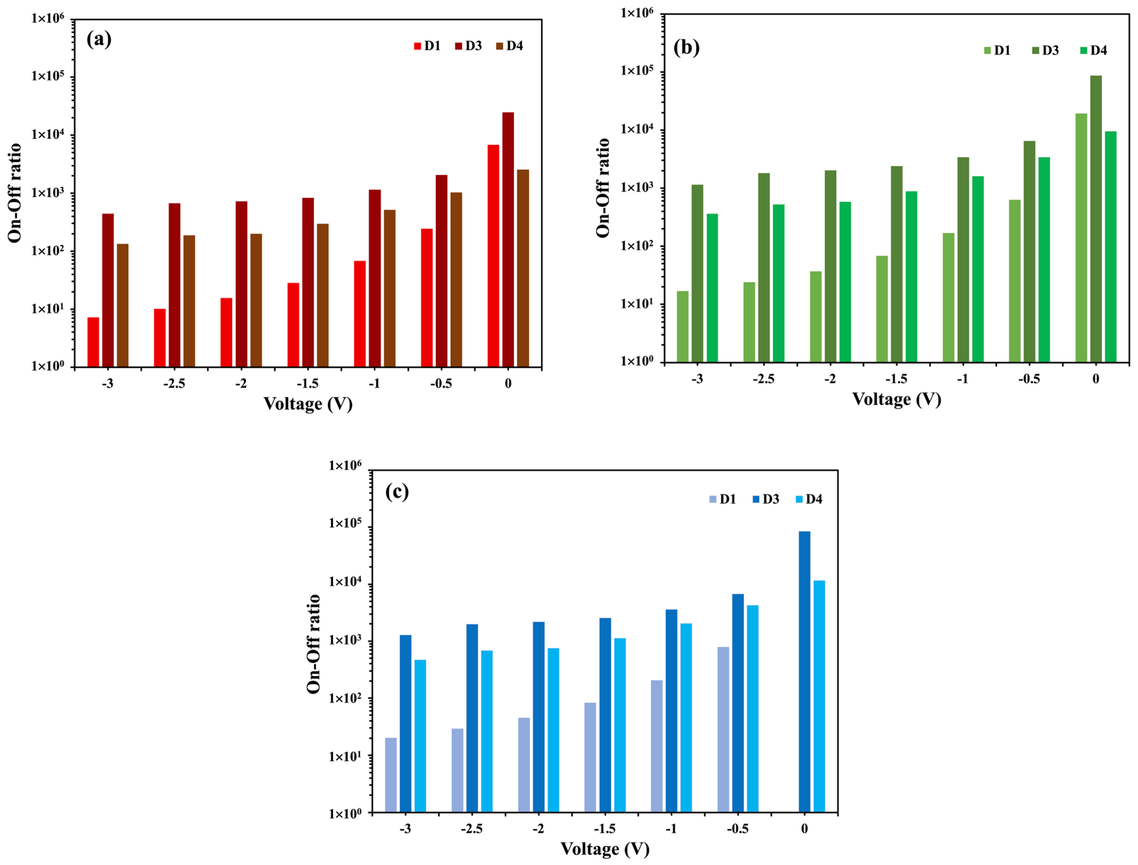
3.3. Effect of OPD Design
3.3.1. OPD Inner Periphery Shape
3.3.2. Distance from LED to OPD
3.3.3. OPD Area
4. Conclusions
Author Contributions
Funding
Data Availability Statement
Acknowledgments
Conflicts of Interest
References
- Sekitani, T.; Someya, T. Stretchable, Large-area Organic Electronics. Adv. Mater. 2010, 22, 2228–2246. [Google Scholar] [CrossRef] [PubMed]
- Nie, R.; Wang, Y.; Deng, X. Aligned Nanofibers as an Interfacial Layer for Achieving High-Detectivity and Fast-Response Organic Photodetectors. ACS Appl. Mater. Interfaces 2014, 6, 7032–7037. [Google Scholar] [CrossRef] [PubMed]
- Jansen-van Vuuren, R.D.; Armin, A.; Pandey, A.K.; Burn, P.L.; Meredith, P. Organic Photodiodes: The Future of Full Color Detection and Image Sensing. Adv. Mater. 2016, 28, 4766–4802. [Google Scholar] [CrossRef] [PubMed]
- Rim, Y.S.; Bae, S.-H.; Chen, H.; De Marco, N.; Yang, Y. Recent Progress in Materials and Devices toward Printable and Flexible Sensor. Adv. Mater. 2016, 28, 4415–4440. [Google Scholar] [CrossRef] [PubMed]
- Baeg, K.-J.; Binda, M.; Natali, D.; Caironi, M.; Noh, Y.-Y. Organic Light Detectors: Photodiodes and Phototransistors. Adv. Mater. 2013, 25, 4267–4295. [Google Scholar] [CrossRef]
- Simone, G.; Rasi, D.D.C.; de Vries, X.; Heintges, G.H.L.; Meskers, S.C.J.; Janssen, R.A.J.; Gelinck, G.H. Near-Infrared Tandem Organic Photodiodes for Future Application in Artificial Retinal Implants. Adv. Mater. 2018, 30, 1804678. [Google Scholar] [CrossRef]
- Simone, G.; Dyson, M.J.; Meskers, S.C.J.; Janssen, R.A.J.; Gelinck, G.H. Organic Photodetectors and their Application in Large Area and Flexible Image Sensors: The Role of Dark Current. Adv. Funct. Mater. 2020, 30, 1904205. [Google Scholar] [CrossRef]
- Khan, Y.; Ostfeld, A.E.; Lochner, C.M.; Pierre, A.; Arias, A.C. Monitoring of Vital Signs with Flexible and Wearable Medical Devices. Adv. Mater. 2016, 28, 4373–4395. [Google Scholar] [CrossRef]
- Clark, J.; Lanzani, G. Organic photonics for communications. Nat. Photonics 2010, 4, 438–446. [Google Scholar] [CrossRef]
- Lee, H.; Kim, E.; Lee, Y.; Kim, H.; Lee, J.; Kim, M.; Yoo, H.J.; Yoo, S. Toward all-day wearable health monitoring: An ultralow-power, reflective organic pulse oximetry sensing patch. Sci. Adv. 2018, 4, eaas9530. [Google Scholar] [CrossRef]
- Zalar, P.; Matsuhisa, N.; Suzuki, T.; Enomoto, S.; Koizumi, M.; Yokota, T.; Sekino, M.; Someya, T. A Monolithically Processed Rectifying Pixel for High-Resolution Organic Imagers. Adv. Electron. Mater. 2018, 4, 1700601. [Google Scholar] [CrossRef]
- Gong, X.; Tong, M.; Xia, Y.; Cai, W.; Moon, J.S.; Cao, Y.; Yu, G.; Shieh, C.-L.; Nilsson, B.; Heeger, A.J. High-detectivity polymer photodetectors with spectral response from 300 nm to 1450 nm. Science 2009, 325, 1665–1667. [Google Scholar] [CrossRef] [PubMed]
- Chen, E.-C.; Chang, C.-Y.; Shieh, J.-T.; Tseng, S.-R.; Meng, H.-F.; Hsu, C.-S.; Horng, S.-F. Polymer photodetector with voltage-adjustable photocurrent spectrum. Appl. Phys. Lett. 2010, 96, 043507. [Google Scholar] [CrossRef]
- Keivanidis, P.E.; Ho, P.K.H.; Friend, R.H. Greenham, The Dependence of Device Dark Current on the Active-Layer Morphology of Solution-Processed Organic Photodetectors. Adv. Funct. Mater. 2010, 20, 3895–3903. [Google Scholar] [CrossRef]
- Liu, X.; Wang, H.; Yang, T.; Zhang, W.; Gong, X. Solution-Processed Ultrasensitive Polymer Photodetectors with High External Quantum Efficiency and Detectivity. ACS Appl. Mater. Interfaces 2012, 4, 3701–3705. [Google Scholar] [CrossRef] [PubMed]
- Shafian, S.; Jang, Y.; Kim, K. Solution processed organic photodetector utilizing an interdiffused polymer/fullerene bilayer. Opt. Express. 2015, 23, A936–A946. [Google Scholar] [CrossRef]
- Ramuz, M.; Burgi, L.; Winnewisser, C.; Seitz, P. High sensitivity organic photodiodes with low dark currents and increased lifetimes. Org. Electron. 2008, 9, 369–376. [Google Scholar] [CrossRef]
- Saha, P.; Karmakar, P.; Deb, D. Modeling and simulation of P3HT and PCBM based organic optoelectronics devices. Mater. Today Proc. 2021, 43, 3438–3442. [Google Scholar] [CrossRef]
- Shuttle, C.G.; Hamilton, R.; Nelson, J.; O’Regan, B.C.; Durrant, J.R. Measurement of Charge-Density Dependence of Carrier Mobility in an Organic Semiconductor Blend. Adv. Funct. Mater. 2010, 20, 698–702. [Google Scholar] [CrossRef]
- Mullerova, J.; Kaiser, M.; Nadazdy, V.; Siffalovic, P.; Majkova, E. Optical absorption study of P3HT:PCBM blend photo-oxidation for bulk heterojunction solar cells. Sol. Energy 2016, 134, 294–301. [Google Scholar] [CrossRef]
- Ismail, Y.A.M.; Soga, T.; Jimbo, T. Effect of composition on conjugation structure and energy gap of P3HT:PCBM organic solar cell. Int. J. New. Hor. Phys. 2015, 2, 87–93. [Google Scholar]
- Xin, Y.; Wang, Z.; Xu, L.; Xu, X.; Liu, Y.; Zhang, F. UV-Ozone treatment on CS2CO3 interfacial layer for the improvement of inverted solar cell. J. Nanomater. 2013, 2013, 104825. [Google Scholar] [CrossRef]
- Zeiske, S.; Li, W.; Meredith, P.; Armin, A.; Sandberg, O.J. Light intensity dependence of the photocurrent in organic photovoltaic devices. Cell Rep. Phys. Sci. 2022, 3, 101096. [Google Scholar] [CrossRef]
- Mahapatra, A.; Anilkumar, V.; Chavan, R.D.; Yadav, P.; Prochowicz, D. Understanding the origin of light intensity and temperature dependence of photodetection properties in MAPbBr3 single-crystal-based photodetector. ACS Photonics 2023, 10, 1424–1433. [Google Scholar] [CrossRef]
- Lv, Q.; Yan, F.; Wei, X.; Wang, K. High-performance, self-driven photodetector based on graphene sandwiched GaSe/WS2 heterojunction. Adv. Opt. Mater. 2018, 6, 1700490. [Google Scholar] [CrossRef]
- Verma, S.; Yadav, R.; Pandey, A. Investigating active area dependent high performing photoresponse through thin films of Weyl Semimetal WTe2. Sci. Rep. 2023, 13, 197. [Google Scholar] [CrossRef]
- Gommans, H.H.P.; Kemerink, M.; Kramer, J.K.; Janssen, R.A.J. Field and temperature dependence of the photocurrent in polymer/fullerene bulk heterojunction solar cells. Appl. Phys. Lett. 2005, 87, 122104. [Google Scholar] [CrossRef]
- Khan, Y.; Han, D.; Ting, J.; Ahmed, M.; Nagisetty, R.; Arias, A.C. Organic Multi-Channel Optoelectronic Sensors for Wearable Health Monitoring. IEEE Access 2019, 7, 128114–128124. [Google Scholar] [CrossRef]
- Misran, M.A.B.; Bilgaiyan, A.; Hattori, R. Optical ray tracing simulation by using Monte Carlo method for reflectance-based photoplethysmography sensor in human skin and fingertip model. Comput. Exp. Res. Mater. Renew. Energy 2022, 5, 78–91. [Google Scholar] [CrossRef]
- Brownson, J.R.S. Solar Energy Conversion Systems, 1st ed.; Elsevier: Oxford, UK, 2014. [Google Scholar]
- Jeong, W.-I.; Lee, J.; Kim, J.-J. Reduction of collection efficiency of charge carriers with increasing cell size in polymer bulk heterojunction solar cells. Adv. Funct. Mater. 2011, 21, 343–347. [Google Scholar] [CrossRef]










| Illumination Condition | Current Density (A/cm2) at Different Bias Voltages (V) | ||||
|---|---|---|---|---|---|
| −3 V | −2 V | −1 V | 0 V | 1 V | |
| Dark | 5.43 × 10−6 | 3.35 × 10−6 | 1.60 × 10−6 | 6.93 × 10−8 | 6.78 × 10−4 |
| Red | 5.46 × 10−4 | 4.70 × 10−4 | 3.75 × 10−4 | 2.27 × 10−4 | 2.19 × 10−3 |
| Green | 1.43 × 10−3 | 1.31 × 10−3 | 1.13 × 10−3 | 8.17 × 10−4 | 2.06 × 10−3 |
| Blue | 2.03 × 10−3 | 1.81 × 10−3 | 1.51 × 10−3 | 1.04 × 10−3 | 1.80 × 10−3 |
| Device Label | Area (mm2) | Inner Periphery Geometry | LED to OPD Inner Periphery Distance, (l) (mm) |
|---|---|---|---|
| D1 | 16 | Round | 0.65 |
| D2 | 16 | Rectangular | 0.65 |
| D3 | 16 | No inner shape | 0 |
| D4 | 16 | Round | 1.15 |
| D5 | 32 | Round | 0.65 |
| Distance from LED to OPD, (l) (mm) | Current Density (A/cm2) for Different Illumination Conditions | |||
|---|---|---|---|---|
| Dark | Red | Blue | Green | |
| 0.00 (device D3) | 1.12 × 10−8 | 2.81 × 10−4 | 1.95 × 10−3 | 9.75 × 10−4 |
| 0.65 (device D1) | 6.93 × 10−8 | 2.27 × 10−4 | 1.04 × 10−3 | 8.17 × 10−4 |
| 1.15 (device D4) | 7.13 × 10−8 | 2.12 × 10−4 | 9.75 × 10−4 | 7.95 × 10−4 |
Disclaimer/Publisher’s Note: The statements, opinions and data contained in all publications are solely those of the individual author(s) and contributor(s) and not of MDPI and/or the editor(s). MDPI and/or the editor(s) disclaim responsibility for any injury to people or property resulting from any ideas, methods, instructions or products referred to in the content. |
© 2024 by the authors. Licensee MDPI, Basel, Switzerland. This article is an open access article distributed under the terms and conditions of the Creative Commons Attribution (CC BY) license (https://creativecommons.org/licenses/by/4.0/).
Share and Cite
Jhuma, F.A.; Harada, K.; Misran, M.A.B.; Mo, H.-W.; Fujimoto, H.; Hattori, R. The Light Wavelength, Intensity, and Biasing Voltage Dependency of the Dark and Photocurrent Densities of a Solution-Processed P3HT:PC61BM Photodetector for Sensing Applications. Nanomaterials 2024, 14, 1496. https://doi.org/10.3390/nano14181496
Jhuma FA, Harada K, Misran MAB, Mo H-W, Fujimoto H, Hattori R. The Light Wavelength, Intensity, and Biasing Voltage Dependency of the Dark and Photocurrent Densities of a Solution-Processed P3HT:PC61BM Photodetector for Sensing Applications. Nanomaterials. 2024; 14(18):1496. https://doi.org/10.3390/nano14181496
Chicago/Turabian StyleJhuma, Farjana Akter, Kentaro Harada, Muhamad Affiq Bin Misran, Hin-Wai Mo, Hiroshi Fujimoto, and Reiji Hattori. 2024. "The Light Wavelength, Intensity, and Biasing Voltage Dependency of the Dark and Photocurrent Densities of a Solution-Processed P3HT:PC61BM Photodetector for Sensing Applications" Nanomaterials 14, no. 18: 1496. https://doi.org/10.3390/nano14181496
APA StyleJhuma, F. A., Harada, K., Misran, M. A. B., Mo, H.-W., Fujimoto, H., & Hattori, R. (2024). The Light Wavelength, Intensity, and Biasing Voltage Dependency of the Dark and Photocurrent Densities of a Solution-Processed P3HT:PC61BM Photodetector for Sensing Applications. Nanomaterials, 14(18), 1496. https://doi.org/10.3390/nano14181496

