Formulating InVO4/α-Fe2O3 Heterojunction Composites for Photocatalytic Tetracycline Hydrochloride Degradation
Abstract
1. Introduction
2. Experimental Methods
2.1. Material Synthesis
2.1.1. Synthesis of α-Fe2O3
2.1.2. Synthesis of InVO4/α-Fe2O3 Composites and InVO4
2.2. Characterization
2.3. Photocatalytic Experiments
3. Results and Discussion
3.1. The Wavelength Used in XRD Analysis at the Synchrotron Beamline
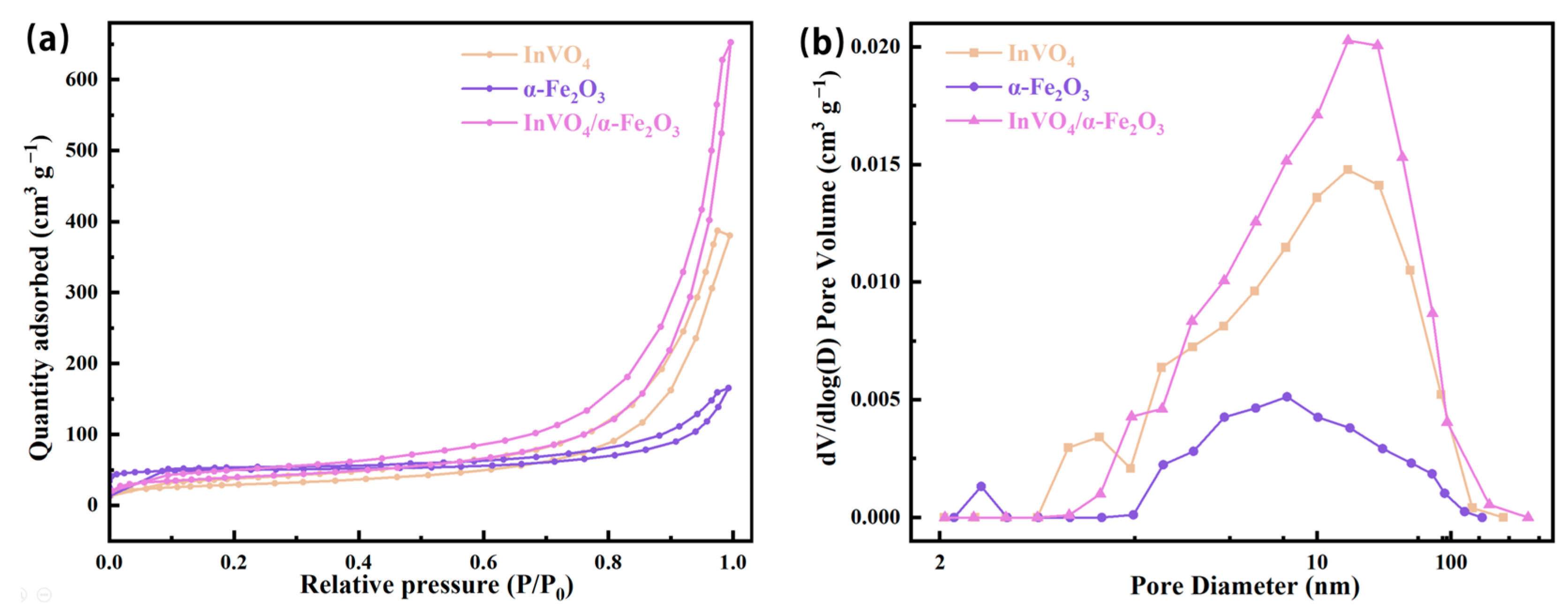
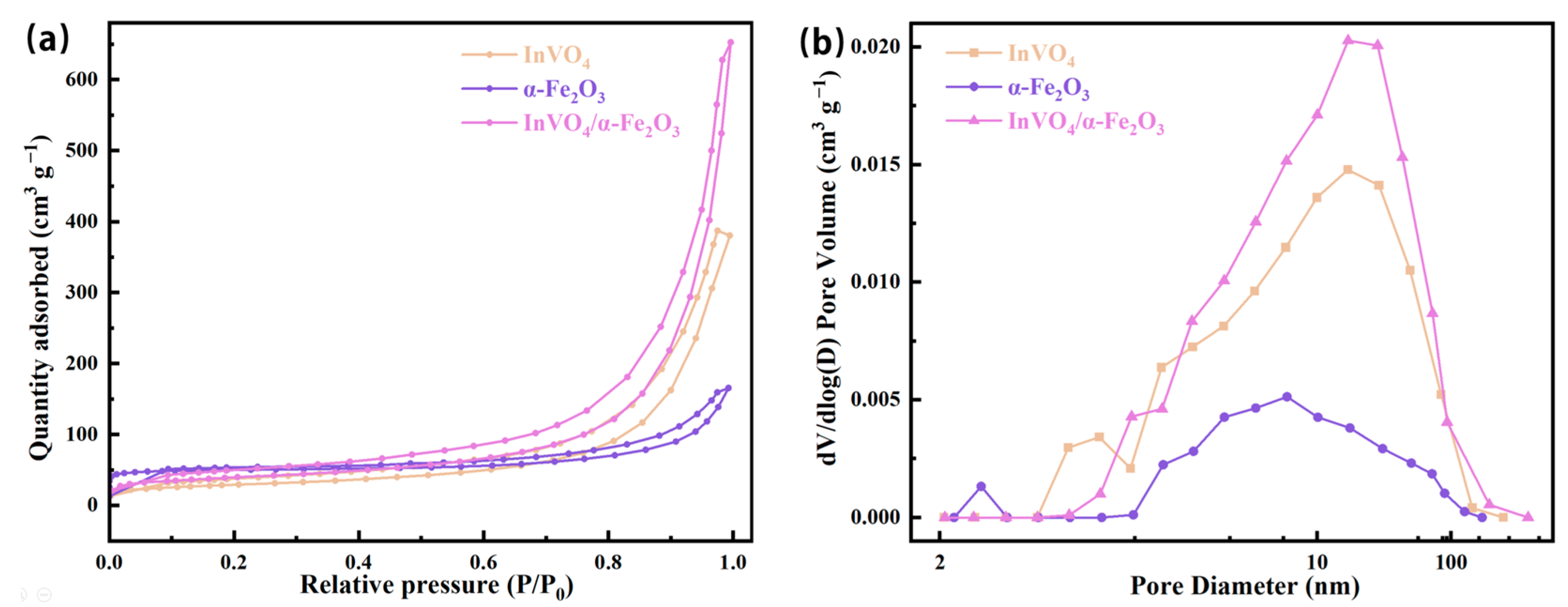
3.2. Surface Area and Pore Structure
3.3. Morphologic Structure Analysis
3.4. Composition and Valence State Analysis
3.5. Optical Property Analysis
3.6. Photocatalytic Degradation Performance
3.7. Stability and Recyclability Properties
3.8. Photocatalytic Pollution Removal Mechanism
4. Conclusions
Author Contributions
Funding
Data Availability Statement
Acknowledgments
Conflicts of Interest
References
- Bacanlı, M.G. The two faces of antibiotics: An overview of the effects of antibiotic residues in foodstuffs. Arch. Toxicol. 2024, 98, 1717–1725. [Google Scholar] [CrossRef]
- Feng, D.; He, J.; Zheng, L.; Jiang, W.; Zhang, C.; Li, L.; Song, J.; Yao, W. Enhanced catalytic performance with Fe@α-Fe2O3 thin nanosheets by synergistic effect of photocatalysis and Fenton-like process. J. Phys. Chem. Solids 2021, 150, 109886. [Google Scholar] [CrossRef]
- Choi, Y.; He, H.; Dodd, M.C.; Lee, Y. Degradation kinetics of antibiotic resistance gene mecA of methicillin-resistant staphylococcus aureus (MRSA) during water disinfection with chlorine, ozone, and ultraviolet light. Environ. Sci. Technol. 2021, 55, 2541–2552. [Google Scholar] [CrossRef] [PubMed]
- Yang, W.; Li, J.; Yao, Z.; Li, M. A review on the alternatives to antibiotics and the treatment of antibiotic pollution: Current development and future prospects. Sci. Total Environ. 2024, 926, 171757. [Google Scholar] [CrossRef] [PubMed]
- Xiao, J.; Lv, J.; Lu, Q. Building Fe2O3/MoO3 nanorod heterojunction enables better tetracycline photocatalysis. Mater. Lett. 2022, 311, 131580. [Google Scholar] [CrossRef]
- Moja, L.; Zanichelli, V.; Mertz, D.; Gandra, S.; Cappello, B.; Cooke, G.S.; Chuki, P.; Harbarth, S.; Pulcini, C.; Mendelson, M.; et al. WHO’s essential medicines and AWaRe: Recommendations on first- and second-choice antibiotics for empiric treatment of clinical infections. Clin. Microbiol. Infect. 2024, 30, S1–S51. [Google Scholar] [CrossRef]
- Zhu, L.; Song, W.; Liu, C.; Gu, W.; Zhao, M.; Zhao, Y. Efficient degradation of tetracycline hydrochloride by activated peroxymonosulfate with PdO/CuFe2O4/coal-bearing strata kaolinite composite. J. Phys. Chem. Solids 2024, 187, 111884. [Google Scholar] [CrossRef]
- Wang, B.; Guo, Y.; Li, Q.; Xin, C.; Tian, Y.; Zhang, W.; Yu, X. Design of porous ZrO2 with well-tuned band structures and strong visible-light harvesting via Zn doping for enhanced visible-light photocatalysis. Chem. Eng. J. 2024, 481, 148489. [Google Scholar] [CrossRef]
- He, N.; Yu, Z.; Yang, G.; Tan, Q.; Wang, J.; Chen, Y. Designing with A-site cation defects in LaFeO3: Removal of tetracycline hydrochloride in complex environments using photo-Fenton synergy. Chem. Eng. J. 2024, 484, 149613. [Google Scholar] [CrossRef]
- Khan, M.E.; Mohammad, A.; Ali, W.; Khan, A.U.; Hazmi, W.; Zakri, W.; Yoon, T. Excellent visible-light photocatalytic activity towards the degradation of tetracycline antibiotic and electrochemical sensing of hydrazine by SnO2–CdS nanostructures. J. Clean. Prod. 2022, 349, 131249. [Google Scholar] [CrossRef]
- Rathinam Thiruppathi Venkadajapathy, V.; Sivaperumal, S. Tailoring functional two-dimensional nanohybrids: A comprehensive approach for enhancing photocatalytic remediation. Ecotoxicol. Environ. Saf. 2024, 275, 116221. [Google Scholar] [CrossRef] [PubMed]
- Zhou, Y.; Zhu, Z.; Ma, X.; Wu, J.; Lv, X.; Qi, F.; He, P.; Qi, Y.; Lv, C.; Pan, W. Research progress in β-Fe2O3-based catalysts: An overview of the synthesis, conversion and applications. J. Environ. Chem. Eng. 2023, 11, 110864. [Google Scholar] [CrossRef]
- Wang, W.; Li, G.; Xia, D.; An, T.; Zhao, H.; Wong, P.K. Photocatalytic nanomaterials for solar-driven bacterial inactivation: Recent progress and challenges. Environ. Sci. Nano 2017, 4, 782–799. [Google Scholar] [CrossRef]
- Wang, X.; Lin, S.; Cui, N.; Qi, K.; Liu, S.-Y.; Khan, I. Synthesis of ZnWO4/NiWO4 photocatalysts and their application in tetracycline hydrochloride degradation and antibacterial activities. J. Taiwan Inst. Chem. Eng. 2024, 157, 105408. [Google Scholar] [CrossRef]
- Gu, C.; Li, C.; Minezawa, N.; Okazaki, S.; Yamaguchi, K.; Suzuki, K. Multi-stimuli-responsive polymer degradation by polyoxometalate photocatalysis and chloride ions. Nanoscale 2024, 16, 8013–8019. [Google Scholar] [CrossRef] [PubMed]
- Li, X.; Li, Z.; Xing, Z.; Song, Z.; Ye, B.; Wang, Z.; Wu, Q. UV-LED/P25-based photocatalysis for effective degradation of isothiazolone biocide. Front. Environ. Sci. Eng. 2020, 15, 85. [Google Scholar] [CrossRef]
- Carbuloni, C.F.; Savoia, J.E.; Santos, J.S.P.; Pereira, C.A.A.; Marques, R.G.; Ribeiro, V.A.S.; Ferrari, A.M. Degradation of metformin in water by TiO2–ZrO2 photocatalysis. J. Environ. Manag. 2020, 262, 110347. [Google Scholar] [CrossRef]
- Dhull, P.; Sudhaik, A.; Sharma, V.; Raizada, P.; Hasija, V.; Gupta, N.; Ahamad, T.; Nguyen, V.-H.; Kim, A.; Shokouhimehr, M.; et al. An overview on InVO4-based photocatalysts: Electronic properties, synthesis, enhancement strategies, and photocatalytic applications. Mol. Catal. 2023, 539, 113013. [Google Scholar] [CrossRef]
- Yang, R.; Zhang, Y.; Fan, Y.; Wang, R.; Zhu, R.; Tang, Y.; Yin, Z.; Zeng, Z. InVO4-based photocatalysts for energy and environmental applications. Chem. Eng. J. 2021, 428, 131145. [Google Scholar] [CrossRef]
- Li, J.; Zheng, M.; Wei, F.; Dong, C.; Xiu, Z.; Mu, W.; Zhou, X.; Ding, Y.; Han, X. Fe doped InVO4 nanosheets with rich surface oxygen vacancies for enhanced electrochemical nitrogen fixation. Chem. Eng. J. 2021, 431, 133383. [Google Scholar] [CrossRef]
- Chaison, J.; Wetchakun, K.; Wetchakun, N. Investigation of the physical, optical, and photocatalytic properties of CeO2/Fe-doped InVO4 composite. J. Phys. Chem. Solids 2017, 111, 95–103. [Google Scholar] [CrossRef]
- Jin, L.; Liu, H.; Ye, L.; Huang, Y.; Liu, X.; Huang, D. Revealing the primary role of the V4+/V5+ cycle in InVO4 catalysts for promoting the photo-Fenton reaction. Environ. Sci. Nano 2023, 11, 942–950. [Google Scholar] [CrossRef]
- Zuo, G.; Ma, S.; Yin, Z.; Chen, W.; Wang, Y.; Ji, Q.; Xian, Q.; Yang, S.; He, H. Z-Scheme modulated charge transfer on InVO4@ZnIn2S4 for durable overall water splitting. Small 2023, 19, 2207031. [Google Scholar] [CrossRef]
- An, X.; Chen, Y.; Ao, M.; Jin, Y.; Zhan, L.; Yu, B.; Wu, Z.; Jiang, P. Sequential photocatalytic degradation of organophosphorus pesticides and recovery of orthophosphate by biochar/α-Fe2O3/MgO composite: A new enhanced strategy for reducing the impacts of organophosphorus from wastewater. Chem. Eng. J. 2022, 435, 135087. [Google Scholar] [CrossRef]
- Ivanov, N.P.; Dran’kov, A.N.; Shichalin, O.O.; Lembikov, A.O.; Buravlev, I.Y.; Mayorov, V.Y.; Balanov, M.I.; Rogachev, K.A.; Kaspruk, G.D.; Pisarev, S.M.; et al. Composite magnetic sorbents based on magnetic Fe3O4 coated by Zn and Al layered double hydroxide for U(VI) removal from aqueous media. J. Radioanal. Nucl. Chem. 2024, 333, 1213–1230. [Google Scholar] [CrossRef]
- Balybina, V.A.; Dran’kov, A.N.; Shichalin, O.O.; Savel’eva, N.Y.; Kokorina, N.G.; Kuular, Z.C.; Ivanov, N.P.; Krasitskaya, S.G.; Ivanets, A.I.; Papynov, E.K. Mesoporous layered double hydroxides: Synthesis for high effective uranium ions sorption from seawater and salt solutions on nanocomposite functional materials. J. Compos. Sci. 2023, 7, 458. [Google Scholar] [CrossRef]
- Tamtam, M.R.; Koutavarapu, R.; Shim, J. InVO4 nanosheets decorated with ZnWO4 nanorods: A novel composite and its enhanced photocatalytic performance under solar light. Environ. Res. 2023, 227, 115735. [Google Scholar] [CrossRef]
- Ding, W.; Lin, X.; Ma, G.; Lu, Q. Designed formation of InVO4/CeVO4 hollow nanobelts with Z-scheme charge transfer: Synergistically boosting visible-light-driven photocatalytic degradation of tetracycline. J. Environ. Chem. Eng. 2020, 8, 104588. [Google Scholar] [CrossRef]
- Latif, M.; Hammad Aziz, M.; Shaheen, F.; Mansoor Ali, S.; Asif, M.; Huang, Q. Enhanced photocatalysis activity of Co0.5Mg0.5Fe2O4/rGO nanocomposites for tetracycline antibiotic degradation. Mater. Lett. 2023, 360, 135756. [Google Scholar] [CrossRef]
- Zhang, H.; Xie, L.; Liang, Z.; Huang, C.; Wang, H.; Hu, J.; Jiang, Z.; Song, F. Tandem catalysis for enhanced CO oxidation over the Bi–Au–SiO2 interface. Nucl. Sci. Tech. 2023, 34, 108. [Google Scholar] [CrossRef]
- Wang, X.; Lin, X.; Wu, X.; Lynch, I. Z-scheme Fe@Fe2O3/BiOBr heterojunction with efficient carrier separation for enhanced heterogeneous photo-Fenton activity of tetracycline degradation: Fe2+ regeneration, mechanism insight and toxicity evaluation. Environ. Res. 2024, 252, 118396. [Google Scholar] [CrossRef] [PubMed]
- Hu, C.; He, J.; Liang, J.; Lin, T.; Liu, Q. Heterogeneous photo-Fenton catalyst α-Fe2O3@g-C3N4@NH2-MIL-101(Fe) with dual Z-Scheme heterojunction for degradation of tetracycline. Environ. Res. 2023, 231, 116313. [Google Scholar] [CrossRef] [PubMed]
- Guo, T.; Wang, K.; Zhang, G.; Wu, X. A novel α-Fe2O3@g-C3N4 catalyst: Synthesis derived from Fe-based MOF and its superior photo-Fenton performance. Appl. Surf. Sci. 2019, 469, 331–339. [Google Scholar] [CrossRef]
- Li, M.; Liu, H.; Pang, S.; Yan, P.; Liu, M.; Ding, M.; Zhang, B. Facile fabrication of three-dimensional fusiform-like α-Fe2O3 for enhanced photocatalytic performance. Nanomaterials 2021, 11, 2650. [Google Scholar] [CrossRef] [PubMed]
- Keerthana, S.P.; Yuvakkumar, R.; Ravi, G.; Kumar, P.; Elshikh, M.S.; Alkhamis, H.H.; Alrefaei, A.F.; Velauthapillai, D. A strategy to enhance the photocatalytic efficiency of α-Fe2O3. Chemosphere 2021, 270, 129498. [Google Scholar] [CrossRef] [PubMed]
- Lejbini, M.B.; Sangpour, P.; Tajabadi, F.; Kolahi, A. Photocatalytic upgrading α-Fe2O3 nanoparticles by incorporating MoS2/rGO nanosheets. Mater. Res. Express 2020, 7, 055011. [Google Scholar] [CrossRef]
- Niu, Y.; Li, M.; Jia, X.; Shi, Z.; Liu, H.; Zhang, X. Structures and photocatalytic activity of α-Fe2O3@TiO2 core-shell nanoparticles. Solid State Commun. 2022, 345, 114683. [Google Scholar] [CrossRef]
- Yogesh, K.; Rohit, K.; Pankaj, R.; Aftab Aslam Parwaz, K.; Arachana, S.; Quyet Van, L.; Van Huy, N.; Rangabhashiyam, S.; Sourbh, T.; Pardeep, S. Current status of Hematite (α-Fe2O3) based Z-scheme photocatalytic systems for environmental and energy applications. J. Environ. Chem. Eng. 2022, 10, 107427. [Google Scholar] [CrossRef]
- Solanki, R.; Jarosova, M.; Al-Azzawi, W.K.; Machek, P.; Alsultany, F.H.; Khalaji, A.D.; Al Mashhadani, Z.I. Sonochemical-assisted synthesis of α-Fe2O3 nanoparticles and their photocatalytic activity toward methylene blue and methyl orange dyes. Appl. Phys. A 2022, 128, 741. [Google Scholar] [CrossRef]
- Wang, Y. Study on Synthesis and Application of Ferric Oxide and Its Complex. Master’s Thesis, Yangzhou University, Yangzhou, China, 2012. [Google Scholar]
- Kumar, A.; Prajapati, P.K.; Pal, U.; Jain, S.L. Ternary rGO/InVO4/Fe2O3 Z-scheme heterostructured photocatalyst for CO2 reduction under visible light irradiation. ACS Sustain. Chem. Eng. 2018, 6, 8201–8211. [Google Scholar] [CrossRef]
- Lian, P.; Qin, A.; Liu, Z.; Ma, H.; Liao, L.; Zhang, K.; Li, N. Facile synthesis to porous TiO2 nanostructures at low temperature for efficient visible-light degradation of tetracycline. Nanomaterials 2024, 14, 943. [Google Scholar] [CrossRef] [PubMed]
- Zhang, Y.; Gao, J.; Xin, X.; Wang, L.; Li, H.; Zheng, X.; Jiang, Y. Immobilization laccase on heterophase TiO2 microsphere as a photo-enzyme integrated catalyst for emerging contaminants degradation under visible light. Appl. Mater. Today 2020, 21, 100810. [Google Scholar] [CrossRef]
- Li, Y.; Zhang, H.; Zhang, D.; Yao, S.; Dong, S.; Chen, Q.; Fan, F.; Jia, H.; Dong, M. Construction of Bi2WO6/g-C3N4 Z-scheme heterojunction and its enhanced photocatalytic degradation of tetracycline with persulfate under solar light. Molecules 2024, 29, 1169. [Google Scholar] [CrossRef]
- Ji, L.; Li, K.; Gao, M.; Lu, L.; Liang, Q.; Lan, H.; Lu, W.; Zhang, W.; Zhang, Y. Elucidating tetracycline degradation in a coupled system of photocatalysis combined with bacillus cereus. J. Water Process Eng. 2023, 57, 104616. [Google Scholar] [CrossRef]
- Chen, L.; Xu, B.; Jin, M.; Chen, L.; Yi, G.; Xing, B.; Zhang, Y.; Wu, Y.; Li, Z. Excellent photocatalysis of Bi2WO6 structured with oxygen vacancies in degradation of tetracycline. J. Mol. Struct. 2023, 1278, 134911. [Google Scholar] [CrossRef]











Disclaimer/Publisher’s Note: The statements, opinions and data contained in all publications are solely those of the individual author(s) and contributor(s) and not of MDPI and/or the editor(s). MDPI and/or the editor(s) disclaim responsibility for any injury to people or property resulting from any ideas, methods, instructions or products referred to in the content. |
© 2024 by the authors. Licensee MDPI, Basel, Switzerland. This article is an open access article distributed under the terms and conditions of the Creative Commons Attribution (CC BY) license (https://creativecommons.org/licenses/by/4.0/).
Share and Cite
Chang, H.; Wang, Y.; Qiao, P.; Sun, B.; Wang, Z.; Song, F. Formulating InVO4/α-Fe2O3 Heterojunction Composites for Photocatalytic Tetracycline Hydrochloride Degradation. Nanomaterials 2024, 14, 1441. https://doi.org/10.3390/nano14171441
Chang H, Wang Y, Qiao P, Sun B, Wang Z, Song F. Formulating InVO4/α-Fe2O3 Heterojunction Composites for Photocatalytic Tetracycline Hydrochloride Degradation. Nanomaterials. 2024; 14(17):1441. https://doi.org/10.3390/nano14171441
Chicago/Turabian StyleChang, Haoxu, Yayang Wang, Panzhe Qiao, Bo Sun, Zhengbang Wang, and Fei Song. 2024. "Formulating InVO4/α-Fe2O3 Heterojunction Composites for Photocatalytic Tetracycline Hydrochloride Degradation" Nanomaterials 14, no. 17: 1441. https://doi.org/10.3390/nano14171441
APA StyleChang, H., Wang, Y., Qiao, P., Sun, B., Wang, Z., & Song, F. (2024). Formulating InVO4/α-Fe2O3 Heterojunction Composites for Photocatalytic Tetracycline Hydrochloride Degradation. Nanomaterials, 14(17), 1441. https://doi.org/10.3390/nano14171441

