Strain and Substrate-Induced Electronic Properties of Novel Mixed Anion-Based 2D ScHX2 (X = I/Br) Semiconductors
Abstract
1. Introduction
2. Computational Details
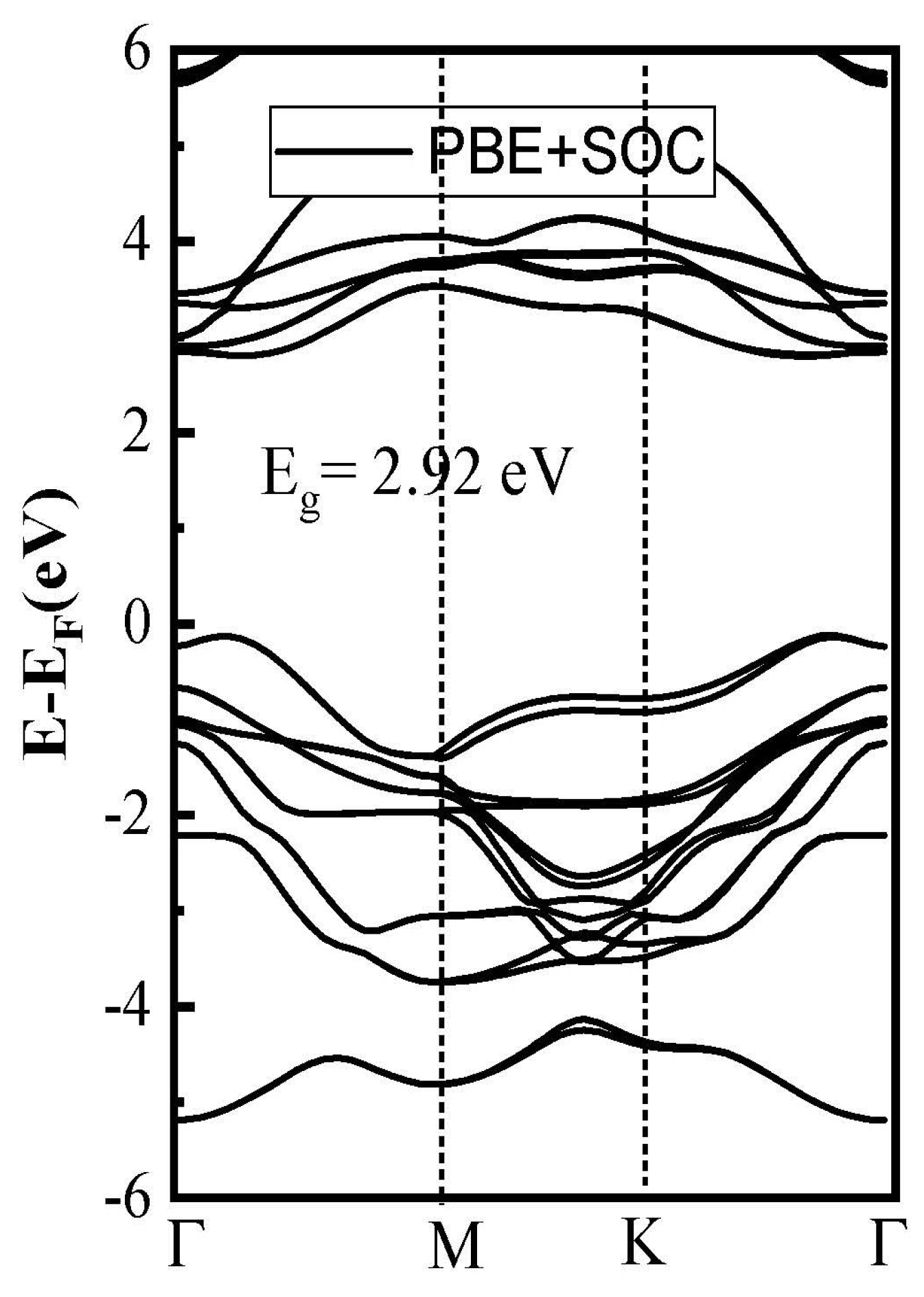
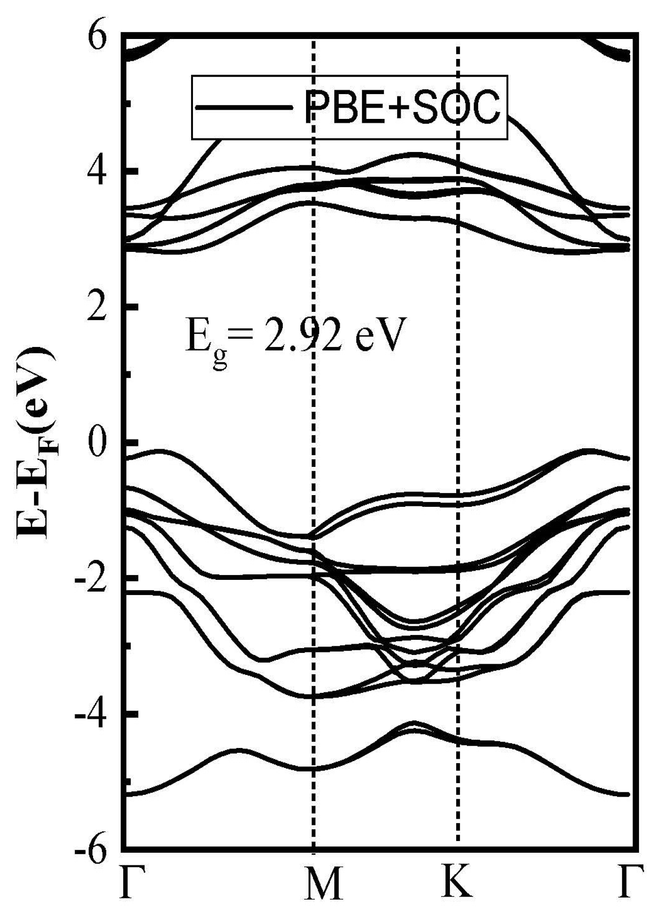
3. Results and Discussion
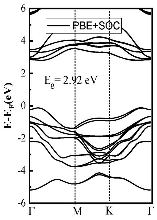
3.1. Ground State Configurations
3.2. Stability
3.3. Mechanical Properties
3.4. Optical Properties
3.5. Strain Engineering
3.5.1. Strain-Induced Modulation in Band Gap
3.5.2. Strain-Induced Modulations in Effective Masses
3.6. Substrate Supported ScHBr2 Monolayer
4. Conclusions
Author Contributions
Funding
Data Availability Statement
Acknowledgments
Conflicts of Interest
Appendix A








| Strain % | CBO (eV) | VBO (eV) |
|---|---|---|
| −9% | 1.11 | 0.29 |
| −7% | 1.11 | 0.59 |
| −5% | 1.13 | 0.78 |
| −3% | 1.06 | 0.77 |
| −1% | 1.03 | 0.73 |
| 0 | 1.07 | 0.67 |
| 1% | 0.98 | 0.70 |
| 3% | 0.87 | 0.68 |
| 5% | 0.78 | 0.64 |
| 7% | 0.57 | 0.63 |
| 9% | 0.42 | 0.64 |


References
- Kageyama, H.; Hayashi, K.; Maeda, K.; Attfield, J.P.; Hiroi, Z.; Rondinelli, J.M.; Poeppelmeier, K.R. Expanding frontiers in materials chemistry and physics with multiple anions. Nat. Commun. 2018, 9, 772. [Google Scholar] [CrossRef] [PubMed]
- Hitoki, G.; Takata, T.; Kondo, J.N.; Hara, M.; Kobayashi, H.; Domen, K. An oxynitride, TaON, as an efficient water oxidation photocatalyst under visible light irradiation (λ ≥ 500 nm). Chem. Commun. 2002, 16, 1698–1699. [Google Scholar] [CrossRef]
- Maeda, K.; Takata, T.; Hara, M.; Saito, N.; Inoue, Y.; Kobayashi, H.; Domen, K. GaN: ZnO solid solution as a photocatalyst for visible-light-driven overall water splitting. J. Am. Chem. Soc. 2005, 127, 8286–8287. [Google Scholar] [CrossRef] [PubMed]
- Fujito, H.; Kunioku, H.; Kato, D.; Suzuki, H.; Higashi, M.; Kageyama, H.; Abe, R. Layered perovskite oxychloride Bi4NbO8Cl: A stable visible light responsive photocatalyst for water splitting. J. Am. Chem. Soc. 2016, 138, 2082–2085. [Google Scholar] [CrossRef]
- Kobayashi, G.; Hinuma, Y.; Matsuoka, S.; Watanabe, A.; Iqbal, M.; Hirayama, M.; Yonemura, M.; Kamiyama, T.; Tanaka, I.; Kanno, R. Pure H–conduction in oxyhydrides. Science 2016, 351, 1314–1317. [Google Scholar] [CrossRef]
- Imanaka, N.; Misran, M.R.I.B.; Nunotani, N. Evidence for enormous iodide anion migration in lanthanum oxyiodide–based solid. Sci. Adv. 2021, 7, eabh0812. [Google Scholar] [CrossRef]
- Zhao, L.D.; He, J.; Berardan, D.; Lin, Y.; Li, J.F.; Nan, C.W.; Dragoe, N. BiCuSeO oxyselenides: New promising thermoelectric materials. Energy Environ. Sci. 2014, 7, 2900–2924. [Google Scholar] [CrossRef]
- Mizuguchi, Y. Material development and physical properties of BiS2-based layered compounds. J. Phys. Soc. Jpn. 2019, 88, 041001. [Google Scholar] [CrossRef]
- Kraft, M.A.; Culver, S.P.; Calderon, M.; Böcher, F.; Krauskopf, T.; Senyshyn, A.; Dietrich, C.; Zevalkink, A.; Janek, J.; Zeier, W.G. Influence of lattice polarizability on the ionic conductivity in the lithium superionic argyrodites Li6PS5X (X = Cl, Br, I). J. Am. Chem. Soc. 2017, 139, 10909–10918. [Google Scholar] [CrossRef]
- Kamaya, N.; Homma, K.; Yamakawa, Y.; Hirayama, M.; Kanno, R.; Yonemura, M.; Kamiyama, T.; Kato, Y.; Hama, S.; Kawamoto, K.; et al. A lithium superionic conductor. Nat. Mater. 2011, 10, 682–686. [Google Scholar] [CrossRef]
- Hu, Y.; Wu, X.; Ortiz, B.R.; Ju, S.; Han, X.; Ma, J.; Plumb, N.C.; Radovic, M.; Thomale, R.; Wilson, S.D.; et al. Rich nature of Van Hove singularities in Kagome superconductor CsV3Sb5. Nat. Commun. 2022, 13, 2220. [Google Scholar] [CrossRef] [PubMed]
- Li, J.; Yu, Q.; He, Y.; Stoumpos, C.C.; Niu, G.; Trimarchi, G.G.; Guo, H.; Dong, G.; Wang, D.; Wang, L.; et al. Cs2PbI2Cl2, all-inorganic two-dimensional Ruddlesden–Popper mixed halide perovskite with optoelectronic response. J. Am. Chem. Soc. 2018, 140, 11085–11090. [Google Scholar] [CrossRef]
- Mounet, N.; Gibertini, M.; Schwaller, P.; Campi, D.; Merkys, A.; Marrazzo, A.; Sohier, T.; Castelli, I.E.; Cepellotti, A.; Pizzi, G.; et al. Two-dimensional materials from high-throughput computational exfoliation of experimentally known compounds. Nat. Nanotechnol. 2018, 13, 246–252. [Google Scholar] [CrossRef] [PubMed]
- Hvazdouski, D.C.; Baranava, M.S.; Korznikova, E.A.; Kistanov, A.A.; Stempitsky, V.R. Search on stable binary and ternary compounds of two-dimensional transition metal halides. 2D Mater. 2024, 11, 025022. [Google Scholar] [CrossRef]
- Haastrup, S.; Strange, M.; Pandey, M.; Deilmann, T.; Schmidt, P.S.; Hinsche, N.F.; Gjerding, M.N.; Torelli, D.; Larsen, P.M.; Riis-Jensen, A.C.; et al. The Computational 2D Materials Database: High-throughput modeling and discovery of atomically thin crystals. 2D Mater. 2018, 5, 042002. [Google Scholar] [CrossRef]
- Olsen, T.; Andersen, E.; Okugawa, T.; Torelli, D.; Deilmann, T.; Thygesen, K.S. Discovering two-dimensional topological insulators from high-throughput computations. Phys. Rev. Mater. 2019, 3, 024005. [Google Scholar] [CrossRef]
- Michaelis, C.; Mattausch, H.; Borromann, H.; Simon, A.; Cockroft, J. LnHal2Hn Neue Phasen in den ternären Systemen Ln/Hal/HI Strukturen. Z. Anorg. Allg. Chem. 1992, 607, 29–33. [Google Scholar] [CrossRef]
- Li, M.; Ford, M.J.; Kobayashi, R.; Amos, R.D.; Reimers, J.R. Reliable density functional and G_0 W_0 approaches to the calculation of bandgaps in 2D materials. arXiv 2023. [Google Scholar] [CrossRef]
- Kresse, G.; Furthmüller, J. Efficient iterative schemes for ab initio total-energy calculations using a plane-wave basis set. Phys. Rev. B 1996, 54, 11169. [Google Scholar] [CrossRef]
- Kresse, G.; Hafner, J. Ab initio molecular dynamics for liquid metals. Phys. Rev. B 1993, 47, 558. [Google Scholar] [CrossRef]
- Kresse, G.; Furthmüller, J. Efficiency of ab-initio total energy calculations for metals and semiconductors using a plane-wave basis set. Comput. Mater. Sci. 1996, 6, 15–50. [Google Scholar] [CrossRef]
- Kresse, G.; Hafner, J. Ab initio molecular-dynamics simulation of the liquid-metal–amorphous-semiconductor transition in germanium. Phys. Rev. B 1994, 49, 14251. [Google Scholar] [CrossRef] [PubMed]
- Perdew, J.P.; Burke, K.; Ernzerhof, M. Generalized gradient approximation made simple. Phys. Rev. Lett. 1996, 77, 3865. [Google Scholar] [CrossRef]
- Grimme, S.; Antony, J.; Ehrlich, S.; Krieg, H. A consistent and accurate ab initio parametrization of density functional dispersion correction (DFT-D) for the 94 elements H-Pu. J. Chem. Phys. 2010, 132, 154104. [Google Scholar] [CrossRef] [PubMed]
- Baroni, S.; De Gironcoli, S.; Dal Corso, A.; Giannozzi, P. Phonons and related crystal properties from density-functional perturbation theory. Rev. Mod. Phys 2001, 73, 515. [Google Scholar] [CrossRef]
- Togo, A.; Oba, F.; Tanaka, I. First-principles calculations of the ferroelastic transition between rutile-type and CaCl2-type SiO2 at high pressures. Phys. Rev. B 2008, 78, 134106. [Google Scholar] [CrossRef]
- Togo, A.; Tanaka, I. First principles phonon calculations in materials science. Scripta Mater. 2015, 108, 1–5. [Google Scholar] [CrossRef]
- Kim, H.G.; Choi, H.J. Thickness dependence of work function, ionization energy, and electron affinity of Mo and W dichalcogenides from DFT and GW calculations. Phys. Rev. B 2021, 103, 085404. [Google Scholar] [CrossRef]
- Sun, H.; Shang, Y.; Yang, Y.; Guo, M. Realization of N-type semiconducting of phosphorene through surface metal doping and work function study. J. Nanomater. 2018, 2018, 1–9. [Google Scholar] [CrossRef]
- Liu, Y.; Stradins, P.; Wei, S.H. Van der Waals metal-semiconductor junction: Weak Fermi level pinning enables effective tuning of Schottky barrier. Sci. Adv. 2016, 2, e1600069. [Google Scholar] [CrossRef]
- Yang, W.; Xin, K.; Yang, J.; Xu, Q.; Shan, C.; Wei, Z. 2D ultrawide bandgap semiconductors: Odyssey and challenges. Small Methods 2022, 6, 2101348. [Google Scholar] [CrossRef]
- Torelli, D.; Moustafa, H.; Jacobsen, K.W.; Olsen, T. High-throughput computational screening for two-dimensional magnetic materials based on experimental databases of three-dimensional compounds. Npj Comput. Mater. 2020, 6, 158. [Google Scholar] [CrossRef]
- Wang, M.; Han, D. Thermal Properties of 2D Dirac Materials MN4 (M = Be and Mg): A First-Principles Study. ACS Omega 2022, 7, 10812–10819. [Google Scholar] [CrossRef] [PubMed]
- Qin, G.; Yan, Q.B.; Qin, Z.; Yue, S.Y.; Hu, M.; Su, G. Anisotropic intrinsic lattice thermal conductivity of phosphorene from first principles. Phys. Chem. Chem. Phys. 2015, 17, 4854–4858. [Google Scholar] [CrossRef]
- Drummond, N.; Zolyomi, V.; Fal’Ko, V. Electrically tunable band gap in silicene. Phys. Rev. B 2012, 85, 075423. [Google Scholar] [CrossRef]
- Li, Y.; Liao, Y.; Chen, Z. Be2C monolayer with quasi-planar hexacoordinate carbons: A global minimum structure. Angew. Chem. Int. Ed. 2014, 53, 7248–7252. [Google Scholar] [CrossRef] [PubMed]
- Mouhat, F.; Coudert, F.X. Necessary and sufficient elastic stability conditions in various crystal systems. Phys. Rev. B 2014, 90, 224104. [Google Scholar] [CrossRef]
- Kresse, G.; Furthmüller, J.; Hafner, J. Ab initio force constant approach to phonon dispersion relations of diamond and graphite. Europhys. Lett. 1995, 32, 729. [Google Scholar] [CrossRef]
- Choudhary, K.; Cheon, G.; Reed, E.; Tavazza, F. Elastic properties of bulk and low-dimensional materials using van der Waals density functional. Phys. Rev. B 2018, 98, 014107. [Google Scholar] [CrossRef]
- Hung, N.T.; Nugraha, A.R.; Saito, R. Two-dimensional MoS2 electromechanical actuators. J. Phys. D Appl. Phys. 2018, 51, 075306. [Google Scholar] [CrossRef]
- Xiong, W.; Huang, K.; Yuan, S. The mechanical, electronic and optical properties of two-dimensional transition metal chalcogenides MX 2 and M 2 X 3 (M = Ni, Pd; X = S, Se, Te) with hexagonal and orthorhombic structures. J. Mater. Chem. C 2019, 7, 13518–13525. [Google Scholar] [CrossRef]
- Gajdoš, M.; Hummer, K.; Kresse, G.; Furthmüller, J.; Bechstedt, F. Linear optical properties in the projector-augmented wave methodology. Phys. Rev. B 2006, 73, 045112. [Google Scholar] [CrossRef]
- Shu, H.B.; Guo, J.Y. Structural, electronic, and optical properties of C3B and C3B0·5N0.5 monolayers: A many-body study. Physica E 2022, 138, 115119. [Google Scholar] [CrossRef]
- Shu, H. Two Janus Ga2STe monolayers and their electronic, optical, and photocatalytic properties. Phys. Chem. Chem. Phys. 2023, 25, 7937–7945. [Google Scholar] [CrossRef] [PubMed]
- Shu, H.; Guo, J. Enhanced stability and tunable optoelectronic properties of silicon–carbon monolayers by strain and surface functionalization. J. Mater. Chem. C 2024, 12, 5916–5925. [Google Scholar] [CrossRef]
- Shu, H. Strain effects on stability, electronic and optical properties of two-dimensional C4X2 (X = F, Cl, Br). J. Mater. Chem. C 2021, 9, 4505–4513. [Google Scholar] [CrossRef]
- Peng, Z.; Chen, X.; Fan, Y.; Srolovitz, D.J.; Lei, D. Strain engineering of 2D semiconductors and graphene: From strain fields to band-structure tuning and photonic applications. Light. Sci. Appl. 2020, 9, 190. [Google Scholar] [CrossRef]
- Shu, H.; Niu, X.; Ding, X.; Wang, Y. Effects of strain and surface modification on stability, electronic and optical properties of GaN monolayer. Appl. Surf. Sci. 2019, 479, 475–481. [Google Scholar] [CrossRef]
- Shu, H. Adjustable electro-optical properties of novel graphene-like SiC2 via strain engineering. Appl. Surf. Sci. 2021, 559, 149956. [Google Scholar] [CrossRef]
- Caglayan, R.; Guler, H.; Mogulkoc, Y. An analysis of Schottky barrier in silicene/Ga2SeS heterostructures by employing electric field and strain. Phys. Chem. Chem. Phys. 2022, 24, 10210–10221. [Google Scholar] [CrossRef]
- Mogulkoc, Y.; Caglayan, R.; Ciftci, Y. Band Alignment in Monolayer Boron Phosphide with Janus MoSSe Heterobilayers under Strain and Electric Field. Phys. Rev. Appl. 2021, 16, 024001. [Google Scholar] [CrossRef]
- Sahu, T.K.; Sahu, S.P.; Hembram, K.; Lee, J.K.; Biju, V.; Kumar, P. Free-standing 2D gallium nitride for electronic, excitonic, spintronic, piezoelectric, thermoplastic, and 6G wireless communication applications. NPG Asia Mater. 2023, 15, 49. [Google Scholar] [CrossRef]
- Onen, A.; Kecik, D.; Durgun, E.; Ciraci, S. GaN: From three-to two-dimensional single-layer crystal and its multilayer van der Waals solids. Phys. Rev. B 2016, 93, 085431. [Google Scholar] [CrossRef]
- Qin, Z.; Qin, G.; Zuo, X.; Xiong, Z.; Hu, M. Orbitally driven low thermal conductivity of monolayer gallium nitride (GaN) with planar honeycomb structure: A comparative study. Nanoscale 2017, 9, 4295–4309. [Google Scholar] [CrossRef] [PubMed]
- Kraus, A.O.; Portugal, G.R.; Arantes, J.T. Modulation of band alignment with water redox potentials by biaxial strain on orthorhombic NaTaO3 thin films. Phys. Chem. Chem. Phys. 2020, 22, 23810–23815. [Google Scholar] [CrossRef] [PubMed]











| Monolayer | a = b | Sc-H | Sc-X | IP | EA | |
|---|---|---|---|---|---|---|
| (Å) | (Å) | (Å) | (eV) | (eV) | (eV) | |
| ScHBr2 | 3.62 | 2.08 | 2.78 | 6.35 | 5.99 | 3.37 |
| 6.42 a | 5.23 a | 4.03 a | ||||
| 6.09 b | 4.61 c | 3.62 b | ||||
| ScHI2 | 3.82 | 2.20 | 2.99 | 5.62 | 5.40 | 3.13 |
| Monolayer | C11 = C22 | C12 | C66 |
|---|---|---|---|
| ScHBr2 | 29.95 | 8.07 | 10.94 |
| ScHI2 | 25.07 | 7.57 | 8.75 |
| Strain | % | ScHBr2 | ScHI2 | ||
|---|---|---|---|---|---|
| Electron | Hole | Electron | Hole | ||
| Compressive | 7% | 1.09 | −1.05 | 0.77 | −1.09 |
| Compressive | 5% | 1.48 | −0.63 | 0.91 | −1.32 |
| Compressive | 3% | 1.58 | −0.65 | 1.11 | −1.52 |
| Compressive | 1% | 1.67 | −0.77 | 1.45 | −1.68 |
| Pristine | 0% | 2.87 | −0.98 | 1.57 | −0.51 |
| Tensile | 1% | 2.38 | −0.65 | 1.94 | −0.53 |
| Tensile | 3% | 0.95 | −0.72 | 2.66 | −0.61 |
| Tensile | 5% | 0.65 | −0.76 | 0.44 | −0.69 |
| Tensile | 7% | 0.83 | −0.86 | 0.48 | −0.78 |
Disclaimer/Publisher’s Note: The statements, opinions and data contained in all publications are solely those of the individual author(s) and contributor(s) and not of MDPI and/or the editor(s). MDPI and/or the editor(s) disclaim responsibility for any injury to people or property resulting from any ideas, methods, instructions or products referred to in the content. |
© 2024 by the authors. Licensee MDPI, Basel, Switzerland. This article is an open access article distributed under the terms and conditions of the Creative Commons Attribution (CC BY) license (https://creativecommons.org/licenses/by/4.0/).
Share and Cite
Rawat, A.; Pandey, R. Strain and Substrate-Induced Electronic Properties of Novel Mixed Anion-Based 2D ScHX2 (X = I/Br) Semiconductors. Nanomaterials 2024, 14, 1390. https://doi.org/10.3390/nano14171390
Rawat A, Pandey R. Strain and Substrate-Induced Electronic Properties of Novel Mixed Anion-Based 2D ScHX2 (X = I/Br) Semiconductors. Nanomaterials. 2024; 14(17):1390. https://doi.org/10.3390/nano14171390
Chicago/Turabian StyleRawat, Ashima, and Ravindra Pandey. 2024. "Strain and Substrate-Induced Electronic Properties of Novel Mixed Anion-Based 2D ScHX2 (X = I/Br) Semiconductors" Nanomaterials 14, no. 17: 1390. https://doi.org/10.3390/nano14171390
APA StyleRawat, A., & Pandey, R. (2024). Strain and Substrate-Induced Electronic Properties of Novel Mixed Anion-Based 2D ScHX2 (X = I/Br) Semiconductors. Nanomaterials, 14(17), 1390. https://doi.org/10.3390/nano14171390

