Analysis of 3D Channel Current Noise in Small Nanoscale MOSFETs Using Monte Carlo Simulation
Abstract
1. Introduction
2. Monte Carlo Simulation
2.1. Scattering Mechanisms
2.2. Device Simulator Detail
3. Results and Discussion
3.1. Device Structure
3.2. Physical Parameter
3.3. Simulation Program
- Scattering-table: responsible for storing scattering types and calculating scattering rates.
- Initialize-doping-potential: responsible for reading the input parameters and initializing the doping potential of the device.
- Poisson: solving for the potential distribution in the channel area of a device.
- Apply-voltage: applying external voltage conditions to the device.
- Electron-initialize: initializes the carrier distribution and randomly generates carrier real space and K-space coordinates in the carrier information matrix.
- Injection-3D: realization of source region carrier injection.
- Free-flight-scatter: acts as the main program and handles carrier transfer.
- Delete-particles: removes carriers from outgoing devices.
- Update-potential-field: calculations update dynamic electric field and potential.
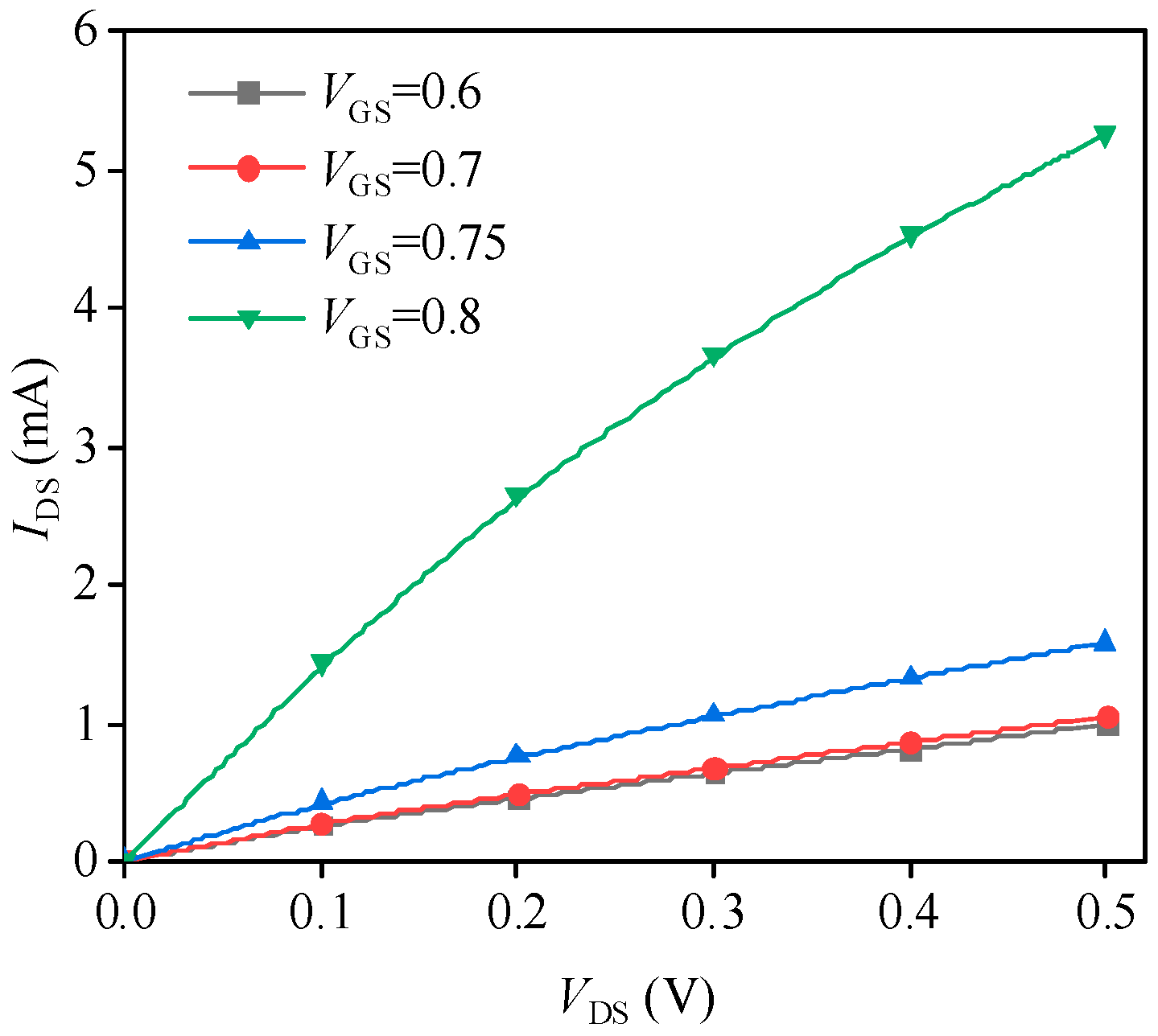
3.4. Static Tests
3.5. The Impact of Bias Voltage on Channel Noise
3.6. Effect of Temperature and Doping Density on Channel Noise
4. Conclusions
Author Contributions
Funding
Data Availability Statement
Acknowledgments
Conflicts of Interest
References
- Park, S.; Ha, J.; Khan, M.F.; Im, C.; Park, J.Y.; Yoo, S.H.; Rehman, M.A.; Kang, K.; Lee, S.H.; Jun, S.C. Pronounced optoelectronic effect in n–n ReS2 homostructure. ACS Appl. Electron. Mater. 2022, 4, 4306–4315. [Google Scholar] [CrossRef]
- Elahi, E.; Rabeel, M.; Rehman, S.; Khan, M.A.; Aziz, J.; Abubakr, M.; Rehman, M.A.; Khan, S.A.; Wabaidur, S.M.; Karim, M.R.; et al. Enhanced near infrared and gate tunable photoresponse of MoSe2 transistor enabled by 2D hetero contact engineering. Opt. Mater. 2024, 154, 115763. [Google Scholar] [CrossRef]
- Jia, X.; Cheng, Z.; Song, Y.; Zhang, Y.; Ye, Y.; Li, M.; Cheng, X.; Xu, W.; Li, Y.; Dai, L. Nanoscale Channel Length MoS2 Vertical Field-Effect Transistor Arrays with Side-Wall Source/Drain Electrodes. ACS Appl. Mater. Interfaces 2024, 16, 16544–16552. [Google Scholar] [CrossRef] [PubMed]
- Zulfiqar, I.; Gul, S.; Sohail, H.A.; Rabani, I.; Gul, S.; Rehman, M.A.; Wabaidur, S.M.; Yasir, M.; Ullah, I.; Khan, M.A.; et al. Single flake homo p–n diode of MoTe2 enabled by oxygen plasma doping. Nanotechnol. Rev. 2024, 13, 20230207. [Google Scholar] [CrossRef]
- Cao, W.; Bu, H.; Vinet, M.; Cao, M.; Takagi, S.; Hwang, S.; Ghani, T.; Banerjee, K. The future transistors. Nature 2023, 620, 501–515. [Google Scholar] [CrossRef] [PubMed]
- Zhang, Q.; Zhang, Y.; Luo, Y.; Yin, H. New structure transistors for advanced technology node CMOS ICs. Natl. Sci. Rev. 2024, 11, nwae008. [Google Scholar] [CrossRef] [PubMed]
- Wu, F.; Tian, H.; Shen, Y.; Hou, Z.; Ren, J.; Gou, G.; Sun, Y.; Yang, Y.; Ren, T.L. Vertical MoS2 transistors with sub-1-nm gate lengths. Nature 2022, 603, 259–264. [Google Scholar] [CrossRef] [PubMed]
- Yang, H.; Robitaille, M.; Chen, X.; Elgabra, H.; Wei, L.; Kim, N.Y. Random Telegraph Noise of a 28-nm Cryogenic MOSFET in the Coulomb Blockade Regime. IEEE Electron Device Lett. 2022, 43, 5–8. [Google Scholar] [CrossRef]
- Jindal, R. Hot-electron effects on channel thermal noise in fine-line NMOS field-effect transistors. IEEE Trans. Electron Devices 1986, 33, 1395–1397. [Google Scholar] [CrossRef]
- Zhang, M.; Yao, R.-H.; Liu, Y.-R. A channel thermal noise model of nanoscaled metal-oxide-semiconductor field-effect transistor. Acta Phys. Sin. 2020, 69, 057101. [Google Scholar] [CrossRef]
- Zhang, M.; Yao, R.-H.; Liu, Y.-R.; Geng, K.-W. Shot noise model of the short channel metal-oxide-semiconductor field-effect transistor. Acta Phys. Sin. 2020, 69, 177102. [Google Scholar] [CrossRef]
- Jia, X.-F.; Wei, Q.; Zhang, W.-P.; He, L.; Wu, Z.-H. Analysis of thermal noise characteristics in 10 nm metal oxide semiconductor field effect transistor. Acta Phys. Sin. 2023, 72, 227303. [Google Scholar] [CrossRef]
- Jia, X.; Wei, Q.; Zhang, W.; He, L.; Wu, Z. Modeling of non-intrinsic noise in nanometer metal oxide semiconductor field effect transistors. J. Appl. Phys. 2024, 135, 035704. [Google Scholar] [CrossRef]
- Chih-Hung, C.; Deen, M.J.; Yuhua, C.; Matloubian, M. Extraction of the induced gate noise, channel noise, and their correlation in submicron MOSFETs from RF noise measurements. IEEE Trans. Electron Devices 2001, 48, 2884–2892. [Google Scholar] [CrossRef]
- Liu, W.; Padovani, A.; Larcher, L.; Raghavan, N.; Pey, K.L. Analysis of Correlated Gate and Drain Random Telegraph Noise in Post-Soft Breakdown TiN/HfLaO/SiOx nMOSFETs. IEEE Electron Device Lett. 2014, 35, 157–159. [Google Scholar] [CrossRef]
- Klaassen, F.M. On the influence of hot carrier effects on the thermal noise of field-effect transistors. IEEE Trans. Electron Devices 1970, 17, 858–862. [Google Scholar] [CrossRef]
- Isobe, Y.; Hara, K.; Navarro, D.; Takeda, Y.; Ezaki, T.; Miura-Mattausch, M. Shot noise modeling in metal-oxide-semiconductor field effect transistors under sub-threshold condition. IEICE Trans. Electron. 2007, 90, 885–894. [Google Scholar] [CrossRef][Green Version]
- Duncan, A.R.U.; Jakumeit, J. Full-band Monte Carlo investigation of hot carrier trends in the scaling of metal-oxide-semiconductor field-effect transistors. IEEE Trans. Electron Devices 1998, 45, 867–876. [Google Scholar] [CrossRef]
- Gruzinskis, V.; Kersulis, S.; Reklaitis, A. An efficient Monte Carlo particle technique for two-dimensional transistor modelling. Semicond. Sci. Technol. 1991, 6, 602. [Google Scholar] [CrossRef]
- Jakumeit, J.; Ravaioli, U.J. Semiconductor transport simulation with the local iterative Monte Carlo technique. IEEE Trans. Electron Devices 2001, 48, 946–955. [Google Scholar] [CrossRef]
- Winstead, B.; Ravaioli, U. A quantum correction based on schrodinger equation applied to Monte Carlo device simulation. IEEE Trans. Electron Devices 2003, 50, 440–446. [Google Scholar] [CrossRef]
- Jacoboni, C.; Lugli, P. The Monte Carlo Method for Semiconductor Device Simulation; Springer: Vienna, Austria; New York, NY, USA, 1989; pp. 104–461. [Google Scholar] [CrossRef]
- Gaddemane, G.; Van de Put, M.L.; Vandenberghe, W.G.; Chen, E.; Fischetti, M.V. Monte Carlo analysis of phosphorene nanotransistors. J. Comput. Electron. 2021, 20, 60–69. [Google Scholar] [CrossRef]
- Kathawala, G.A.; Winstead, B.; Ravaioli, U. Monte Carlo simulations of double-gate MOSFETs. IEEE Trans. Electron Devices 2003, 50, 2467–2473. [Google Scholar] [CrossRef]
- Chen, Y.; Jo, M.; Mohamed, M.; Xu, R. Monte Carlo analysis of dynamic characteristics and high-frequency noise performances of nanoscale double-gate MOSFETs. Int. J. Numer. Model. 2014, 27, 10–21. [Google Scholar] [CrossRef]
- Camargo, V.V.A.; Rossetto, A.C.J.; Vasileska, D.; Wirth, G.I. 3-D Monte Carlo device simulator for variability modeling of p-MOSFETs. J. Comput. Electron. 2020, 19, 668–676. [Google Scholar] [CrossRef]
- Jakumeit, J.; Ravaioli, U. Local Iterative Monte Carlo investigation of the influence of electron-electron scattering on short channel Si-MOSFETs. In Proceedings of the Simulation of Semiconductor Processes and Devices; Spinger: Vienna, Austria, 2001. [Google Scholar] [CrossRef]
- Oriols, X.; Fernandez-Diaz, E.; Alvarez, A.; Alarcón, A. An electron injection model for time-dependent simulators of nanoscale devices with electron confinement: Application to the comparison of the intrinsic noise of 3D-, 2D-and 1D-ballistic transistors. Solid-State Electron. 2007, 51, 306–319. [Google Scholar] [CrossRef]
- Mugnaini, G.; Iannaccone, G. Channel noise modelling of nanoMOSFETs in a partially ballistic transport regime. J. Comput. Electron. 2006, 5, 91–95. [Google Scholar] [CrossRef]
- Palestri, P.; Esseni, D.; Eminente, S.; Fiegna, C.; Sangiorgi, E.; Selmi, L. Understanding quasi-ballistic transport in nano-MOSFETs: Part I-scattering in the channel and in the drain. IEEE Trans. Electron Devices 2005, 52, 2727–2735. [Google Scholar] [CrossRef]
- Eminente, S.; Esseni, D.; Palestri, P.; Fiegna, C.; Selmi, L.; Sangiorgi, E. Understanding quasi-ballistic transport in nano-MOSFETs: Part II-Technology scaling along the ITRS. IEEE Trans. Electron Devices 2005, 52, 2736–2743. [Google Scholar] [CrossRef]
- Jia, X.-F.; Du, L.; Tang, D.-H.; Wang, T.-L.; Chen, W.-H. Research on shot noise suppression in quasi-ballistic transport nano-mOSFET. Acta Phys. Sin. 2012, 61, 127202. [Google Scholar] [CrossRef]
- Chen, X.; Chen, C.H.; Lee, R. Fast Evaluation of the High-Frequency Channel Noise in Nanoscale MOSFETs. IEEE Trans. Electron Devices 2018, 65, 1502–1509. [Google Scholar] [CrossRef]
- Jeon, J.; Lee, J.; Kim, J.; Park, C.H.; Lee, H.; Oh, H. The first observation of shot noise characteristics in 10-nm scale MOSFETs. In Proceedings of the 2009 Symposium on VLSI Technology, Kyoto, Japan, 15–17 June 2009. [Google Scholar]
- Ren, Z.; Lundstrom, M. Simulation of nanoscale MOSFETs: A scattering theory interpretation. Superlattices Microstruct. 2000, 27, 177–189. [Google Scholar] [CrossRef]










| Parameters | Numerical Value |
|---|---|
| 0.0579 eV | |
| 108 eV/cm | |
| 9.0 eV | |
| 1010 cm−3 | |
| 10−31 kg | |
| 10−23 J/K | |
| 10−19 C | |
| 1.69 × 107 N/cm2 | |
| 0.5 eV−1 | |
| Silicon Material Density | 2.239 g/cm3 |
| Silicon Forbidden Band Width | 1.119 eV |
Disclaimer/Publisher’s Note: The statements, opinions and data contained in all publications are solely those of the individual author(s) and contributor(s) and not of MDPI and/or the editor(s). MDPI and/or the editor(s) disclaim responsibility for any injury to people or property resulting from any ideas, methods, instructions or products referred to in the content. |
© 2024 by the authors. Licensee MDPI, Basel, Switzerland. This article is an open access article distributed under the terms and conditions of the Creative Commons Attribution (CC BY) license (https://creativecommons.org/licenses/by/4.0/).
Share and Cite
Zhang, W.; Wei, Q.; Jia, X.; He, L. Analysis of 3D Channel Current Noise in Small Nanoscale MOSFETs Using Monte Carlo Simulation. Nanomaterials 2024, 14, 1359. https://doi.org/10.3390/nano14161359
Zhang W, Wei Q, Jia X, He L. Analysis of 3D Channel Current Noise in Small Nanoscale MOSFETs Using Monte Carlo Simulation. Nanomaterials. 2024; 14(16):1359. https://doi.org/10.3390/nano14161359
Chicago/Turabian StyleZhang, Wenpeng, Qun Wei, Xiaofei Jia, and Liang He. 2024. "Analysis of 3D Channel Current Noise in Small Nanoscale MOSFETs Using Monte Carlo Simulation" Nanomaterials 14, no. 16: 1359. https://doi.org/10.3390/nano14161359
APA StyleZhang, W., Wei, Q., Jia, X., & He, L. (2024). Analysis of 3D Channel Current Noise in Small Nanoscale MOSFETs Using Monte Carlo Simulation. Nanomaterials, 14(16), 1359. https://doi.org/10.3390/nano14161359

