Substrate Charge Transfer Induced Ferromagnetism in MnSe/SrTiO3 Ultrathin Films
Abstract
1. Introduction
2. Materials and Methods
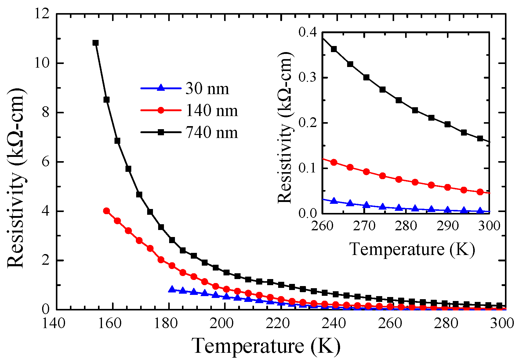
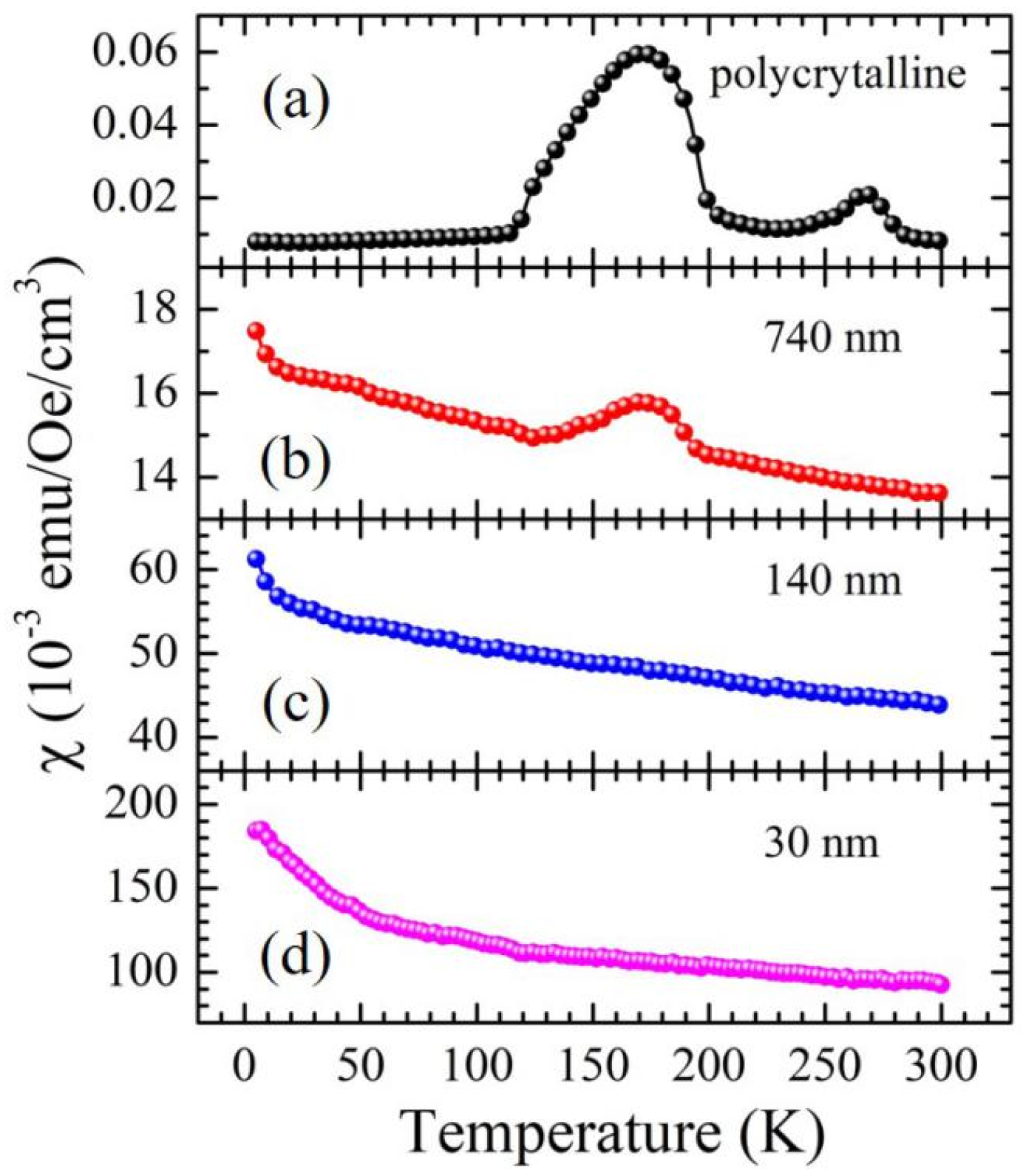
3. Results
4. Conclusions
Supplementary Materials
Author Contributions
Funding
Data Availability Statement
Conflicts of Interest
References
- Kamihara, Y.; Watanabe, T.; Hirano, M.; Hosono, H. Iron-based layered superconductor La[O1−xFx]FeAs (x = 0.05–0.12) with Tc = 26 K. J. Am. Chem. Soc. 2008, 130, 3296–3297. [Google Scholar] [CrossRef] [PubMed]
- Hsu, F.-C.; Luo, J.-Y.; Yeh, K.-W.; Chen, T.-K.; Huang, T.-W.; Wu, P.-M.; Lee, Y.-C.; Huang, Y.-L.; Chu, Y.-Y.; Yan, D.-C.; et al. Superconductivity in the PbO-type structure α-FeSe. Proc. Natl. Acad. Sci. USA 2008, 105, 14262–14264. [Google Scholar] [CrossRef] [PubMed]
- Rotter, M.; Pangerl, M.; Tegel, M.; Johrendt, D. Superconductivity and crystal structures of (Ba1−xKx)Fe2As2 (x = 0–1). Angew. Chem. Int. Ed. 2008, 47, 7949–7952. [Google Scholar] [CrossRef] [PubMed]
- Kimber, S.A.; Kreyssig, A.; Zhang, Y.Z.; Jeschke, H.O.; Valentí, R.; Yokaichiya, F.; Colombier, E.; Yan, J.Q.; Hansen, T.C.; Chatterji, T.; et al. Similarities between structural distortions under pressure and chemical doping in superconducting BaFe2As2. Nat. Mater. 2009, 8, 471–475. [Google Scholar] [CrossRef] [PubMed]
- Boller, H.; Kallel, A. First order crystallographic and magnetic phase transition in CrAs. Solid State Commun. 1971, 9, 1699–1706. [Google Scholar] [CrossRef]
- Selte, K.; Kjekshus, A.; Jamison, W.E.; Andresen, A.F.; Engebretsen, J.E.; Ehrenberg, L. Magnetic Structure and Properties of CrAs. J. Acta Chem. Scand. 1971, 25, 1703–1714. [Google Scholar] [CrossRef]
- Cheng, J.; Luo, J. Pressure-induced superconductivity in CrAs and MnP. J. Phys. Condens. Matter 2017, 29, 383003. [Google Scholar] [CrossRef] [PubMed]
- Huber, E.E., Jr.; Ridgley, D.H. Magnetic properties of a single crystal of manganese phosphide. Phys. Rev. 1964, 135, A1033. [Google Scholar] [CrossRef]
- Wu, W.; Cheng, J.; Matsubayashi, K.; Kong, P.; Lin, F.; Jin, C.; Wang, N.; Uwatoko, Y.; Luo, J. Superconductivity in the vicinity of antiferromagnetic order in CrAs. Nat. Commun. 2014, 5, 5508. [Google Scholar] [CrossRef]
- Cheng, J.G.; Matsubayashi, K.; Wu, W.; Sun, J.P.; Lin, F.K.; Luo, J.L.; Uwatoko, Y. Pressure induced superconductivity on the border of magnetic order in MnP. Phys. Rev. Let. 2015, 114, 117001. [Google Scholar] [CrossRef]
- Efrem D’Sa JB, C.; Bhobe, P.A.; Priolkar, K.R.; Das, A.; Krishna, P.R.; Sarode, P.R.; Prabhu, R.B. Low temperature magnetic structure of MnSe. Pramana 2004, 63, 227–232. [Google Scholar] [CrossRef]
- McCammon, C. Static compression of α-MnS at 298 K to 21 GPa. Phys. Chem. Miner. 1991, 17, 636–641. [Google Scholar] [CrossRef]
- Wang, Y.; Bai, L.; Wen, T.; Yang, L.; Gou, H.; Xiao, Y.; Chow, P.; Pravica, M.; Yang, W.; Zhao, Y. Giant pressure-driven lattice collapse coupled with intermetallic bonding and spin-state transition in manganese chalcogenides. Angew. Chem. Int. Ed. 2016, 55, 10350–10353. [Google Scholar] [CrossRef] [PubMed]
- Huang, C.H.; Wang, C.W.; Chang, C.C.; Lee, Y.C.; Huang, G.T.; Wang, M.J.; Wu, M.K. Anomalous magnetic properties in Mn (Se, S) system. J. Magn. Magn. Mater. 2019, 483, 205–211. [Google Scholar] [CrossRef]
- Hung, T.L.; Huang, C.H.; Deng, L.Z.; Ou, M.N.; Chen, Y.Y.; Wu, M.K.; Huyan, S.Y.; Chu, C.W.; Chen, P.J.; Lee, T.K. Pressure induced superconductivity in MnSe. Nat. Commun. 2021, 12, 5436. [Google Scholar] [CrossRef] [PubMed]
- Gantepogu, C.S.; Ganesan, P.; Paul, T.; Huang, C.H.; Chi, P.W.; Wu, M.K. Superconductivity in Ti2O3 films on MgO substrate. Supercond. Sci. Technol. 2022, 35, 64006. [Google Scholar] [CrossRef]
- Heimbrodt, W.; Goede, O.; Tschentscher, I.; Weinhold, V.; Klimakow, A.; Pohl, U.; Jacobs, K.; Hoffmann, N. Optical study of octahedrally and tetrahedrally coordinated MnSe. Physica B 1993, 185, 357–361. [Google Scholar] [CrossRef]
- Kanzyuba, V.; Dong, S.; Liu, X.; Li, X.; Rouvimov, S.; Okuno, H.; Mariette, H.; Zhang, X.; Ptasinska, S.; Tracy, B.D.; et al. Structural evolution of dilute magnetic (Sn, Mn) Se films grown by molecular beam epitaxy. J. Appl. Phys. 2017, 121, 75301. [Google Scholar] [CrossRef]
- O’Hara, D.J.; Zhu, T.; Trout, A.H.; Ahmed, A.S.; Luo, Y.K.; Lee, C.H.; Brenner, M.R.; Rajan, S.; Gupta, J.A.; McComb, D.W.; et al. Room temperature intrinsic ferromagnetism in epitaxial manganese selenide films in the monolayer limit. Nano Lett. 2018, 18, 3125–3131. [Google Scholar] [CrossRef]
- Aapro, M.; Huda, M.N.; Karthikeyan, J.; Kezilebieke, S.; Ganguli, S.C.; Herrero, H.G.; Huang, X.; Liljeroth, P.; Komsa, H.P. Synthesis and properties of monolayer MnSe with unusual atomic structure and antiferromagnetic ordering. ACS Nano 2021, 15, 13794. [Google Scholar] [CrossRef] [PubMed]
- Tomasini, P.; Haidoux, A.; Tedenac, J.C.; Maurin, M. Methylpentacarbonylmanganese as organometallic precursor for the epitaxial growth of manganese selenide heterostructures. J. Cryst. Growth 1998, 193, 572–576. [Google Scholar] [CrossRef]
- Suzuki, T.; Ishibe, I.; Nabetani, Y.; Kato, T.; Matsumoto, T. MBE growth of MnTe/ZnTe superlattices on GaAs (1 0 0) vicinal substrates. J. Cryst. Growth 2002, 237–239, 1374–1377. [Google Scholar] [CrossRef]
- Mahalingam, T.; Thanikaikarasan, S.; Dhanasekaran, V.; Kathalingam, A.; Velumani, S.; Rhee, J.K. Preparation and characterization of MnSe thin films. Mater. Sci. Eng. B 2010, 174, 257–262. [Google Scholar] [CrossRef]
- Kariper, İ.A. A new route to synthesize MnSe thin films by chemical bath deposition method. Mater. Res. 2018, 21, e20170215. [Google Scholar] [CrossRef]
- Giannozzi, P.; Baroni, S.; Bonini, N.; Calandra, M.; Car, R.; Cavazzoni, C.; Ceresoli, D.; Chiarotti, G.L.; Cococcioni, M.; Dabo, I.; et al. QUANTUM ESPRESSO: A modular and open-source software project for quantum simulations of materials. J. Phys. Condens. Matter 2009, 21, 395502. [Google Scholar] [CrossRef] [PubMed]
- Aplesnin, S.S.; Ryabinkina, L.I.; Romanova, O.B.; Balaev, D.A.; Demidenko, O.F.; Yanushkevich, K.I.; Miroshnichenko, N.S. Effect of the orbital ordering on the transport and magnetic properties of MnSe and MnTe. Phys. Solid State 2007, 49, 2080–2085. [Google Scholar] [CrossRef]
- Ito, T.; Ito, K.; Oka, M. Magnetic susceptibility, thermal expansion and electrical resistivity of MnSe. Jpn. J. Appl. Phys. 1978, 17, 371. [Google Scholar] [CrossRef]
- Angadi, M.A.; Thanigaimani, V. Electrical conduction in MnTe and MnSe films. Mater. Sci. Eng. B 1993, 21, L1–L4. [Google Scholar] [CrossRef]
- Das, K.; AhmedMir, I.; Ranjan, R.; Bohidar, H.B. Size-dependent magnetic properties of cubic-phase MnSe nanospheres emitting blue-violet fluorescence. Mater. Res. Express 2018, 5, 056106. [Google Scholar] [CrossRef]
- de Groot, F.M.; Fuggle, J.C.; Thole, B.T.; Sawatzky, G.A. 2p X-ray absorption of 3d transition-metal compounds: An atomic multiplet description including the crystal field. Phys. Rev. B 1990, 42, 5459. [Google Scholar] [CrossRef]
- Sato, H.; Senba, S.; Okuda, H.; Nakateke, M.; Furuta, A.; Ueda, Y.; Taniguchi, M.; Tanaka, A.; Jo, T. Mn 2p–3d resonant photoemission spectroscopy of MnY (Y = S, Se, Te). J. Electron Spectrosc. Relat. Phenom. 1998, 88–91, 425–428. [Google Scholar] [CrossRef]
- Sato, H.; Mihara, T.; Furuta, A.; Tamura, M.; Mimura, K.; Happo, N.; Taniguchi, M.; Ueda, Y. Chemical trend of occupied and unoccupied Mn 3 d states in Mn Y (Y = S, Se, Te). Phys. Rev. B 1997, 56, 7222. [Google Scholar] [CrossRef]
- Amiri, P.; Hashemifar, S.J.; Akbarzadeh, H. Density functional study of narrow cubic MnSe nanowires: Role of MnSe chains. Phys. Rev. B 2011, 83, 165424. [Google Scholar] [CrossRef]
- Heyd, J.; Scuseria, G.E.; Ernzerhof, M. Hybrid functionals based on a screened Coulomb potential. J. Chem. Phys. 2003, 118, 8207–8215. [Google Scholar] [CrossRef]
- Perdew, J.P.; Ernzerhof, M.; Burke, K. Rationale for mixing exact exchange with density functional approximations. J. Chem. Phys. 1996, 105, 9982–9985. [Google Scholar] [CrossRef]
- Hedin, L. New method for calculating the one-particle Green’s function with application to the electron-gas problem. Phys. Rev. 1965, 139, A796. [Google Scholar] [CrossRef]
- Hybertsen, M.S.; Louie, S.G. Electron correlation in semiconductors and insulators: Band gaps and quasiparticle energies. Phys. Rev. B 1986, 34, 5390. [Google Scholar] [CrossRef]
- Zhong, Z.; Hansmann, P. Band alignment and charge transfer in complex oxide interfaces. Phys. Rev. X 2017, 7, 011023. [Google Scholar] [CrossRef]
- Li, Y.; Hou, P.; Xi, Z.; Xu, Y.; Liu, Y.; Tian, H.; Li, J.; Yang, Y.; Deng, Y.; Wu, D. Charge transfer driving interfacial reconstructions in perovskite oxide heterostructures. Commun. Phys. 2023, 6, 70. [Google Scholar] [CrossRef]
- Decker, D.L.; Wild, R.L. Optical Properties of a–M nS e. Phys. Rev. B 1971, 4, 3425. [Google Scholar] [CrossRef]
- Youn, S.J.; Min, B.I.; Freeman, A.J. Crossroads electronic structure of MnS, MnSe, and MnTe. Phys. Status Solidi (B) 2004, 241, 1411–1414. [Google Scholar] [CrossRef]
- Zanatta, A.R. Revisiting the optical bandgap of semiconductors and the proposal of a unified methodology to its determination. Sci. Rep. 2019, 9, 11225. [Google Scholar] [CrossRef] [PubMed]
- Zheng, L.; Li, J.; Zhou, B.; Liu, H.; Bu, Z.; Chen, B.; Ang, R.; Li, W. Thermoelectric properties of p-type MnSe. J. Alloys Compd. 2019, 789, 953–959. [Google Scholar] [CrossRef]







Disclaimer/Publisher’s Note: The statements, opinions and data contained in all publications are solely those of the individual author(s) and contributor(s) and not of MDPI and/or the editor(s). MDPI and/or the editor(s) disclaim responsibility for any injury to people or property resulting from any ideas, methods, instructions or products referred to in the content. |
© 2024 by the authors. Licensee MDPI, Basel, Switzerland. This article is an open access article distributed under the terms and conditions of the Creative Commons Attribution (CC BY) license (https://creativecommons.org/licenses/by/4.0/).
Share and Cite
Huang, C.-H.; Gantepogu, C.S.; Chen, P.-J.; Wu, T.-H.; Liu, W.-R.; Lin, K.-H.; Chen, C.-L.; Lee, T.-K.; Wang, M.-J.; Wu, M.-K. Substrate Charge Transfer Induced Ferromagnetism in MnSe/SrTiO3 Ultrathin Films. Nanomaterials 2024, 14, 1355. https://doi.org/10.3390/nano14161355
Huang C-H, Gantepogu CS, Chen P-J, Wu T-H, Liu W-R, Lin K-H, Chen C-L, Lee T-K, Wang M-J, Wu M-K. Substrate Charge Transfer Induced Ferromagnetism in MnSe/SrTiO3 Ultrathin Films. Nanomaterials. 2024; 14(16):1355. https://doi.org/10.3390/nano14161355
Chicago/Turabian StyleHuang, Chun-Hao, Chandra Shekar Gantepogu, Peng-Jen Chen, Ting-Hsuan Wu, Wei-Rein Liu, Kung-Hsuan Lin, Chi-Liang Chen, Ting-Kuo Lee, Ming-Jye Wang, and Maw-Kuen Wu. 2024. "Substrate Charge Transfer Induced Ferromagnetism in MnSe/SrTiO3 Ultrathin Films" Nanomaterials 14, no. 16: 1355. https://doi.org/10.3390/nano14161355
APA StyleHuang, C.-H., Gantepogu, C. S., Chen, P.-J., Wu, T.-H., Liu, W.-R., Lin, K.-H., Chen, C.-L., Lee, T.-K., Wang, M.-J., & Wu, M.-K. (2024). Substrate Charge Transfer Induced Ferromagnetism in MnSe/SrTiO3 Ultrathin Films. Nanomaterials, 14(16), 1355. https://doi.org/10.3390/nano14161355

