Thermoplastic Polyurethane Derived from CO2 for the Cathode Binder in Li-CO2 Battery
Abstract
1. Introduction
2. Materials and Methods
2.1. Materials
2.2. Synthesis of CO2 Based TPU
2.3. Characterization
2.4. Preparation of CO2 Cathode
2.5. Fabrication of Li-CO2 Batteries
2.6. Linear Sweep Voltammetry (LSV)
2.7. Electrochemical Impedance Spectroscopy (EIS)
2.8. Battery Performance Test of Li-CO2 Batteries
2.9. Open Circuit Voltage Test
2.10. Deep Discharge Test
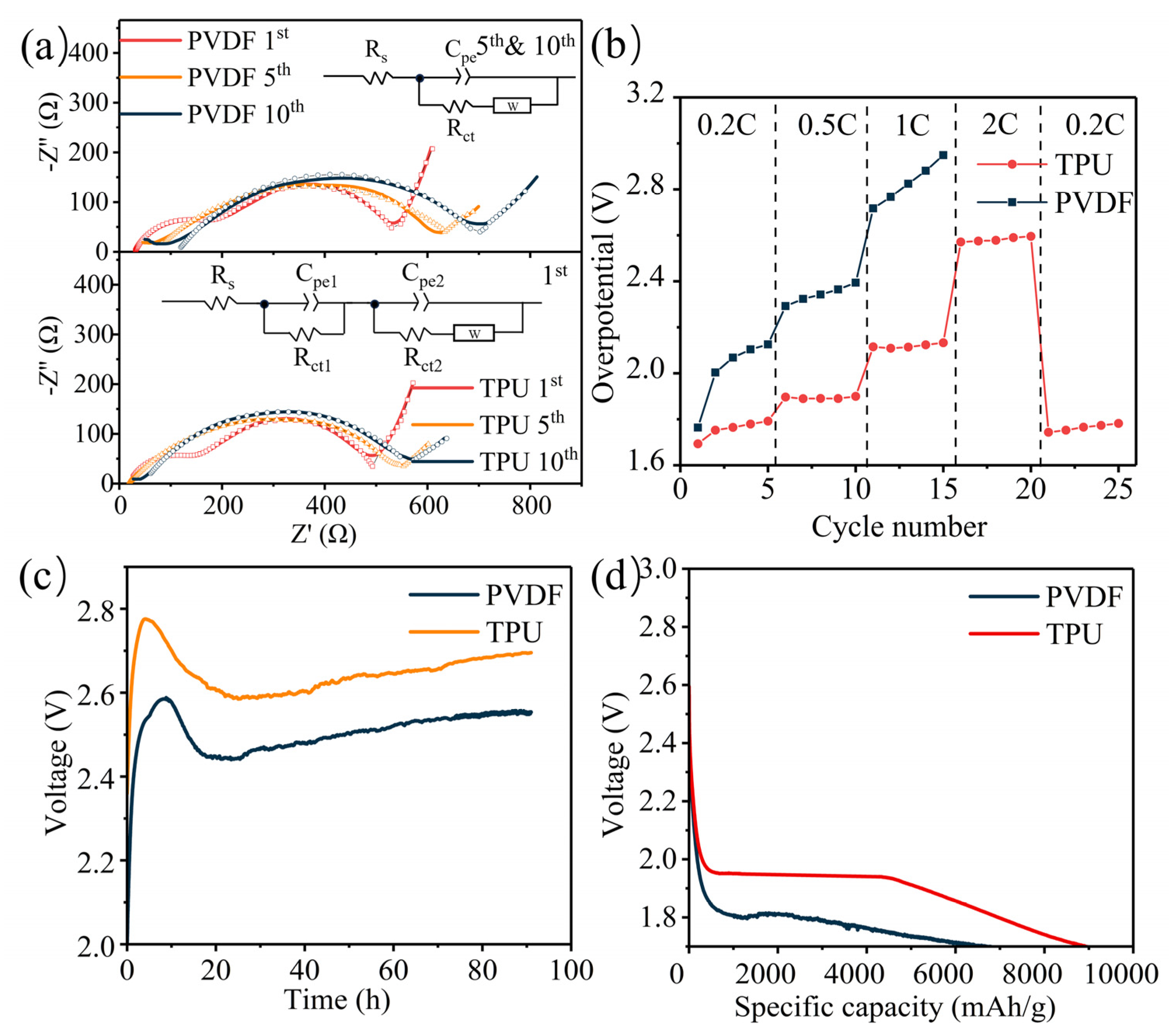
3. Results and Discussion
4. Conclusions
Author Contributions
Funding
Data Availability Statement
Conflicts of Interest
References
- Ahmadiparidari, A.; Warburton, R.E.; Majidi, L.; Asadi, M.; Chamaani, A.; Jokisaari, J.R.; Rastegar, S.; Hemmat, Z.; Sayahpour, B.; Assary, R.S.; et al. A Long-Cycle-Life Lithium–CO2 Battery with Carbon Neutrality. Adv. Mater. 2019, 31, 1902518. [Google Scholar] [CrossRef] [PubMed]
- Dan, B.; Li, L.; Li, S.; Liu, L.; Wang, Z.; Wang, D.; Liu, X. Halogenated Functional Electrolyte Additive for Li-CO2 Batteries. ACS Appl. Mater. Interfaces 2023, 15, 49116–49122. [Google Scholar] [CrossRef] [PubMed]
- Li, J.; Wang, L.; Zhao, Y.; Li, S.; Fu, X.; Wang, B.; Peng, H. Li-CO2 Batteries Efficiently Working at Ultra-Low Temperatures. Adv. Funct. Mater. 2020, 30, 2001619. [Google Scholar] [CrossRef]
- Sun, X.; Hou, Z.; He, P.; Zhou, H. Recent Advances in Rechargeable Li–CO2 Batteries. Energy Fuels 2021, 35, 9165–9186. [Google Scholar] [CrossRef]
- Wang, Y.; Li, S.; Li, L.; Dan, B.; Wang, D.; Liu, X. Minireview on Achieving Low Charge Overpotential in Li–CO2 Batteries with Advancing Cathode Materials and Electrolytes. Energy Fuels 2024, 38, 2743–2758. [Google Scholar] [CrossRef]
- Jaradat, A.; Ncube, M.K.; Papailias, I.; Rai, N.; Kumar, K.; Koverga, V.; Nemade, R.Y.; Zhang, C.; Shan, N.; Shahbazi, H.; et al. Fast Charge-Transfer Rates in Li-CO2 Batteries with a Coupled Cation-Electron Transfer Process. Adv. Energy Mater. 2024, 14, 2303467. [Google Scholar] [CrossRef]
- Hao, Q.Q.; Zhang, Z.; Mao, Y.; Wang, K.X. Catalysts for Li−CO2 Batteries: From Heterogeneous to Homogeneous. ChemNanoMat 2022, 8, e202100381. [Google Scholar] [CrossRef]
- Zhang, Z.; Zhang, Q.; Chen, Y.; Bao, J.; Zhou, X.; Xie, Z.; Wei, J.; Zhou, Z. The First Introduction of Graphene to Rechargeable Li–CO2 Batteries. Angew. Chem. Int. Ed. 2015, 54, 6550–6553. [Google Scholar] [CrossRef] [PubMed]
- Qiao, Y.; Yi, J.; Wu, S.; Liu, Y.; Yang, S.; He, P.; Zhou, H. Li-CO2 Electrochemistry: A New Strategy for CO2 Fixation and Energy Storage. Joule 2017, 1, 359–370. [Google Scholar] [CrossRef]
- Li, X.; Yang, S.; Feng, N.; He, P.; Zhou, H. Progress in research on Li–CO2 batteries: Mechanism, catalyst and performance. Chin. J. Catal. 2016, 37, 1016–1024. [Google Scholar] [CrossRef]
- Ma, W.; Lu, S.; Lei, X.; Liu, X.; Ding, Y. Porous Mn2O3 cathode for highly durable Li–CO2 batteries. J. Mater. Chem. A 2018, 6, 20829–20835. [Google Scholar] [CrossRef]
- Pipes, R.; Bhargav, A.; Manthiram, A. Nanostructured Anatase Titania as a Cathode Catalyst for Li-CO2 Batteries. ACS Appl. Mater. Interfaces 2018, 10, 37119–37124. [Google Scholar] [CrossRef] [PubMed]
- Goodarzi, M.; Nazari, F.; Illas, F. Assessing the Performance of Cobalt Phthalocyanine Nanoflakes as Molecular Catalysts for Li-Promoted Oxalate Formation in Li-CO2-Oxalate Batteries. J. Phys. Chem. C 2018, 122, 25776–25784. [Google Scholar] [CrossRef]
- Grillet, A.C.; Humplik, T.; Stirrup, E.K.; Barringer, D.A.; Mendoza, H.; Roberts, S.A.; Snyder, C.M.; Apblett, C.; Fenton, K.R.; Long, K.N. The Role of Composite Binder on Mechanics and Performance of Lithium Ion Battery Electrodes. In Proceedings of the 229th ECS Meeting, San Diego, CA, USA, 29 May–2 June 2016. [Google Scholar]
- Najafi, M.; Abedini, A. The critical role of polymeric binders on AgO cathodes in high rate batteries. Thin Solid Film. 2021, 721, 138532. [Google Scholar] [CrossRef]
- Zheng, T.; Yuan, W.; Langer, T.; Lund, I.; Lux, S.; Gentschev, A.-C.; Liu, G. Porous Silicon and Conductive Polymer Binder Composite Electrode for Lithium Ion Batteries with Stable Cycling. ECS Meet. Abstr. 2017; MA2017-01, 351. [Google Scholar]
- Eliseeva, S.N.; Kamenskii, M.A.; Tolstopyatova, E.G.; Kondratiev, V.V. Effect of Combined Conductive Polymer Binder on the Electrochemical Performance of Electrode Materials for Lithium-Ion Batteries. Energies 2020, 13, 2163. [Google Scholar] [CrossRef]
- Pillai, A.M.; Salini, P.S.; John, B.; Devassy, M.T. Aqueous Binders for Cathodes: A Lodestar for Greener Lithium Ion Cells. Energy Fuels 2022, 36, 5063–5087. [Google Scholar] [CrossRef]
- Markevich, E.; Salitra, G.; Aurbach, D. Influence of the PVDF binder on the stability of LiCoO2 electrodes. Electrochem. Commun. 2005, 7, 1298–1304. [Google Scholar] [CrossRef]
- Tran, H.Y.; Wohlfahrt-Mehrens, M.; Dsoke, S. Influence of the binder nature on the performance and cycle life of activated carbon electrodes in electrolytes containing Li-salt. J. Power Sources 2017, 342, 301–312. [Google Scholar] [CrossRef]
- Wen, L.; Guan, Z.; Liu, X.; Wang, L.; Wen, G.; Zhao, Y.; Pang, D.; Dou, R. Effect of Binder on Internal Resistance and Performance of Lithium Iron Phosphate Batteries. J. Electrochem. Soc. 2023, 170, 050527. [Google Scholar] [CrossRef]
- Huang, S.; Chen, D.; Meng, C.; Wang, S.; Ren, S.; Han, D.; Xiao, M.; Sun, L.; Meng, Y. CO2 Nanoenrichment and Nanoconfinement in Cage of Imine Covalent Organic Frameworks for High-Performance CO2 Cathodes in Li-CO2 Batteries. Small 2019, 15, 1904830. [Google Scholar] [CrossRef]
- Lu, Z.; Xiao, M.; Wang, S.; Han, D.; Huang, Z.; Huang, S.; Meng, Y. A rechargeable Li–CO2 battery based on the preservation of dimethyl sulfoxide. J. Mater. Chem. A 2022, 10, 13821–13828. [Google Scholar] [CrossRef]
- Huy, V.P.H.; So, S.; Kim, I.T.; Hur, J. Self-healing gallium phosphide embedded in a hybrid matrix for high-performance Li-ion batteries. Energy Storage Mater. 2021, 34, 669–681. [Google Scholar] [CrossRef]
- Qin, J.; Jiang, J.; Ye, S.; Wang, S.; Xiao, M.; Tao, Y.; Jie, G.; Meng, Y. High performance poly(urethane-co-amide) from CO2-based dicarbamate: An alternative to long chain polyamide. RSC Adv. 2019, 9, 26080–26090. [Google Scholar] [CrossRef] [PubMed]
- Zhao, T.; Chen, S.; Huang, X.; Yin, J.; Wang, S.; Han, D.; Huang, S.; Huang, Z.; Xiao, M.; Meng, Y. Metal-Free Synthesis of Biodegradable CO2-Based Oligo(carbonate-ester) Diols as Building Blocks for Thermoplastic Polyurethanes. ACS Appl. Polym. Mater. 2024, 6, 1813–1822. [Google Scholar] [CrossRef]
- Xu, Y.; Lin, L.; Xiao, M.; Wang, S.; Smith, A.T.; Sun, L.; Meng, Y. Synthesis and properties of CO2-based plastics: Environmentally-friendly, energy-saving and biomedical polymeric materials. Prog. Polym. Sci. 2018, 80, 163–182. [Google Scholar] [CrossRef]
- Huang, X.; Alferov, K.; Zhao, T.; Yin, J.; Wang, S.; Han, D.; Huang, S.; Huang, Z.; Xiao, M.; Meng, Y. Facile and direct synthesis of oligocarbonate diols from carbon dioxide and their application as sustainable feedstock for polyurethane. J. CO2 Util. 2023, 75, 102571. [Google Scholar] [CrossRef]
- Lu, M.; Huang, S.; Chen, S.; Ju, Q.; Xiao, M.; Peng, X.; Wang, S.; Meng, Y. Transparent and super-gas-barrier PET film with surface coated by a polyelectrolyte and Borax. Polym. J. 2018, 50, 239–250. [Google Scholar] [CrossRef]
- Huang, X.; Zhao, T.; Xiao, M.; Wang, S.; Han, D.; Huang, S.; Meng, Y. Synthesis and application of CO2-based polycarbonate polyols and their polyurethanes. Chin. Sci. Bull. 2024, 23, 074X. [Google Scholar]
- Rhys, N.; Gillams, R.; Collins, L.; Callear, S.; Lawrence, J.; McLain, S. On the structure of an aqueous propylene glycol solution. J. Chem. Phys. 2016, 145, 224504. [Google Scholar] [CrossRef]
- Yang, P.-C.; Lee, Y.-T.; Tsai, Y.-T.; Huang, C.-F.; Pan, Y.-T.; Tsai, D.-H. Oxidative carbonylation of propylene glycol to propylene carbonate by copper-based catalysts. J. Taiwan Inst. Chem. Eng. 2024, 158, 105005. [Google Scholar] [CrossRef]
- Kim, S.J.; Kwak, H.W.; Kwon, S.; Jang, H.; Park, S.-i. Characterization of PLA/PBSeT Blends Prepared with Various Hexamethylene Diisocyanate Contents. Materials 2021, 14, 197. [Google Scholar] [CrossRef]
- Hu, J.; Chen, Z.; He, Y.; Huang, H.; Zhang, X. Synthesis and structure investigation of hexamethylene diisocyanate (HDI)-based polyisocyanates. Res. Chem. Intermed. 2017, 43, 2799–2816. [Google Scholar] [CrossRef]
- Karimi, M.B.; Khanbabaei, G.; Sadeghi, G.M.M. Vegetable oil-based polyurethane membrane for gas separation. J. Membr. Sci. 2017, 527, 198–206. [Google Scholar] [CrossRef]
- Yu, K.; Xin, A.; Feng, Z.; Lee, K.H.; Wang, Q. Mechanics of self-healing thermoplastic elastomers. J. Mech. Phys. Solids 2020, 137, 103831. [Google Scholar] [CrossRef]
- Mu, X.; He, P.; Zhou, H. Toward Practical Li–CO2 Batteries: Mechanisms, Catalysts, and Perspectives. Acc. Mater. Res. 2024, 5, 467–478. [Google Scholar] [CrossRef]
- Zhang, X.; Wang, Y.; Li, Y. Reversible and irreversible reaction mechanisms of Li–CO2 batteries. Chem. Sci. 2024, 15, 4804–4810. [Google Scholar] [CrossRef]
- Mushtaq, M.; Guo, X.-W.; Bi, J.-P.; Wang, Z.-X.; Yu, H.-J. Polymer electrolyte with composite cathode for solid-state Li–CO2 battery. Rare Met. 2018, 37, 520–526. [Google Scholar] [CrossRef]
- Lim, H.-D.; Lee, B.; Bae, Y.; Park, H.; Ko, Y.; Kim, H.; Kim, J.; Kang, K. Reaction chemistry in rechargeable Li–O2 batteries. Chem. Soc. Rev. 2017, 46, 2873–2888. [Google Scholar] [CrossRef] [PubMed]
- Li, W.; Zhang, M.; Sun, X.; Sheng, C.; Mu, X.; Wang, L.; He, P.; Zhou, H. Boosting a practical Li-CO2 battery through dimerization reaction based on solid redox mediator. Nat. Commun. 2024, 15, 803. [Google Scholar] [CrossRef]
- Bie, S.; Du, M.; He, W.; Zhang, H.; Yu, Z.; Liu, J.; Liu, M.; Yan, W.; Zhou, L.; Zou, Z. Carbon Nanotube@RuO2 as a High Performance Catalyst for Li–CO2 Batteries. ACS Appl. Mater. Interfaces 2019, 11, 5146–5151. [Google Scholar] [CrossRef]
- Yu, W.; Yu, Z.; Cui, Y.; Bao, Z. Degradation and Speciation of Li Salts during XPS Analysis for Battery Research. ACS Energy Lett. 2022, 7, 3270–3275. [Google Scholar] [CrossRef]
- Jiao, S.; Ren, X.; Cao, R.; Engelhard, M.H.; Liu, Y.; Hu, D.; Mei, D.; Zheng, J.; Zhao, W.; Li, Q.; et al. Stable cycling of high-voltage lithium metal batteries in ether electrolytes. Nat. Energy 2018, 3, 739–746. [Google Scholar] [CrossRef]
- Li, S.; Dong, Y.; Zhou, J.; Liu, Y.; Wang, J.; Gao, X.; Han, Y.; Qi, P.; Wang, B. Carbon dioxide in the cage: Manganese metal–organic frameworks for high performance CO2 electrodes in Li–CO2 batteries. Energy Environ. Sci. 2018, 11, 1318–1325. [Google Scholar] [CrossRef]
- Ma, S.; Yao, H.; Lei, D.; Guo, X.; Lu, Y.; Liu, Q.; Li, Z. Tailoring the components and morphology of discharge products towards highly rechargeable Li–CO/CO2 batteries. Chem. Commun. 2018, 54, 8072–8075. [Google Scholar] [CrossRef]
- Wang, J.; Tian, S.; Lin, Y.; Song, H.; Feng, N.; Yang, G.; Zhao, Q. Recent advancement in designing catalysts for rechargeable Li–CO2 batteries. Catal. Sci. Technol. 2024, 14, 2991–3000. [Google Scholar] [CrossRef]









Disclaimer/Publisher’s Note: The statements, opinions and data contained in all publications are solely those of the individual author(s) and contributor(s) and not of MDPI and/or the editor(s). MDPI and/or the editor(s) disclaim responsibility for any injury to people or property resulting from any ideas, methods, instructions or products referred to in the content. |
© 2024 by the authors. Licensee MDPI, Basel, Switzerland. This article is an open access article distributed under the terms and conditions of the Creative Commons Attribution (CC BY) license (https://creativecommons.org/licenses/by/4.0/).
Share and Cite
Wu, H.; Huang, X.; Xiao, M.; Wang, S.; Han, D.; Huang, S. Thermoplastic Polyurethane Derived from CO2 for the Cathode Binder in Li-CO2 Battery. Nanomaterials 2024, 14, 1269. https://doi.org/10.3390/nano14151269
Wu H, Huang X, Xiao M, Wang S, Han D, Huang S. Thermoplastic Polyurethane Derived from CO2 for the Cathode Binder in Li-CO2 Battery. Nanomaterials. 2024; 14(15):1269. https://doi.org/10.3390/nano14151269
Chicago/Turabian StyleWu, Haobin, Xin Huang, Min Xiao, Shuanjin Wang, Dongmei Han, and Sheng Huang. 2024. "Thermoplastic Polyurethane Derived from CO2 for the Cathode Binder in Li-CO2 Battery" Nanomaterials 14, no. 15: 1269. https://doi.org/10.3390/nano14151269
APA StyleWu, H., Huang, X., Xiao, M., Wang, S., Han, D., & Huang, S. (2024). Thermoplastic Polyurethane Derived from CO2 for the Cathode Binder in Li-CO2 Battery. Nanomaterials, 14(15), 1269. https://doi.org/10.3390/nano14151269

