Optically Active Oxygen Defects in Titanium Dioxide Doped with Inorganic Acid Ions
Abstract
1. Introduction
2. Experiments and Methods
2.1. Catalyst Preparation
2.1.1. Sol–Gel Preparation
2.1.2. Catalyst Powders
2.1.3. Catalyst Electrode
2.2. Characterization
3. Influence of Preparation Process on Photocurrent
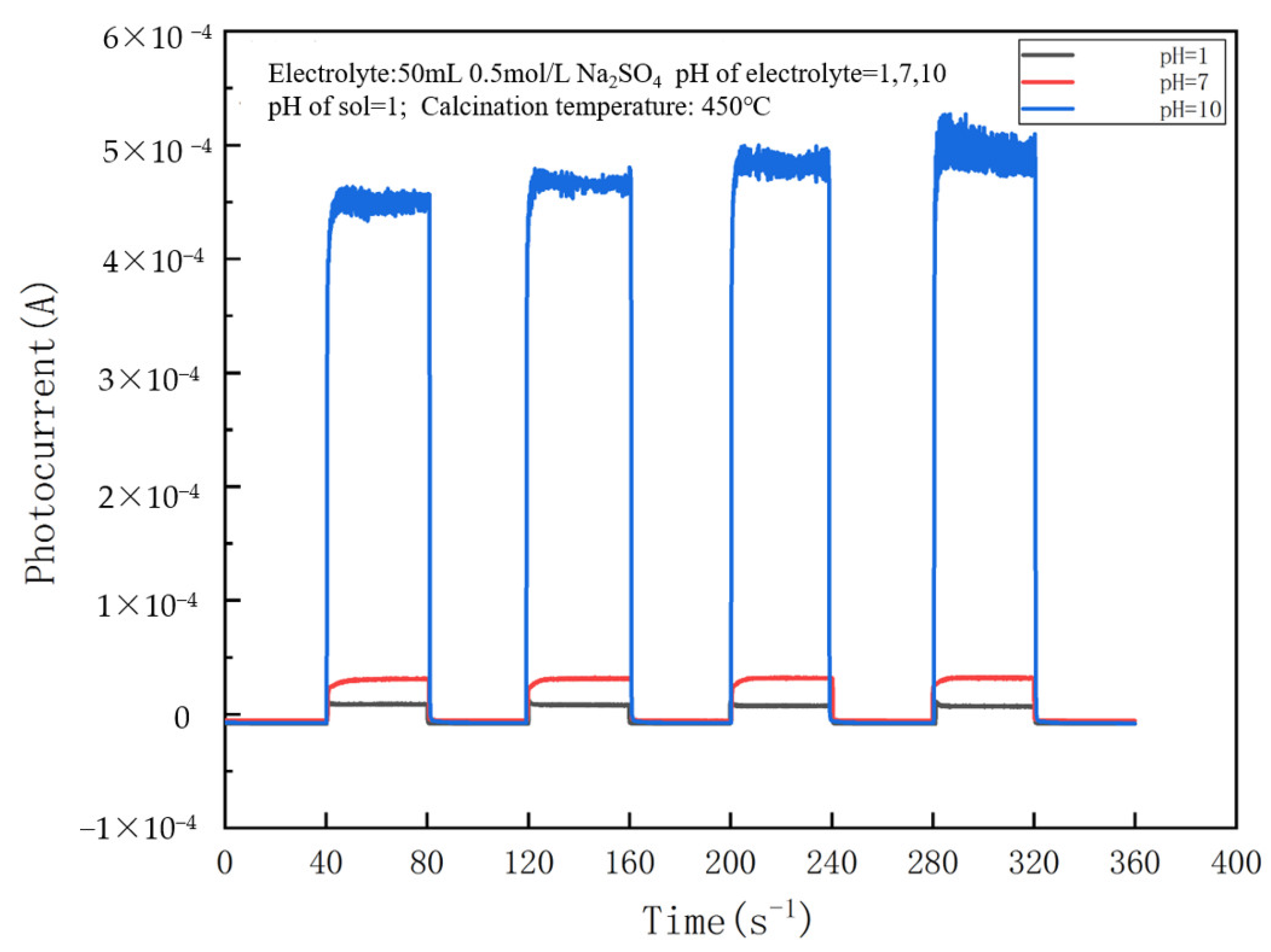
3.1. pH of the Electrolyte during Photocurrent Measurement
3.2. pH of the Solution during Sol–Gel Preparation
3.3. Mixed Crystal Effect
4. Results and Discussion
4.1. Sample Morphological Structure and Crystal Phase Type
4.2. Photocatalytic Current
4.3. Oxygen Defects
5. Conclusions
Author Contributions
Funding
Data Availability Statement
Conflicts of Interest
References
- Eibner, A. Action of light on pigments I. Chem.-Ztg. 1911, 35, 753–755. [Google Scholar]
- Fujishima, A.; Honda, K. Electrochemical photolysis of water at a semiconductor electrode. Nature 1972, 238, 37–38. [Google Scholar] [CrossRef]
- Barraud, E.; Bosc, F.; Edwards, D.; Keller, N.; Keller, V. Gas phase photocatalytic removal of toluene effluents on sulfated titania. J. Catal. 2005, 235, 318–326. [Google Scholar] [CrossRef]
- Yu, J.; Zhou, M.; Cheng, B.; Zhao, X. Preparation, characterization and photocatalytic activity of in situ N, S-codoped TiO2 powders. J. Mol. Catal. A-Chem. 2006, 246, 176–184. [Google Scholar] [CrossRef]
- Huang, H.; Zhang, T.; Cai, X.; Guo, Z.; Fan, S.; Zhang, Y.; Lin, C.; Gan, T.; Hu, H.; Huang, Z. In situ one-pot synthesis of C-decorated and Cl-doped sea-urchinlike rutile titanium dioxide with highly efficient visible-light photocatalytic activity. ACS Appl. Mater. Interfaces 2021, 13, 60337–60350. [Google Scholar] [CrossRef]
- Bento, R.T.; Correa, O.V.; Antunes, R.A.; Pillis, M.F. Surface properties enhancement by sulfur-doping TiO2 films. Mater. Res. Bull. 2021, 143, 111460. [Google Scholar] [CrossRef]
- Yang, R.; Li, W.; Chen, N. Reversible Chemisorption of Nitric Oxide in the Presence of Oxygen on Titania and Titania Modified with Surface Sulfate. Appl. Catal. A Gen. 1998, 169, 215–225. [Google Scholar] [CrossRef]
- Wang, W.; Liu, Y.; Xue, T.; Li, J.; Chen, D.; Tao, Q. Mechanism and Kinetics of Titanium Hydrolysis in Concentrated Titanyl Sulfate Solution Based on Infrared and Raman Spectra. Chem. Eng. Sci. 2015, 134, 196–204. [Google Scholar] [CrossRef]
- Kittaka, S.; Matsuno, K.; Takahara, S. Transformation of Ultrafine Titanium Dioxide Particles from Rutile to Anatase at Negatively Charged Colloid Surfaces. J. Solid State Chem. 1997, 132, 447–450. [Google Scholar] [CrossRef]
- Parra, R.; Goes, M.S.; Castro, M.S.; Longo, E.; Bueno, P.R.; Varela, J.A. Reaction Pathway to the Synthesis of Anatase Via the Chemical Modification of Titanium Isopropoxide with Acetic Acid. Chem. Mater. 2008, 20, 143–150. [Google Scholar] [CrossRef]
- Cheng, H.; Ma, J.; Zhao, Z.; Qi, L. Hydrothermal preparation of uniform nano-size rutile and anatase particles. Chem. Mat. 1995, 7, 663–671. [Google Scholar] [CrossRef]
- Yamazaki, S.; Ichikawa, K.; Saeki, A.; Tanimura, T.; Adachi, K. Photocatalytic Degradation of Chlorinated Ethanes in the Gas Phase on the Porous TiO2 Pellets: Effect of Surface Acidity. J. Phys. Chem. A 2010, 114, 5092–5098. [Google Scholar] [CrossRef] [PubMed]
- Badr, A.; Abdelfettah, B. First-principles DFT investigation of the photocatalytic capability of Cl doped rutile TiO2 as a self-cleaning coating for photovoltaic panels. In Proceedings of the 2021 9th International Renewable and Sustainable Energy Conference (IRSEC), Tetouan, Morocco, 23–27 November 2021; pp. 1–6. [Google Scholar]
- Wang, Y.; Zhang, L.; Deng, K.; Chen, X.; Zou, Z. Low temperature synthesis and photocatalytic activity of rutile TiO2 nanorod superstructures. J. Phys. Chem. C 2007, 111, 2709–2714. [Google Scholar] [CrossRef]
- Addamo, M.; Augugliaro, V.; Di Paola, A.; Garcia-Lopez, E.; Loddo, V.; Marci, G.; Molinari, R.; Palmisano, L.; Schiavello, M. Preparation, characterization, and photoactivity of polycrystalline nanostructured TiO2 catalysts. J. Phys. Chem. B 2004, 108, 3303–3310. [Google Scholar] [CrossRef]
- Zhang, S.; Liu, C.; Liu, Y.; Zhang, Z.; Mao, L. Room temperature synthesis of nearly monodisperse rodlike rutile TiO2 nanocrystals. Mater. Lett. 2009, 63, 127–129. [Google Scholar] [CrossRef]
- Jung, K.; Park, S.B. Anatase-phase titania: Preparation by embedding silica and photocatalytic activity for the decomposition of trichloroethylene. J. Photochem. Photobiol. A-Chem. 1999, 127, 117–122. [Google Scholar] [CrossRef]
- Bacsa, R.R.; Gratzel, M. Rutile Formation in Hydrothermally Crystallized Nanosized Titania. J. Am. Ceram. Soc. 1996, 79, 2185–2188. [Google Scholar] [CrossRef]
- Bischoff, B.L.; Anderson, M.A. Peptization Process in the Sol-Gel Preparation of Porous Anatase TiO2. Chem. Mater. 1995, 7, 1772–1778. [Google Scholar] [CrossRef]
- Wang, H.; Hu, X.; Ma, Y.; Zhu, D.; Li, T.; Wang, J. Nitrate-groupgrafting-induced assembly of rutile TiO2 nano-bundles for enhanced photocatalytic hydrogen evolution. Chin. J. Catal. 2020, 41, 95–102. [Google Scholar] [CrossRef]
- Silva, C.G.; Faria, J.L. Effect of Key Operational Parameters on the Photocatalytic Oxidation of Phenol by Nanocrystalline Sol-Gel TiO2 under UV Irradiation. J. Mol. Catal. A Chem. 2009, 305, 147–154. [Google Scholar] [CrossRef]
- Kimling, M.C.; Caruso, R.A. Sol-Gel Synthesis of Hierarchically Porous TiO2 Beads Using Calcium Alginate Beads as Sacrificial Templates. J. Mater. Chem. 2012, 22, 4073–4082. [Google Scholar] [CrossRef]
- Wang, C.; Ying, J. Sol-gel synthesis and hydrothermal processing of anatase and rutile titania nanocrystals. Chem. Mat. 1999, 11, 3113–3120. [Google Scholar] [CrossRef]
- Guo, J.; Mao, L.; Zhang, J.; Feng, C. Role of Cl− ions in photooxidation of propylene on TiO2 surface. Appl. Surf. Sci. 2010, 256, 2132–2137. [Google Scholar] [CrossRef]
- He, Z.; Cai, Q.; Wu, M.; Shi, Y.; Fang, H.; Li, L.; Chen, J.; Chen, J.; Song, S. Photocatalytic Reduction of Cr (VI) in an Aqueous Suspension of Surface-Fluorinated Anatase TiO2 Nanosheets with Exposed {001} Facets. Ind. Eng. Chem. Res. 2013, 52, 9556–9565. [Google Scholar] [CrossRef]
- Cao, J.; Zhao, H.; Cao, F.; Zhang, J. The influence of F− doping on the activity of PbO2 film electrodes in oxygen evolution reaction. Electrochim. Acta 2007, 52, 7870–7876. [Google Scholar] [CrossRef]
- Payne, D.J.; Egdell, R.G.; Hao, W.; Foord, J.S.; Walsh, A.; Watson, G.W. Why is lead dioxide metallic? Chem. Phys. Lett. 2005, 411, 181–185. [Google Scholar] [CrossRef]
- Du, J.; Wu, Q.; Zhong, S.; Gu, X.; Liu, J.; Guo, H.; Zhang, W.; Peng, H.; Zou, J. Effect of Hydroxyl Groups on Hydrophilic and Photocatalytic Activities of Rare Earth Doped Titanium Dioxide Thin Films. J. Rare Earths 2015, 33, 148–153. [Google Scholar] [CrossRef]










| Material | Crystal Sizes (nm) |
|---|---|
| SO42−/TiO2 | 4.74 |
| Cl−/TiO2 | 5.03 |
| NO3−/TiO2 | 4.47 |
Disclaimer/Publisher’s Note: The statements, opinions and data contained in all publications are solely those of the individual author(s) and contributor(s) and not of MDPI and/or the editor(s). MDPI and/or the editor(s) disclaim responsibility for any injury to people or property resulting from any ideas, methods, instructions or products referred to in the content. |
© 2024 by the authors. Licensee MDPI, Basel, Switzerland. This article is an open access article distributed under the terms and conditions of the Creative Commons Attribution (CC BY) license (https://creativecommons.org/licenses/by/4.0/).
Share and Cite
Xu, B.; Duan, X.; Zhou, T.; Hao, J.; Qin, H.; Zhao, Y.; Ye, W.; Cao, J. Optically Active Oxygen Defects in Titanium Dioxide Doped with Inorganic Acid Ions. Nanomaterials 2024, 14, 1020. https://doi.org/10.3390/nano14121020
Xu B, Duan X, Zhou T, Hao J, Qin H, Zhao Y, Ye W, Cao J. Optically Active Oxygen Defects in Titanium Dioxide Doped with Inorganic Acid Ions. Nanomaterials. 2024; 14(12):1020. https://doi.org/10.3390/nano14121020
Chicago/Turabian StyleXu, Bin, Xuehui Duan, Tao Zhou, Jinliang Hao, Haotian Qin, Youcai Zhao, Wei Ye, and Jianglin Cao. 2024. "Optically Active Oxygen Defects in Titanium Dioxide Doped with Inorganic Acid Ions" Nanomaterials 14, no. 12: 1020. https://doi.org/10.3390/nano14121020
APA StyleXu, B., Duan, X., Zhou, T., Hao, J., Qin, H., Zhao, Y., Ye, W., & Cao, J. (2024). Optically Active Oxygen Defects in Titanium Dioxide Doped with Inorganic Acid Ions. Nanomaterials, 14(12), 1020. https://doi.org/10.3390/nano14121020

