Optical Absorption in Tilted Geometries as an Indirect Measurement of Longitudinal Plasma Waves in Layered Cuprates
Abstract
1. Introduction
2. Materials and Methods
3. Results
3.1. Anisotropic Linear Response of Layered System
3.2. Linear Response of Generalized Plasma Modes
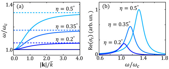
3.2.1. Effective Action Description of Plasma Modes
3.2.2. Interpretation of the Conductivity Peak of Plasmons
3.3. Fresnel Equations at Normal Incidence on a Tilted-Grown Sample
4. Discussion
Author Contributions
Funding
Data Availability Statement
Acknowledgments
Conflicts of Interest
Appendix A


References
- Nagaosa, N.; Heusler, S. Quantum Field Theory in Condensed Matter Physics; Texts and Monographs in Physics; Springer: New York, NY, USA, 1999. [Google Scholar]
- Anderson, P.W. Random-Phase Approximation in the Theory of Superconductivity. Phys. Rev. 1958, 112, 1900–1916. [Google Scholar] [CrossRef]
- Keimer, B.; Kivelson, S.A.; Norman, M.R.; Uchida, S.; Zaanen, J. From quantum matter to high-temperature superconductivity in copper oxides. Nature 2015, 518, 179–186. [Google Scholar] [CrossRef] [PubMed]
- Homes, C.C.; Timusk, T.; Liang, R.; Bonn, D.A.; Hardy, W.N. Optical conductivity of c axis oriented YBa2Cu3O6.70: Evidence for a pseudogap. Phys. Rev. Lett. 1993, 71, 1645–1648. [Google Scholar] [CrossRef] [PubMed]
- van der Marel, D.; Tsvetkov, A. Transverse optical plasmons in layered superconductors. Czechoslov. J. Phys. 1996, 46, 3165. [Google Scholar] [CrossRef]
- Shibata, H.; Yamada, T. Double Josephson Plasma Resonance in T* Phase SmLa1-xSrxCuO4-ffi. Phys. Rev. Lett. 1998, 81, 3519–3522. [Google Scholar] [CrossRef]
- Grüninger, M.; van der Marel, D.; Tsvetkov, A.A.; Erb, A. Observation of Out-of-Phase Bilayer Plasmons in YBa2Cu3O7-ffi. Phys. Rev. Lett. 2000, 84, 1575–1578. [Google Scholar] [CrossRef] [PubMed]
- van der Marel, D.; Tsvetkov, A.A. Transverse-optical Josephson plasmons: Equations of motion. Phys. Rev. B 2001, 64, 024530. [Google Scholar] [CrossRef]
- Dubroka, A.; Rössle, M.; Kim, K.W.; Malik, V.K.; Munzar, D.; Basov, D.N.; Schafgans, A.A.; Moon, S.J.; Lin, C.T.; Haug, D.; et al. Evidence of a Precursor Superconducting Phase at Temperatures as High as 180 K in RBa2Cu3O7-δ(R = Y, Gd, Eu) Superconducting Crystals from Infrared Spectroscopy. Phys. Rev. Lett. 2011, 106, 047006. [Google Scholar] [CrossRef] [PubMed]
- Stinson, H.T.; Wu, J.S.; Jiang, B.Y.; Fei, Z.; Rodin, A.S.; Chapler, B.C.; McLeod, A.S.; Castro Neto, A.; Lee, Y.S.; Fogler, M.M.; et al. Infrared nanospectroscopy and imaging of collective superfluid excitations in anisotropic superconductors. Phys. Rev. B 2014, 90, 014502. [Google Scholar] [CrossRef]
- Lu, Q.; Bollinger, A.T.; He, X.; Sundling, R.; Bozovic, I.; Gozar, A. Surface Josephson plasma waves in a high-temperature superconductor. npj Quantum Mater. 2020, 5, 69. [Google Scholar] [CrossRef]
- Savel’ev, S.; Yampol’skii, V.A.; Rakhmanov, A.L.; Nori, F. Terahertz Josephson plasma waves in layered superconductors: Spectrum, generation, nonlinear and quantum phenomena. Rep. Prog. Phys. 2010, 73, 026501. [Google Scholar] [CrossRef]
- Hu, H.; Kaiser, S.; Nicoletti, D.; Hunt, C.R.; Gierz, I.; Hoffmann, M.C.; Le Tacon, M.; Loew, T.; Keimer, B.; Cavalleri, A. Optically enhanced coherent transport in YBa2Cu3O6.5 by ultrafast redistribution of interlayer coupling. Nat. Mater. 2014, 13, 705–711. [Google Scholar] [CrossRef] [PubMed]
- Rajasekaran, S.; Okamoto, J.; Mathey, L.; Fechner, M.; Thampy, V.; Gu, G.D.; Cavalleri, A. Probing optically silent superfluid stripes in cuprates. Science 2018, 359, 575–579. [Google Scholar] [CrossRef] [PubMed]
- Zhang, S.J.; Wang, Z.X.; Xiang, H.; Yao, X.; Liu, Q.M.; Shi, L.Y.; Lin, T.; Dong, T.; Wu, D.; Wang, N.L. Photoinduced Nonequilibrium Response in Underdoped YBa2Cu3O6+x Probed by Time-Resolved Terahertz Spectroscopy. Phys. Rev. X 2020, 10, 011056. [Google Scholar] [CrossRef]
- Katsumi, K.; Nishida, M.; Kaiser, S.; Miyasaka, S.; Tajima, S.; Shimano, R. Near-infrared light-induced superconducting-like state in underdoped YBa2Cu3Oy studied by c-axis terahertz third-harmonic generation. Phys. Rev. B 2023, 107, 214506. [Google Scholar] [CrossRef]
- Kaj, K.; Cremin, K.A.; Hammock, I.; Schalch, J.; Basov, D.N.; Averitt, R.D. Terahertz third harmonic generation in c-axis La1.85Sr0.15CuO4. Phys. Rev. B 2023, 107, L140504. [Google Scholar] [CrossRef]
- Gabriele, F.; Castellani, C.; Benfatto, L. Generalized plasma waves in layered superconductors: A unified approach. Phys. Rev. Res. 2022, 4, 023112. [Google Scholar] [CrossRef]
- Sellati, N.; Gabriele, F.; Castellani, C.; Benfatto, L. Generalized Josephson plasmons in bilayer superconductors. Phys. Rev. B 2023, 108, 014503. [Google Scholar] [CrossRef]
- Gabriele, F.; Senese, R.; Castellani, C.; Benfatto, L. Charge-density response in layered metals: Retardation effects, generalized plasma waves, and their spectroscopic signatures. Phys. Rev. B 2024, 109, 045137. [Google Scholar] [CrossRef]
- Bulaevskii, L.N.; Zamora, M.; Baeriswyl, D.; Beck, H.; Clem, J.R. Time-dependent equations for phase differences and a collective mode in Josephson-coupled layered superconductors. Phys. Rev. B 1994, 50, 12831–12834. [Google Scholar] [CrossRef]
- Helm, C.; Bulaevskii, L.N. Optical properties of layered superconductors near the Josephson plasma resonance. Phys. Rev. B 2002, 66, 094514. [Google Scholar] [CrossRef]
- Laplace, Y.; Cavalleri, A. Josephson plasmonics in layered superconductors. Adv. Phys. X 2016, 1, 387–411. [Google Scholar] [CrossRef]
- Salvador, A.G.; Dolgirev, P.E.; Michael, M.H.; Liu, A.; Pavicevic, D.; Fechner, M.; Cavalleri, A.; Demler, E. Principles of 2D terahertz spectroscopy of collective excitations: The case of Josephson plasmons in layered superconductors. arXiv 2024, arXiv:2401.05503. [Google Scholar]
- Hepting, M.; Chaix, L.; Huang, E.W.; Fumagalli, R.; Peng, Y.Y.; Moritz, B.; Kummer, K.; Brookes, N.B.; Lee, W.C.; Hashimoto, M.; et al. Three-dimensional collective charge excitations in electron-doped copper oxide superconductors. Nature 2018, 563, 374–378. [Google Scholar] [CrossRef] [PubMed]
- Lin, J.; Yuan, J.; Jin, K.; Yin, Z.; Li, G.; Zhou, K.J.; Lu, X.; Dantz, M.; Schmitt, T.; Ding, H.; et al. Doping evolution of the charge excitations and electron correlations in electron-doped superconducting La2-xCexCuO4. npj Quantum Mater. 2020, 5, 4. [Google Scholar] [CrossRef]
- Nag, A.; Zhu, M.; Bejas, M.; Li, J.; Robarts, H.C.; Yamase, H.; Petsch, A.N.; Song, D.; Eisaki, H.; Walters, A.C.; et al. Detection of Acoustic Plasmons in Hole-Doped Lanthanum and Bismuth Cuprate Superconductors Using Resonant Inelastic X-ray Scattering. Phys. Rev. Lett. 2020, 125, 257002. [Google Scholar] [CrossRef]
- Singh, A.; Huang, H.Y.; Lane, C.; Li, J.H.; Okamoto, J.; Komiya, S.; Markiewicz, R.S.; Bansil, A.; Lee, T.K.; Fujimori, A.; et al. Acoustic plasmons and conducting carriers in hole-doped cuprate superconductors. Phys. Rev. B 2022, 105, 235105. [Google Scholar] [CrossRef]
- Bejas, M.; Zimmermann, V.; Betto, D.; Boyko, T.D.; Green, R.J.; Loew, T.; Brookes, N.B.; Cristiani, G.; Logvenov, G.; Minola, M.; et al. Plasmon dispersion in bilayer cuprate superconductors. arXiv 2023, arXiv:2311.01413. [Google Scholar] [CrossRef]
- Mitrano, M.; Husain, A.A.; Vig, S.; Kogar, A.; Rak, M.S.; Rubeck, S.I.; Schmalian, J.; Uchoa, B.; Schneeloch, J.; Zhong, R.; et al. Anomalous density fluctuations in a strange metal. Proc. Natl. Acad. Sci. USA 2018, 115, 5392–5396. [Google Scholar] [CrossRef]
- Husain, A.A.; Mitrano, M.; Rak, M.S.; Rubeck, S.; Uchoa, B.; March, K.; Dwyer, C.; Schneeloch, J.; Zhong, R.; Gu, G.D.; et al. Crossover of Charge Fluctuations across the Strange Metal Phase Diagram. Phys. Rev. X 2019, 9, 041062. [Google Scholar] [CrossRef]
- Thornton, S.J.; Liarte, D.B.; Abbamonte, P.; Sethna, J.P.; Chowdhury, D. Jamming and unusual charge density fluctuations of strange metals. Nat. Commun. 2023, 14, 3919. [Google Scholar] [CrossRef] [PubMed]
- Pimenov, A.; Pronin, A.V.; Loidl, A.; Kampf, A.P.; Krasnosvobodtsev, S.I.; Nozdrin, V.S. Submillimeter spectroscopy of tilted Nd1.85Ce0.15CuO4-ffi films: Observation of a mixed ac-plane excitation. Appl. Phys. Lett. 2000, 77, 429–431. [Google Scholar] [CrossRef]
- Pimenov, A.; Pronin, A.V.; Loidl, A.; Michelucci, U.; Kampf, A.P.; Krasnosvobodtsev, S.I.; Nozdrin, V.S.; Rainer, D. Anisotropic conductivity of Nd1.85Ce0.15CuO4-ffi films at submillimeter wavelengths. Phys. Rev. B 2000, 62, 9822–9826. [Google Scholar] [CrossRef]
- Pimenov, A.; Pronin, A.V.; Loidl, A.; Tsukada, A.; Naito, M. Peak in the far-infrared conductivity of strongly anisotropic cuprates. Phys. Rev. B 2002, 66, 212508. [Google Scholar] [CrossRef]
- Tagay, Z.; Mahmood, F.; Legros, A.; Sarkar, T.; Greene, R.L.; Armitage, N.P. BCS d-wave behavior in the terahertz electrodynamic response of electron-doped cuprate superconductors. Phys. Rev. B 2021, 104, 064501. [Google Scholar] [CrossRef]
- van der Marel, D.; Kim, J.H.; Feenstra, B.J.; Wittlin, A. Comment on “Evidence for a-b-plane coupling to longitudinal c-axis phonon in high Tc superconductors”. Phys. Rev. Lett. 1993, 71, 2676. [Google Scholar] [CrossRef] [PubMed]
- Shibauchi, T.; Kitano, H.; Uchinokura, K.; Maeda, A.; Kimura, T.; Kishio, K. Anisotropic penetration depth in La2-xSrxCuO4. Phys. Rev. Lett. 1994, 72, 2263–2266. [Google Scholar] [CrossRef] [PubMed]
- Panagopoulos, C.; Cooper, J.R.; Peacock, G.B.; Gameson, I.; Edwards, P.P.; Schmidbauer, W.; Hodby, J.W. Anisotropic magnetic penetration depth of grain-aligned HgBa2Ca2Cu3O8+ffi. Phys. Rev. B 1996, 53, R2999–R3002. [Google Scholar] [CrossRef] [PubMed]
- Hosseini, A.; Broun, D.M.; Sheehy, D.E.; Davis, T.P.; Franz, M.; Hardy, W.N.; Liang, R.; Bonn, D.A. Survival of the d-Wave Superconducting State near the Edge of Antiferromagnetism in the Cuprate Phase Diagram. Phys. Rev. Lett. 2004, 93, 107003. [Google Scholar] [CrossRef]
- Fazio, R.; van der Zant, H. Quantum phase transitions and vortex dynamics in superconducting networks. Phys. Rep. 2001, 355, 235–334. [Google Scholar] [CrossRef]
- Paramekanti, A.; Randeria, M.; Ramakrishnan, T.V.; Mandal, S.S. Effective actions and phase fluctuations in d-wave superconductors. Phys. Rev. B 2000, 62, 6786–6799. [Google Scholar] [CrossRef]
- Benfatto, L.; Caprara, S.; Castellani, C.; Paramekanti, A.; Randeria, M. Phase fluctuations, dissipation, and superfluid stiffness in d-wave superconductors. Phys. Rev. B 2001, 63, 174513. [Google Scholar] [CrossRef]
- Sun, Z.; Fogler, M.M.; Basov, D.N.; Millis, A.J. Collective modes and terahertz near-field response of superconductors. Phys. Rev. Res. 2020, 2, 023413. [Google Scholar] [CrossRef]
- Pimenov, A.; Loidl, A.; Dulić, D.; van der Marel, D.; Sutjahja, I.M.; Menovsky, A.A. Magnetic Field Dependence of the Transverse Plasmon in SmLa0.8Sr0.2CuO4-δ. Phys. Rev. Lett. 2001, 87, 177003. [Google Scholar] [CrossRef] [PubMed]
- Dulić, D.; Pimenov, A.; van der Marel, D.; Broun, D.M.; Kamal, S.; Hardy, W.N.; Tsvetkov, A.A.; Sutjaha, I.M.; Liang, R.; Menovsky, A.A.; et al. Observation of the Transverse Optical Plasmon in SmLa 0.8Sr0.2CuO4-ffi. Phys. Rev. Lett. 2001, 86, 4144–4147. [Google Scholar] [CrossRef] [PubMed]
- Benfatto, L.; Toschi, A.; Caprara, S. Low-energy phase-only action in a superconductor: A comparison with the XY model. Phys. Rev. B 2004, 69, 184510. [Google Scholar] [CrossRef]
- Fertig, H.A.; Das Sarma, S. Collective modes in layered superconductors. Phys. Rev. Lett. 1990, 65, 1482–1485. [Google Scholar] [CrossRef] [PubMed]
- Fertig, H.A.; Das Sarma, S. Collective excitations and mode coupling in layered superconductors. Phys. Rev. B 1991, 44, 4480–4494. [Google Scholar] [CrossRef] [PubMed]
- Hwang, E.H.; Das Sarma, S. Collective modes and their coupling to pair-breaking excitations in layered d-wave superconductors. Phys. Rev. B 1995, 52, R7010–R7013. [Google Scholar] [CrossRef]
- Melnyk, A.R.; Harrison, M.J. Theory of Optical Excitation of Plasmons in Metals. Phys. Rev. B 1970, 2, 835–850. [Google Scholar] [CrossRef]
- Fan, J.Q.; Yu, X.Q.; Cheng, F.J.; Wang, H.; Wang, R.; Ma, X.; Hu, X.P.; Zhang, D.; Ma, X.C.; Xue, Q.K.; et al. Direct observation of nodeless superconductivity and phonon modes in electron-doped copper oxide Sr1-xNdxCuO2. Natl. Sci. Rev. 2021, 9, nwab225. [Google Scholar] [CrossRef] [PubMed]
- Mosteller, L.P.; Wooten, F. Optical Properties and Reflectance of Uniaxial Absorbing Crystals. J. Opt. Soc. Am. 1968, 58, 511–518. [Google Scholar] [CrossRef]
- Schützmann, J.; Somal, H.S.; Tsvetkov, A.A.; van der Marel, D.; Koops, G.E.J.; Koleshnikov, N.; Ren, Z.F.; Wang, J.H.; Brück, E.; Menovsky, A.A. Experimental test of the interlayer pairing models for high-Tc superconductivity using grazing-incidence infrared reflectometry. Phys. Rev. B 1997, 55, 11118–11121. [Google Scholar] [CrossRef]



Disclaimer/Publisher’s Note: The statements, opinions and data contained in all publications are solely those of the individual author(s) and contributor(s) and not of MDPI and/or the editor(s). MDPI and/or the editor(s) disclaim responsibility for any injury to people or property resulting from any ideas, methods, instructions or products referred to in the content. |
© 2024 by the authors. Licensee MDPI, Basel, Switzerland. This article is an open access article distributed under the terms and conditions of the Creative Commons Attribution (CC BY) license (https://creativecommons.org/licenses/by/4.0/).
Share and Cite
Sellati, N.; Fiore, J.; Castellani, C.; Benfatto, L. Optical Absorption in Tilted Geometries as an Indirect Measurement of Longitudinal Plasma Waves in Layered Cuprates. Nanomaterials 2024, 14, 1021. https://doi.org/10.3390/nano14121021
Sellati N, Fiore J, Castellani C, Benfatto L. Optical Absorption in Tilted Geometries as an Indirect Measurement of Longitudinal Plasma Waves in Layered Cuprates. Nanomaterials. 2024; 14(12):1021. https://doi.org/10.3390/nano14121021
Chicago/Turabian StyleSellati, Niccolò, Jacopo Fiore, Claudio Castellani, and Lara Benfatto. 2024. "Optical Absorption in Tilted Geometries as an Indirect Measurement of Longitudinal Plasma Waves in Layered Cuprates" Nanomaterials 14, no. 12: 1021. https://doi.org/10.3390/nano14121021
APA StyleSellati, N., Fiore, J., Castellani, C., & Benfatto, L. (2024). Optical Absorption in Tilted Geometries as an Indirect Measurement of Longitudinal Plasma Waves in Layered Cuprates. Nanomaterials, 14(12), 1021. https://doi.org/10.3390/nano14121021

