Glass Ceramic Fibers Containing PbS Quantum Dots for Fluorescent Temperature Sensing
Abstract
1. Introduction
2. Experimental
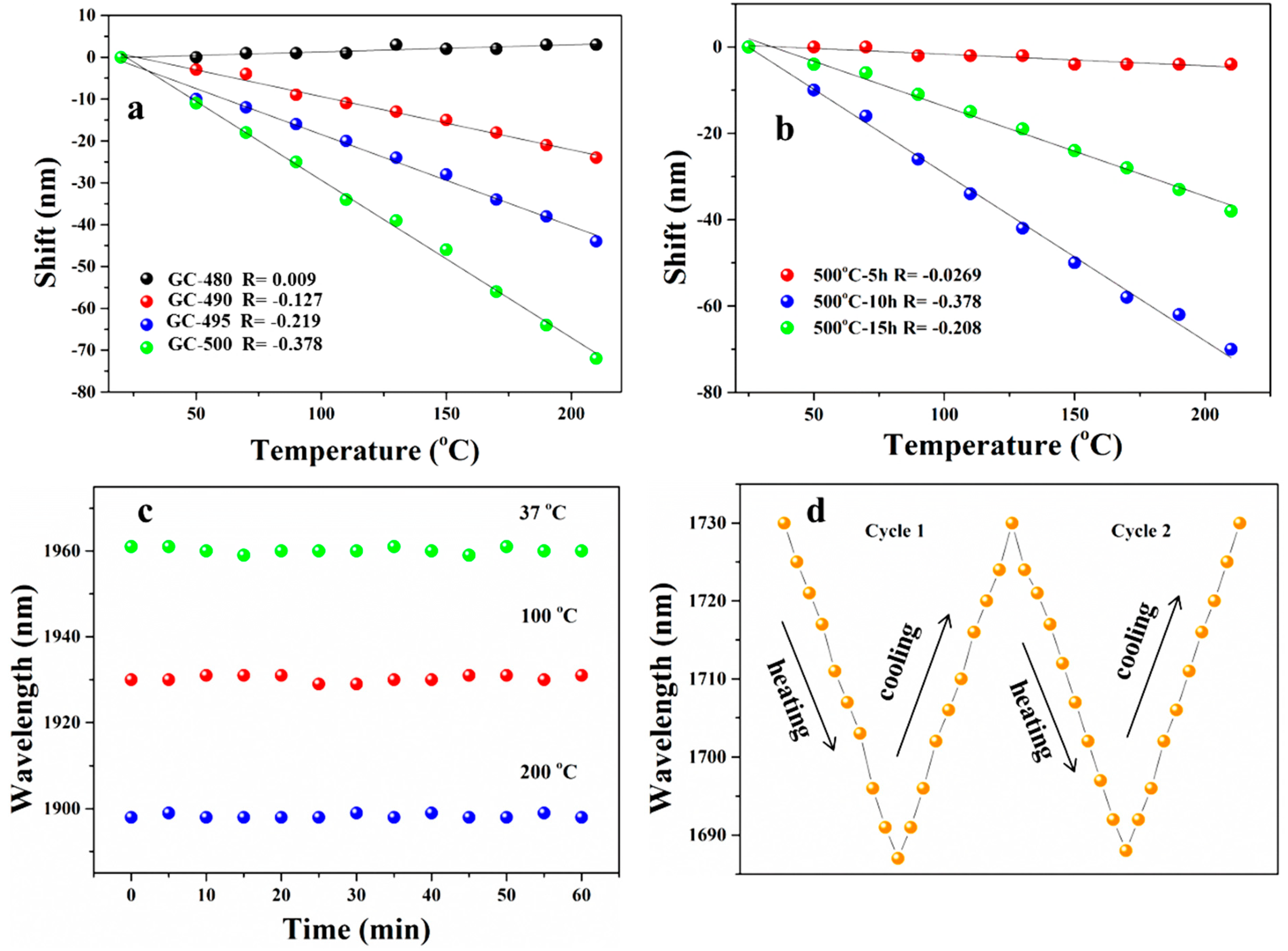
3. Results and Discussion
4. Conclusions
Author Contributions
Funding
Data Availability Statement
Conflicts of Interest
References
- Song, E.; Chen, M.; Chen, Z.; Zhou, Y.; Zhou, W.; Sun, H.; Yang, X.; Gan, J.; Ye, S.; Zhang, Q. Mn2+-activated dual-wavelength emitting materials toward wearable optical fibre temperature sensor. Nat. Commun. 2022, 13, 2166. [Google Scholar] [CrossRef] [PubMed]
- Htein, L.; Gunawardena, D.; Leong, C.; Tam, H. Bragg gratings in two-core rectangular fiber for discrimination of curvature, strain, and temperature measurements. IEEE Trans. Instrum. Meas. 2021, 70, 7001607. [Google Scholar] [CrossRef]
- Ioannou, A.; Theodosiou, A.; Caucheteur, C.; Kalli, K.J. Direct writing of plane-by-plane tilted fiber Bragg gratings using a femtosecond laser. Opt. Lett. 2017, 42, 5198. [Google Scholar] [CrossRef] [PubMed]
- Han, J.; Kim, J.; Lee, S.; Choi, S.; Lee, Y.W. Strain-insensitive simultaneous measurement of bending and temperature based on cascaded long-period fiber gratings inscribed on double-clad fiber. IEEE Sens. J. 2021, 21, 7638. [Google Scholar] [CrossRef]
- Suo, H.; Zhao, X.; Zhang, Z.; Wang, Y.; Sun, J.; Jin, M.; Guo, C. Rational design of ratiometric luminescence thermometry based on thermally coupled levels for bioapplications. Laser Photonics Rev. 2020, 15, 2000319. [Google Scholar] [CrossRef]
- Ioannou, A.; Theodosiou, A.; Caucheteur, C.; Kalli, K.J. Femtosecond laser inscribed tilted gratings for leaky mode excitation in optical fibers. Lightw. Technol. 2020, 38, 1921. [Google Scholar] [CrossRef]
- Silva, L.C.B.; Segatto, M.E.V.; Castellani, C.E.S. Raman scattering-based distributed temperature sensors: A comprehensive literature review over the past 37 years and towards new avenues. Opt. Fiber Technol. 2022, 74, 103091. [Google Scholar] [CrossRef]
- Guo, J.; Zhou, B.; Yang, C.; Dai, Q.; Kong, L. Stretchable and temperature-sensitive polymer optical fibers for wearable health monitoring. Adv. Funct. Mater. 2019, 29, 1902898. [Google Scholar] [CrossRef]
- Sánchez-Escobar, S.; Hernández-Cordero, J. Fiber optic fluorescence temperature sensors using up-conversion from rare-earth polymer composites. Opt. Lett. 2019, 44, 1194. [Google Scholar] [CrossRef]
- Li, H.; Wei, F.; Li, Y.; Yu, M.; Zhang, Y.; Liu, L.; Liu, Z.J. Optical fiber sensor based on upconversion nanoparticles for internal temperature monitoring of Li-ion batteries. Mater. Chem. C 2021, 9, 14757. [Google Scholar] [CrossRef]
- Wadhwa, A.; Awasthi, P.; Ren, K.; Xu, X.; Qiao, X.; Fan, X.; Qian, G.J. Selective enrichment of Ln3+ (Ln = Yb; Er) and Cr3+ into SrF2 and ZnAl2O4 nanocrystals precipitated in fluorosilicate glass-ceramics: A dual mode optical temperature sensing study. Non. Cryst. Solids 2021, 552, 120395. [Google Scholar] [CrossRef]
- Xu, W.; Li, Y.; Shang, J.; Wang, Y.; Hou, L.; Liu, Y.; Qu, S. Optical fiber sensor based on upconversion luminescence for synchronous temperature and curvature sensing. Opt. Express 2016, 30, 33136. [Google Scholar] [CrossRef]
- Liu, X.; Zhou, J.; Zhou, S.; Yue, Y.; Qiu, J. Transparent glass-ceramics functionalized by dispersed crystals. Prog. Mater. Sci. 2018, 97, 38. [Google Scholar] [CrossRef]
- Xu, X.; Zhang, W.; Yang, D.; Lu, W.; Qiu, J.; Yu, S.F. Phonon-Assisted Population Inversion in Lanthanide-Doped Upconversion Ba2 LaF7 Nanocrystals in Glass-Ceramics. Adv. Mater. 2016, 28, 8045. [Google Scholar] [CrossRef] [PubMed]
- Wang, S.; Lin, J.; He, Y.; Chen, J.; Yang, C.; Huang, F.; Chen, D. Remarkable laser-driven upconverting photothermal effect of Cs3LnF6@glass nanocomposites for anti-counterfeiting. Chem. Eng. J. 2020, 394, 124889. [Google Scholar] [CrossRef]
- Chen, Z.; Wang, W.; Kang, S.; Cui, W.; Zhang, H.; Yu, G.; Wang, T.; Dong, G.; Jiang, C.; Zhou, S.; et al. Tailorable upconversion white light emission from Pr3+ single-doped glass ceramics via simultaneous dual-lasers excitation. Adv. Opt. Mater. 2018, 6, 1700787. [Google Scholar] [CrossRef]
- Kang, S.; Huang, Z.; Lin, W.; Yang, D.; Zhao, J.; Qiao, X.; Xu, S.; Qiu, J.; Du, J.; Dong, G.J. Enhanced single-mode fiber laser emission by nano-crystallization of oxyfluoride glass-ceramic cores. Mater. Chem. C 2019, 7, 5155. [Google Scholar] [CrossRef]
- Xu, H.; Lian, Y.; Lu, Z.; Kolesnikov, I.; Zhao, Y.; He, K.; Su, Z.; Bai, G.; Xu, S.J. Optical fiber temperature sensor of Er3+/Yb3+ codoped LaGaO3 microcrystals with high reliability and stability. Mater. Chem. C 2022, 10, 10660. [Google Scholar] [CrossRef]
- Laia, A.S.; Maciel, G.S.; José, J.R., Jr.; Dos Santos, M.A.C.; Machado, R.; Dantas, N.O.; Silva, A.C.A.; Rodrigues, R.B.; Alencar, M.A.R.C. Lithium-boron-aluminum glasses and glass-ceramics doped with Eu3+: A potential optical thermometer for operation over a wide range of temperatures with uniform sensitivity. J. Alloys Compd. 2022, 907, 164402. [Google Scholar] [CrossRef]
- Meng, Q.; Chen, L.; Zhang, S.; Huang, L.; Lei, R.; Zhao, S.; Xu, S.J. Enhanced photoluminescence and high temperature sensitivity in rare earth doped glass ceramics containing NaGd (WO4)2 nanocrytals. Lumin 2019, 216, 116727. [Google Scholar] [CrossRef]
- Kalinichev, A.A.; Kurochkin, M.A.; Kolomytsev, A.Y.; Khasbieva, R.S.; Kolesnikov, E.Y.; Lähderanta, E.; Kolesnikov, I.E. Yb3+/Er3+− codoped GeO2–PbO–PbF2 glass ceramics for ratiometric upconversion temperature sensing based on thermally and non-thermally coupled levels. Opt. Mater. 2019, 90, 200. [Google Scholar] [CrossRef]
- Xu, W.; Gao, X.; Zheng, L.; Zhang, Z.; Gao, W. An optical temperature sensor based on the upconversion luminescence from Tm3+/Yb3+ codoped oxyfluoride glass ceramic. Sens. Actuators B 2012, 173, 250. [Google Scholar] [CrossRef]
- Cao, J.; Li, X.; Wang, Z.; Wei, Y.; Chen, L.; Guo, H. Optical thermometry based on up-conversion luminescence behavior of self-crystallized K3YF6:Er3+ glass ceramics. Sens. Actuators B 2016, 224, 507. [Google Scholar] [CrossRef]
- Xia, Z.; Huang, H.; Chen, Z.; Fang, Z.; Qiu, J. Enhanced up-conversion luminescence in transparent glass-ceramic containing KEr3F10:Er3+ nanocrystals and its application in temperature detection. RSC Adv. 2019, 9, 10999. [Google Scholar] [CrossRef] [PubMed]
- Yang, K.; He, Y.S.K.; Zhang, T.; Xu, R.; Zhao, S.; Chen, L.; Xu, S. An optical fiber temperature sensor based on fluorescence intensity ratio used for real-time monitoring of chemical reactions. Ceram. Int. 2021, 47, 33537. [Google Scholar] [CrossRef]
- Cheng, T.; Liu, W.; Song, D.; Yin, Z.; Zhang, F.; Li, B.; Zhang, X.; Suzuki, T.; Ohishi, Y.; Wang, F.J. A compact fluorescent probe for real-time thermal monitoring of chips. J. Lightw. Technol. 2022, 40, 6288. [Google Scholar] [CrossRef]
- Pelayo, E.; Zazueta, A.; López-Delgado, R.; Saucedo, E.; Ruelas, R.; Ayón, A.J. Red-shift of the photoluminescent emission peaks of CdTe quantum dots due to the synergistic interaction with carbon quantum dot mixtures. Phys. Conf. Ser. 2016, 773, 012053. [Google Scholar] [CrossRef]
- Dutta, A.; Bera, R.; Ghosh, A.; Patra, A.J. Ultrafast carrier dynamics of photo-induced Cu-doped CdSe nanocrystals. Phys. Chem. C 2018, 122, 16992. [Google Scholar] [CrossRef]
- Mondal, P.; Sathiyamani, S.; Das, S.; Viswanatha, R. Electronic structure study of dual-doped II–VI semiconductor quantum dots towards single-source white light emission. Nanoscale 2023, 15, 15288. [Google Scholar] [CrossRef]
- Mamiyev, Z.; Balayeva, N.O. PbS nanostructures: A review of recent advances. Mater. Today Sustain. 2023, 21, 100305. [Google Scholar] [CrossRef]
- Huang, X.; Peng, Z.; Guo, Q.; Song, X.; Qiu, J.; Dong, G.J. Energy transfer process and temperature-dependent photoluminescence of PbS quantum dot-doped glasses. Am. Ceram. Soc. 2019, 102, 3391. [Google Scholar] [CrossRef]
- Liu, C.; Kwon, Y.K.; Heo, J. Temperature-dependent brightening and darkening of photoluminescence from PbS quantum dots in glasses. Appl. Phys. Lett. 2007, 90, 241111. [Google Scholar] [CrossRef]
- Halim, N.D.; Zaini, M.S.; Talib, Z.A.; Liew, J.Y.C.; Kamarudin, M.A. Study of the electron-phonon coupling in PbS/MnTe quantum dots based on temperature-dependent photoluminescence. Micromachines 2022, 13, 443. [Google Scholar] [CrossRef] [PubMed]
- Gaponenko, M.S.; Tolstik, N.A.; Lutich, A.A.; Onushchenko, A.A.; Yumashev, K.V. Temperature-dependent photoluminescence Stokes shift in PbS quantum dots. Phys. E 2013, 53, 63. [Google Scholar] [CrossRef]
- Birowosuto, M.D.; Takiguchi, M.; Olivier, A.; Tobing, L.Y.; Kuramochi, E.; Yokoo, A.; Hong, W.; Notomi, M. Temperature-dependent spontaneous emission of PbS quantum dots inside photonic nanostructures at telecommunication wavelength. Opt. Commun. 2017, 383, 555. [Google Scholar] [CrossRef]
- Huang, X.; Fang, Z.; Kang, S.; Peng, W.; Dong, G.; Zhou, B.; Ma, Z.; Zhou, S.; Qiu, J.J. Controllable fabrication of novel all solid-state PbS quantum dot-doped glass fibers with tunable broadband near-infrared emission. Mater. Chem. C 2017, 5, 7927. [Google Scholar] [CrossRef]
- Fang, Z.; Zheng, S.; Peng, W.; Zhang, H.; Ma, Z.; Zhou, S.; Chen, D.; Qiu, J.J. Fabrication and characterization of glass-ceramic fiber-containing Cr3+-doped ZnAl2O4 nanocrystals. Am. Ceram. Soc. 2015, 98, 2272. [Google Scholar] [CrossRef]
- Fang, Z.; Xiao, X.; Wang, X.; Ma, Z.; Lewis, E.; Farrell, G.; Wang, P.; Ren, J.; Guo, H.; Qiu, J. Glass-ceramic optical fiber containing Ba2TiSi2O8 nanocrystals for frequency conversion of lasers. Sci. Rep. 2017, 7, 44456. [Google Scholar] [CrossRef] [PubMed]
- Fang, Z.; Zheng, S.; Zhang, H.; Ma, Z.; Dong, G.; Zhou, S.; Chen, D.; Qiu, J. Ni2+ doped glass ceramic fiber fabricated by melt-in-tube method and successive heat treatment. Opt. Express 2015, 23, 28258. [Google Scholar] [CrossRef]
- Liu, J.; Liu, J.; Zhang, W.; Li, K.; Liu, C.J. Precipitation and optical properties of PbSexS1-x quantum dots in glasses. Non-Cryst. Solids 2023, 604, 122156. [Google Scholar] [CrossRef]
- Huang, X.; Fang, Z.; Peng, Z.; Ma, Z.; Guo, H.; Qiu, J.; Dong, G. Formation, element-migration and broadband luminescence in quantum dot-doped glass fibers. Opt. Express 2017, 25, 19691. [Google Scholar] [CrossRef] [PubMed]
- Su, G.; Liu, C.; Deng, Z.; Zhao, X.; Zhou, X. Size-dependent photoluminescence of PbS QDs embedded in silicate glasses. Opt. Mater. Express 2017, 7, 2194. [Google Scholar] [CrossRef]
- Zhang, H.; Liu, J.; Wang, C.; Selopal, G.S.; Barba, D.; Wang, Z.M.; Sun, S.; Zhao, H.; Rosei, F. Near-infrared colloidal manganese-doped quantum dots: Photoluminescence mechanism and temperature response. ACS Photonics 2019, 6, 2421. [Google Scholar] [CrossRef]
- Gu, P.; Wang, Y.; Cao, J.; Yan, Y.; Zhang, T.; Wang, Y.; Zhang, Y. Temperature-Dependent Photoluminescence Spectra of PbSe Quantum Dots for Temperature Markers. Adv. Mater. Res. 2012, 482, 2547. [Google Scholar] [CrossRef]
- Wang, P.; Ding, M.; Bo, L.; Guan, C.; Semenova, Y.; Wu, Q.; Farrell, G.; Brambilla, G. Photonic crystal fiber half-taper probe based refractometer. Opt. Lett. 2013, 15, 4617. [Google Scholar] [CrossRef]





Disclaimer/Publisher’s Note: The statements, opinions and data contained in all publications are solely those of the individual author(s) and contributor(s) and not of MDPI and/or the editor(s). MDPI and/or the editor(s) disclaim responsibility for any injury to people or property resulting from any ideas, methods, instructions or products referred to in the content. |
© 2024 by the authors. Licensee MDPI, Basel, Switzerland. This article is an open access article distributed under the terms and conditions of the Creative Commons Attribution (CC BY) license (https://creativecommons.org/licenses/by/4.0/).
Share and Cite
Zha, T.; Zhang, P.; Jin, X.; Long, Y.; Huang, T.; Jia, H.; Fang, Z.; Guan, B.-O. Glass Ceramic Fibers Containing PbS Quantum Dots for Fluorescent Temperature Sensing. Nanomaterials 2024, 14, 882. https://doi.org/10.3390/nano14100882
Zha T, Zhang P, Jin X, Long Y, Huang T, Jia H, Fang Z, Guan B-O. Glass Ceramic Fibers Containing PbS Quantum Dots for Fluorescent Temperature Sensing. Nanomaterials. 2024; 14(10):882. https://doi.org/10.3390/nano14100882
Chicago/Turabian StyleZha, Tingyu, Penghui Zhang, Xilong Jin, Yi Long, Taoyun Huang, Hong Jia, Zaijin Fang, and Bai-Ou Guan. 2024. "Glass Ceramic Fibers Containing PbS Quantum Dots for Fluorescent Temperature Sensing" Nanomaterials 14, no. 10: 882. https://doi.org/10.3390/nano14100882
APA StyleZha, T., Zhang, P., Jin, X., Long, Y., Huang, T., Jia, H., Fang, Z., & Guan, B.-O. (2024). Glass Ceramic Fibers Containing PbS Quantum Dots for Fluorescent Temperature Sensing. Nanomaterials, 14(10), 882. https://doi.org/10.3390/nano14100882

