Study on the Synthesis of Nano Zinc Oxide Particles under Supercritical Hydrothermal Conditions
Abstract
1. Introduction
2. Materials and Methods
2.1. Reagent Materials
2.2. Experimental Procedure
2.3. Material Characterization and Analysis Methods
2.4. Experimental Conditions for Each Group
3. Results and Discussion
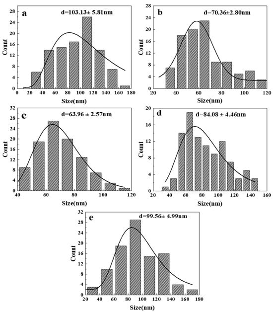
3.1. Effect of Reaction Temperature
3.2. Effect of Reaction Pressure
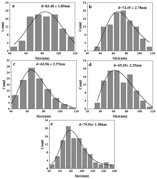
3.3. Effect of Reactant Concentration
3.4. Effect of Reaction Time
3.5. Effect of the Amount of Ethanol Addition
4. Conclusions and Prospects
Supplementary Materials
Author Contributions
Funding
Data Availability Statement
Acknowledgments
Conflicts of Interest
References
- Theerthagiri, J.; Salla, S.; Senthil, R.A.; Nithyadharseni, P.; Madankumar, A.; Arunachalam, P.; Maiyalagan, T.; Kim, H.S. A review on ZnO nanostructured materials: Energy, environmental and biological applications. Nanotechnology 2019, 30, 392001. [Google Scholar] [CrossRef] [PubMed]
- Zahoor, R.; Jalil, A.; Ilyas, S.Z.; Ahmed, S.; Hassan, A. Optoelectronic and solar cell applications of ZnO nanostructures. Results Surf. Interfaces 2021, 2, 100003. [Google Scholar] [CrossRef]
- Chen, D.; Ma, L.; Chen, Y.; Zhou, X.; Xing, S.; Deng, Y.; Hao, Y.; Pu, C.; Kong, X.; Jin, Y. Electrochemically stable ligands of ZnO electron-transporting layers for quantum-dot light-emitting diodes. Nano Lett. 2023, 23, 1061–1067. [Google Scholar] [CrossRef] [PubMed]
- Zhang, W.; Song, J.; Ye, X.; Li, J.; Tian, H. Research Progress of ZnO Semiconductor Photocatalytic Nano-degradation Materials. Contemp. Chem. Ind. 2022, 51, 1672–1678. [Google Scholar]
- Wang, H.; Liu, X.; Wang, S.; Li, L. Dual templating fabrication of hierarchical porous three-dimensional ZnO/carbon nanocomposites for enhanced photocatalytic and photoelectrochemical activity. Appl. Catal. B Environ. 2018, 222, 209–218. [Google Scholar] [CrossRef]
- Liu, H.; Wei, S.; Huang, X.; Chen, K.; Wang, L. Preparation and application of nanometer zinc oxide photocatalyst. Appl. Chem. Ind. 2021, 50, 1361–1365. [Google Scholar] [CrossRef]
- Aghazadeh-Ghomi, M.; Pourabbas, Z. Rapid synthesis of zinc oxide nanoparticles from an alkaline zinc solution via direct precipitation. J. Mater. Sci. Mater. Electron. 2021, 32, 24363–24368. [Google Scholar] [CrossRef]
- Ismail, A.; Menazea, A.; Kabary, H.A.; El-Sherbiny, A.; Samy, A. The influence of calcination temperature on structural and antimicrobial characteristics of zinc oxide nanoparticles synthesized by Sol–Gel method. J. Mol. Struct. 2019, 1196, 332–337. [Google Scholar] [CrossRef]
- Wang, Y.; Liu, S. ZnO/RuO2 nanocomposite modified glassy carbon electrode as sensor for determination of exercise-induced myoglobin biomarkers. Int. J. Electrochem. Sci. 2024, 19, 100517. [Google Scholar] [CrossRef]
- Sun, P.; Wang, S.; Li, Y.; Zhang, T.; Wang, D.; Zhang, B.; Yang, J.; Xu, D. One-pot synthesis of nano titanium dioxide in supercritical water. Nanotechnol. Rev. 2020, 9, 410–417. [Google Scholar] [CrossRef]
- Sun, P.; Gjørup, F.H.; Ahlburg, J.V.; Mamakhel, A.; Wang, S.; Christensen, M. In situ in-house powder X-ray diffraction study of zero-valent copper formation in supercritical methanol. Cryst. Growth Des. 2019, 19, 2219–2227. [Google Scholar] [CrossRef]
- Sun, P.; Wang, S.; Zhang, T.; Li, Y.; Guo, Y. Supercritical hydrothermal synthesis of submicrometer copper (ii) oxide: Effect of reaction conditions. Ind. Eng. Chem. Res. 2017, 56, 6286–6294. [Google Scholar] [CrossRef]
- Mao, Z. Continuously Preparation of Nano-Zno with Size and Morphology Controlled Using Supercritical (Subsupercritical) Water Method and the Research of Its Photocatalytic Activity. Master’s Thesis, Shanghai Jiaotong University, Shanghai, China, 2013. [Google Scholar]
- Liu, L.; Wang, S.; Zhang, B.; Jiang, G.; Yang, J.; Li, Y.; Liu, W.; Wang, J.; Kong, W. From modification to mechanism: Supercritical hydrothermal synthesis of nano-zirconia. Ceram. Int. 2022, 48, 4401–4423. [Google Scholar] [CrossRef]
- Gerbreders, V.; Krasovska, M.; Sledevskis, E.; Gerbreders, A.; Mihailova, I.; Tamanis, E.; Ogurcovs, A. Hydrothermal synthesis of ZnO nanostructures with controllable morphology change. CrystEngComm 2020, 22, 1346–1358. [Google Scholar] [CrossRef]
- Ouyang, Z.; Ren, P.; Huang, L.; Wei, T.; Yang, C.; Kong, X.; Yin, Y.; He, S.; He, Q. Hydrothermal synthesis of a new porous zinc oxide and its antimicrobial evaluation in weanling piglets. Livest. Sci. 2021, 248, 104499. [Google Scholar] [CrossRef]
- Mohan, S.; Vellakkat, M.; Aravind, A.; Reka, U. Hydrothermal synthesis and characterization of Zinc Oxide nanoparticles of various shapes under different reaction conditions. Nano Express 2020, 1, 030028. [Google Scholar] [CrossRef]
- Zhiqiang, M.; Yuanpeng, L.; Yaping, Z. Continuous preparation of nano-sized zinc oxide by supercritical water technique and photocatalytic activity thereof. Inorg. Chem. Ind. 2013, 45, 53–55. [Google Scholar]
- Ohara, S.; Mousavand, T.; Sasaki, T.; Umetsu, M.; Adschiri, T. Continuous production of fine zinc oxide nanorods by hydrothermal synthesis in supercritical water. J. Mater. Sci. 2007, 43, 2393–2396. [Google Scholar] [CrossRef]
- Motelica, L.; Vasile, B.-S.; Ficai, A.; Surdu, A.-V.; Ficai, D.; Oprea, O.-C.; Andronescu, E.; Jinga, D.C.; Holban, A.M. Influence of the Alcohols on the ZnO Synthesis and Its Properties: The Photocatalytic and Antimicrobial Activities. Pharmaceutics 2022, 14, 2842. [Google Scholar] [CrossRef]
- Motelica, L.; Oprea, O.-C.; Vasile, B.-S.; Ficai, A.; Ficai, D.; Andronescu, E.; Holban, A.M. Antibacterial Activity of Solvothermal Obtained ZnO Nanoparticles with Different Morphology and Photocatalytic Activity against a Dye Mixture: Methylene Blue, Rhodamine B and Methyl Orange. Int. J. Mol. Sci. 2023, 24, 5677. [Google Scholar] [CrossRef]
- Xie, Z.; Chen, Y. Hydrothermal synthesis and photocatalytic activity of zinc oxide nanorods. Chem. Res. 2012, 23, 52–56. [Google Scholar] [CrossRef]
- Deilami, N.; Haghighatzadeh, A. Investigating the effects of hydrothermal temperature on morphology-controlled synthesis of flower-shaped ZnO microstructures. J. Aust. Ceram. Soc. 2021, 57, 409–418. [Google Scholar] [CrossRef]
- Shaba, E.Y.; Jacob, J.O.; Tijani, J.O.; Suleiman, M.A.T. A critical review of synthesis parameters affecting the properties of zinc oxide nanoparticle and its application in wastewater treatment. Appl. Water Sci. 2021, 11, 48. [Google Scholar] [CrossRef]
- Viswanathan, R.; Gupta, R.B. Formation of zinc oxide nanoparticles in supercritical water. J. Supercrit. Fluids 2003, 27, 187–193. [Google Scholar] [CrossRef]
- Liu, L.; Wang, S.; Liu, W.; Wang, J.; Zhang, B.; Yang, J.; Liu, H.; Li, Y. Supercritical hydrothermal synthesis of nano-ZnO: Effects of key parameters and reaction mechanism. Ceram. Int. 2023, 49, 31313–31324. [Google Scholar] [CrossRef]
- Uematsu, M.; Franck, E. Static dielectric constant of water and steam. J. Phys. Chem. Ref. Data 1980, 9, 1291–1306. [Google Scholar] [CrossRef]
- Zheng, H.; Yu, T.; Qu, C.; Li, W.; Wang, Y. Basic characteristics and application progress of supercritical water. IOP Conf. Ser. Earth Environ. Sci. 2020, 555, 012036. [Google Scholar] [CrossRef]
- Vasireddi, R.; Javvaji, B.; Vardhan, H.; Mahapatra, D.; Hegde, G. Growth of zinc oxide nanorod structures: Pressure controlled hydrothermal process and growth mechanism. J. Mater. Sci. 2017, 52, 2007–2020. [Google Scholar] [CrossRef]
- Droepenu, E.K.; Wee, B.S.; Chin, S.F.; Kok, K.Y.; Maligan, M.F. Zinc oxide nanoparticles synthesis methods and its effect on morphology: A review. Biointerface Res. Appl. Chem 2022, 12, 4261–4292. [Google Scholar]
- Lu, C.-H.; Yeh, C.-H. Influence of hydrothermal conditions on the morphology and particle size of zinc oxide powder. Ceram. Int. 2000, 26, 351–357. [Google Scholar] [CrossRef]
- Sue, K.; Murata, K.; Kimura, K.; Arai, K. Continuous synthesis of zinc oxide nanoparticles in supercritical water. Green Chem. 2003, 5, 659–662. [Google Scholar] [CrossRef]
- Whitehead, C.B.; Ozkar, S.; Finke, R.G. LaMer’s 1950 Model for Particle Formation of Instantaneous Nucleation and Diffusion-Controlled Growth: A Historical Look at the Model’s Origins, Assumptions, Equations, and Underlying Sulfur Sol Formation Kinetics Data. Chem. Mater. 2019, 31, 7116–7132. [Google Scholar] [CrossRef]
- Horachit, C.; Moonnoi, S.; Ruankham, P.; Choopun, S.; Intaniwet, A. Effects of precursor concentration on hydrothermally grown ZnO nanorods as electron transporting layer in perovskite solar cells. Mater. Today Proc. 2019, 17, 1217–1223. [Google Scholar] [CrossRef]
- Jia, W.; Feng, G. Synthesis of Shape-controlled ZnO Microcrystals with Hydrotherma Method. Chem. Res. 2007, 1, 23–27. [Google Scholar]
- Liu, W.; Wang, S.; Wang, J.; Zhang, B.; Liu, L.; Liu, H.; Yang, J. Supercritical hydrothermal synthesis of nano-zinc oxide: Process and mechanism. Ceram. Int. 2022, 48, 22629–22646. [Google Scholar] [CrossRef]
- Hu, Z.; Santos, J.F.H.; Oskam, G.; Searson, P.C. Influence of the reactant concentrations on the synthesis of ZnO nanoparticles. J. Colloid Interface Sci. 2005, 288, 313–316. [Google Scholar] [CrossRef] [PubMed]
- Jianjiao, Z. Hydrothermal Synthesis of Nanometer ZnO and Their Gas Sensing Properties. Doctoral Dissertation, Harbin University of Science and Technology, Harbin, China, 2014. [Google Scholar]
- Xu, J. Preparation, Photocatalytic and Adsorption Properties of Zinc Oxide Crystals with Different Morphologies. Master’s Thesis, Guangxi Normal University, Guilin, China, 2022. [Google Scholar]
- Wasly, H.; El-Sadek, M.A.; Henini, M. Influence of reaction time and synthesis temperature on the physical properties of ZnO nanoparticles synthesized by the hydrothermal method. Appl. Phys. A 2018, 124, 76. [Google Scholar] [CrossRef]
- Mousavand, T.; Ohara, S.; Naka, T.; Umetsu, M.; Takami, S.; Adschiri, T. Organic-ligand-assisted hydrothermal synthesis of ultrafine and hydrophobic ZnO nanoparticles. J. Mater. Res. 2010, 25, 219–223. [Google Scholar] [CrossRef]
- Chen, Z.; Wu, Y.; Hu, J. Ethanol-Assisted Hydrothermal Synthesis and Characterization of BiFeO 3 Nanopowders. J. Am. Ceram. Soc. 2013, 96, 1345–1348. [Google Scholar] [CrossRef]
- Wang, Y.X.; Sun, J.; Yu, X. Effect of the type of alcohol on the properties of zno nanopowders prepared with solvothermal synthesis. In Materials Science Forum; Trans Tech Publications Ltd.: Wollerau, Switzerland, 2011; pp. 1103–1106. [Google Scholar]
- Wojnarowicz, J.; Opalinska, A.; Chudoba, T.; Gierlotka, S.; Mukhovskyi, R.; Pietrzykowska, E.; Sobczak, K.; Lojkowski, W. Effect of water content in ethylene glycol solvent on the size of ZnO nanoparticles prepared using microwave solvothermal synthesis. J. Nanomater. 2016, 2016, 2789871. [Google Scholar] [CrossRef]
- Wei, G.; Du, J.; Rong, H.; Zhang, D. Zinc Oxide Nano-materials Synthesis, Structural Characterization, Optical and Catalytic Properties. J. Salt Lake Res. 2011, 19, 54–60. [Google Scholar]
- Upadhyay, P.; Jain, V.K.; Sharma, S.; Shrivastav, A.; Sharma, R. Green and chemically synthesized ZnO nanoparticles: A comparative study. IOP Conf. Ser. Mater. Sci. Eng. 2020, 798, 012025. [Google Scholar] [CrossRef]
- Chen, C.Z.; Zhou, Z.W. The preparation of nano-ZnO and its middle infrared-ultraviolet-visible light absorption properties. J. Funct. Mater. 2004, 35, 97–98. [Google Scholar]















| No. | Temperature (°C) | Pressure (MPa) | Time (min) | Precursor Concentration (mol/L) |
|---|---|---|---|---|
| 1 | 300 | 26 | 10 | 0.3 |
| 2 | 350 | 26 | 10 | 0.3 |
| 3 | 400 | 26 | 10 | 0.3 |
| 4 | 450 | 26 | 10 | 0.3 |
| 5 | 500 | 26 | 10 | 0.3 |
| No. | Temperature (°C) | Pressure (MPa) | Time (min) | Precursor Concentration (MPa) |
|---|---|---|---|---|
| 1 | 450 | 22 | 10 | 0.3 |
| 2 | 450 | 24 | 10 | 0.3 |
| 3 | 450 | 26 | 10 | 0.3 |
| 4 | 450 | 28 | 10 | 0.3 |
| 5 | 450 | 30 | 10 | 0.3 |
| No. | Temperature (°C) | Pressure (MPa) | Time (min) | Precursor Concentration (MPa) |
|---|---|---|---|---|
| 1 | 450 | 26 | 10 | 0.1 |
| 2 | 450 | 26 | 10 | 0.2 |
| 3 | 450 | 26 | 10 | 0.3 |
| 4 | 450 | 26 | 10 | 0.4 |
| 5 | 450 | 26 | 10 | 0.5 |
| No. | Temperature (°C) | Pressure (MPa) | Time (min) | Precursor Concentration (MPa) |
|---|---|---|---|---|
| 1 | 450 | 26 | 5 | 0.1 |
| 2 | 450 | 26 | 7.5 | 0.2 |
| 3 | 450 | 26 | 10 | 0.3 |
| 4 | 450 | 26 | 12.5 | 0.4 |
| 5 | 450 | 26 | 15 | 0.5 |
| No. | Temperature (°C) | Pressure (MPa) | Time (min) | Precursor Concentration (MPa) | Mole Ratio between Zn2+ and Ethanol |
|---|---|---|---|---|---|
| 1 | 450 | 26 | 10 | 0.1 | 2:1 |
| 2 | 450 | 26 | 10 | 0.2 | 1:1 |
| 3 | 450 | 26 | 10 | 0.3 | 1:2 |
| 4 | 450 | 26 | 10 | 0.4 | 1:3 |
| 5 | 450 | 26 | 10 | 0.5 | 1:4 |
Disclaimer/Publisher’s Note: The statements, opinions and data contained in all publications are solely those of the individual author(s) and contributor(s) and not of MDPI and/or the editor(s). MDPI and/or the editor(s) disclaim responsibility for any injury to people or property resulting from any ideas, methods, instructions or products referred to in the content. |
© 2024 by the authors. Licensee MDPI, Basel, Switzerland. This article is an open access article distributed under the terms and conditions of the Creative Commons Attribution (CC BY) license (https://creativecommons.org/licenses/by/4.0/).
Share and Cite
Sun, P.; Lv, Z.; Sun, C. Study on the Synthesis of Nano Zinc Oxide Particles under Supercritical Hydrothermal Conditions. Nanomaterials 2024, 14, 844. https://doi.org/10.3390/nano14100844
Sun P, Lv Z, Sun C. Study on the Synthesis of Nano Zinc Oxide Particles under Supercritical Hydrothermal Conditions. Nanomaterials. 2024; 14(10):844. https://doi.org/10.3390/nano14100844
Chicago/Turabian StyleSun, Panpan, Zhaobin Lv, and Chuanjiang Sun. 2024. "Study on the Synthesis of Nano Zinc Oxide Particles under Supercritical Hydrothermal Conditions" Nanomaterials 14, no. 10: 844. https://doi.org/10.3390/nano14100844
APA StyleSun, P., Lv, Z., & Sun, C. (2024). Study on the Synthesis of Nano Zinc Oxide Particles under Supercritical Hydrothermal Conditions. Nanomaterials, 14(10), 844. https://doi.org/10.3390/nano14100844
