A Systematic Study of the Temperature Dependence of the Dielectric Function of GaSe Uniaxial Crystals from 27 to 300 K
Abstract
1. Introduction
2. Materials and Method
2.1. Sample Growth and Preparation
2.2. Band Structure Calculation
2.3. Characterization
3. Results and Discussion
3.1. Structural Characteristics
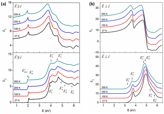
3.2. Critical Point (CP) Analysis
3.3. Identification of CPs
| Axes | CPs | This Work | References | This Work | ||||||
|---|---|---|---|---|---|---|---|---|---|---|
| SE | SE a | SE b | PL c | PL d | PL e | MWS f | DFT | |||
| 27 K | 300 K | RT | RT | 6 K c | RT | 80 K | 300 K | |||
| c-axis | 2.081 | 1.967 | _ | _ | 2.11 | 2.00 | 2.098 | _ | _ | |
| 2.108 | 1.997 | _ | _ | _ | _ | _ | _ | 2.29 | ||
| 3.89 | 3.77 | _ | _ | _ | _ | _ | _ | 3.94 | ||
| 4.06 | 4.03 | _ | _ | _ | _ | _ | _ | 4.12 | ||
| 4.65 | 4.53 | _ | _ | _ | _ | _ | _ | 4.72 | ||
| 4.78 | 4.75 | _ | _ | _ | _ | _ | _ | 4.83 | ||
| 5.32 | 5.26 | _ | _ | _ | _ | _ | _ | 5.39 | ||
| 5.95 | 5.91 | _ | _ | _ | _ | _ | _ | 5.90 | ||
| a-axis | 3.36 | 3.18 | 3.23 | 3.23 | _ | _ | _ | 3.22 | 3.30 | |
| 3.78 | 3.66 | 3.67 | 3.75 | _ | _ | _ | 3.68 | 3.79 | ||
| 4.80 | 4.68 | 4.60 | 4.69 | _ | _ | _ | 4.78 | 4.82 | ||
| 5.04 | 4.93 | 4.80 | 5.02 | _ | _ | _ | 5.07 | 5.00 | ||
| 5.34 | 5.23 | _ | 5.45 | _ | _ | _ | 5.48 | 5.50 | ||
| 5.76 | 5.74 | _ | 5.72 | _ | _ | _ | 5.75 | 5.79 | ||
| Axes | CPs | (eV) | (meV) | (K) | (eV) | (10−4 eVK−1) |
|---|---|---|---|---|---|---|
| c-axis | 2.15 ± 0.01 | 65 ± 6 | 232 ± 15 | _ | _ | |
| 2.17 ± 0.01 | 67 ± 6 | 238 ± 15 | _ | _ | ||
| 3.96 ± 0.02 | 72 ± 19 | 238 ± 44 | _ | _ | ||
| 4.09 ± 0.02 | 37 ± 22 | 419 ± 133 | _ | _ | ||
| 4.77 ± 0.03 | 117 ± 36 | 345 ± 63 | _ | _ | ||
| _ | _ | _ | 4.79 ± 0.01 | 1.15 ± 0.08 | ||
| _ | _ | _ | 5.32 ± 0.01 | 1.85 ± 0.15 | ||
| _ | _ | _ | 5.95 ± 0.01 | 1.99 ± 0.40 | ||
| a-axis | 3.44 ± 0.03 | 86 ± 30 | 209 ± 55 | _ | _ | |
| 3.84 ± 0.01 | 59 ± 3 | 209 ± 10 | _ | _ | ||
| 4.84 ± 0.01 | 37 ± 8 | 139 ± 24 | _ | _ | ||
| 5.15 ± 0.02 | 104 ± 22 | 309 ± 41 | _ | _ | ||
| _ | _ | _ | 5.35 ± 0.01 | 3.69 ± 0.32 | ||
| _ | _ | _ | 5.76 ± 0.01 | 0.62 ± 0.24 |
4. Conclusions
Supplementary Materials
Author Contributions
Funding
Data Availability Statement
Acknowledgments
Conflicts of Interest
References
- Abderrahmane, A.; Jung, P.-G.; Kim, N.-H.; Ko, P.J.; Sandhu, A. Gate-Tunable Optoelectronic Properties of a Nano-Layered GaSe Photodetector. Opt. Mater. Express 2017, 7, 587–592. [Google Scholar] [CrossRef]
- Saroj, R.K.; Guha, P.; Lee, S.; Yoo, D.; Lee, E.; Lee, J.; Kim, M.; Yi, G.-C. Photodetector Arrays Based on MBE-Grown GaSe/Graphene Heterostructure. Adv. Opt. Mater. 2022, 10, 2200332. [Google Scholar] [CrossRef]
- Chen, Z.; Chen, Q.; Chai, Z.; Wei, B.; Wang, J.; Liu, Y.; Shi, Y.; Wang, Z.; Li, J. Ultrafast Growth of High-Quality Large-Sized GaSe Crystals by Liquid Metal Promoter. Nano Res. 2022, 15, 4677–4681. [Google Scholar] [CrossRef]
- Sorifi, S.; Kaushik, S.; Singh, R. A GaSe/Si-Based Vertical 2D/3D Heterojunction for High-Performance Self-Driven Photodetectors. Nanoscale Adv. 2022, 4, 479–490. [Google Scholar] [CrossRef] [PubMed]
- Zappia, M.I.; Bianca, G.; Bellani, S.; Curreli, N.; Sofer, Z.; Serri, M.; Najafi, L.; Piccinni, M.; Oropesa-Nuñez, R.; Marvan, P.; et al. Two-Dimensional Gallium Sulfide Nanoflakes for UV-Selective Photoelectrochemical-Type Photodetectors. J. Phys. Chem. C 2021, 125, 11857–11866. [Google Scholar] [CrossRef] [PubMed]
- Zappia, M.I.; Bianca, G.; Bellani, S.; Serri, M.; Najafi, L.; Oropesa-Nuñez, R.; Martín-García, B.; Bouša, D.; Sedmidubský, D.; Pellegrini, V.; et al. Solution-Processed GaSe Nanoflake-Based Films for Photoelectrochemical Water Splitting and Photoelectrochemical-Type Photodetectors. Adv. Funct. Mater. 2020, 30, 1909572. [Google Scholar] [CrossRef]
- Yang, Z.; Chen, H.; Wu, F.; Hou, Y.; Qiao, J.; Ma, X.; Bai, H.; Ma, B.; Li, J. Investigation on Photocatalytic Property of SiH/GaSe and SiH/InSe Heterojunctions for Photocatalytic Water Splitting. Int. J. Hydrogen Energy 2022, 47, 31295–31308. [Google Scholar] [CrossRef]
- Zhang, W.X.; Hou, J.T.; Bai, M.; He, C.; Wen, J.R. Construction of Novel ZnO/Ga2SSe (GaSe) VdW Heterostructures as Efficient Catalysts for Water Splitting. Appl. Surf. Sci. 2023, 634, 157648. [Google Scholar] [CrossRef]
- Ahmad, H.; Reduan, S.A.; Sharbirin, A.S.; Ismail, M.F.; Zulkifli, M.Z. Q-Switched Thulium/Holmium Fiber Laser with Gallium Selenide. Optik 2018, 175, 87–92. [Google Scholar] [CrossRef]
- Yu, Q.; Liu, F.; Zhang, Y.; Deng, H.; Shu, B.; Zhang, J.; Yi, T.; Dai, Y.; Fan, C.; Su, W.; et al. Lab-on-Fiber Based on Optimized Gallium Selenide for Femtosecond Mode-Locked Lasers and Fiber-Compatible Photodetectors. Adv. Photonics Res. 2023, 4, 2200283. [Google Scholar] [CrossRef]
- Guo, J.; Xie, J.-J.; Li, D.-J.; Yang, G.-L.; Chen, F.; Wang, C.-R.; Zhang, L.-M.; Andreev, Y.M.; Kokh, K.A.; Lanskii, G.V.; et al. Doped GaSe Crystals for Laser Frequency Conversion. Light Sci. Appl. 2015, 4, e362. [Google Scholar] [CrossRef]
- Elafandi, S.; Ahmadi, Z.; Azam, N.; Mahjouri-Samani, M. Gas-Phase Formation of Highly Luminescent 2D GaSe Nanoparticle Ensembles in a Nonequilibrium Laser Ablation Process. Nanomaterials 2020, 10, 908. [Google Scholar] [CrossRef] [PubMed]
- Liu, G.; Xia, S.; Hou, B.; Gao, T.; Zhang, R. Mechanical Stabilities and Nonlinear Properties of Monolayer Gallium Selenide under Tension. Mod. Phys. Lett. B 2015, 29, 1550049. [Google Scholar] [CrossRef]
- Karvonen, L.; Säynätjoki, A.; Mehravar, S.; Rodriguez, R.D.; Hartmann, S.; Zahn, D.R.T.; Honkanen, S.; Norwood, R.A.; Peyghambarian, N.; Kieu, K.; et al. Investigation of Second- and Third-Harmonic Generation in Few-Layer Gallium Selenide by Multiphoton Microscopy. Sci. Rep. 2015, 5, 10334. [Google Scholar] [CrossRef] [PubMed]
- Shevchenko, O.N.; Nikolaev, N.A.; Antsygin, V.D. Estimation of the Nonlinear-Optical Coefficient of GaSe:S Crystals According to Electro-Optical Measurements. In Proceedings of the XVI International Conference on Pulsed Lasers and Laser Applications, Tomsk, Russia, 10–15 September 2023; Volume 12920, p. 129200G. [Google Scholar]
- Bergeron, A.; Ibrahim, J.; Leonelli, R.; Francoeur, S. Oxidation Dynamics of Ultrathin GaSe Probed through Raman Spectroscopy. Appl. Phys. Lett. 2017, 110, 241901. [Google Scholar] [CrossRef]
- Hoff, R.M.; Irwin, J.C.; Lieth, R.M.A. Raman Scattering in GaSe. Can. J. Phys. 1975, 53, 1606–1614. [Google Scholar] [CrossRef]
- Irwin, J.C.; Hoff, R.M.; Clayman, B.P.; Bromley, R.A. Long Wavelength Lattice Vibrations in GaS and GaSe. Solid State Commun. 1973, 13, 1531–1536. [Google Scholar] [CrossRef]
- Wieting, T.J.; Verble, J.L. Interlayer Bonding and the Lattice Vibrations of β-GaSe. Phys. Rev. B 1972, 5, 1473–1479. [Google Scholar] [CrossRef]
- Capozzi, V.; Montagna, M. Optical Spectroscopy of Extrinsic Recombinations in Gallium Selenide. Phys. Rev. B 1989, 40, 3182–3190. [Google Scholar] [CrossRef]
- Wei, C.; Chen, X.; Li, D.; Su, H.; He, H.; Dai, J.-F. Bound Exciton and Free Exciton States in GaSe Thin Slab. Sci. Rep. 2016, 6, 33890. [Google Scholar] [CrossRef]
- Zalamai, V.V.; Syrbu, N.N.; Stamov, I.G.; Beril, S.I. Wannier–Mott Excitons in GaSe Single Crystals. J. Opt. 2020, 22, 85402. [Google Scholar] [CrossRef]
- Usman, M.; Golovynskyi, S.; Dong, D.; Lin, Y.; Yue, Z.; Imran, M.; Li, B.; Wu, H.; Wang, L. Raman Scattering and Exciton Photoluminescence in Few-Layer GaSe: Thickness- and Temperature-Dependent Behaviors. J. Phys. Chem. C 2022, 126, 10459–10468. [Google Scholar] [CrossRef]
- Rakhlin, M.V.; Evropeitsev, E.A.; Eliseyev, I.A.; Toropov, A.A.; Shubina, T.V. Exciton Structure and Recombination Dynamics in GaSe Crystals. Bull. Russ. Acad. Sci. Phys. 2023, 87, S60–S65. [Google Scholar] [CrossRef]
- Akhundov, G.A.; Gasanova, N.A.; Nizametdinova, M.A. Optical Absorption, Reflection, and Dispersion of GaS and GaSe Layer Crystals. Phys. Status Solidi 1966, 15, K109–K113. [Google Scholar] [CrossRef]
- Balzarotti, A.; Piacentini, M. Excitonic Effect at the Direct Absorption Edges of GaSe. Solid State Commun. 1972, 10, 421–425. [Google Scholar] [CrossRef]
- Gauthier, M.; Polian, A.; Besson, J.M.; Chevy, A. Optical Properties of Gallium Selenide under High Pressure. Phys. Rev. B 1989, 40, 3837–3854. [Google Scholar] [CrossRef] [PubMed]
- Isik, M.; Tugay, E.; Gasanly, N.M. Temperature-Dependent Optical Properties of GaSe Layered Single Crystals. Philos. Mag. 2016, 96, 2564–2573. [Google Scholar] [CrossRef]
- Choi, S.G.; Levi, D.H.; Martinez-Tomas, C.; Muñoz Sanjosé, V. Above-Bandgap Ordinary Optical Properties of GaSe Single Crystal. J. Appl. Phys. 2009, 106, 53517. [Google Scholar] [CrossRef]
- Meyer, F.; de Kluizenaar, E.E.; den Engelsen, D. Ellipsometric Determination of the Optical Anisotropy of Gallium Selenide. J. Opt. Soc. Am. 1973, 63, 529–532. [Google Scholar] [CrossRef]
- Bourdon, A.; Khelladi, F. Selection Rule in the Fundamental Direct Absorption of GaSe. Solid State Commun. 1971, 9, 1715–1717. [Google Scholar] [CrossRef]
- Antonioli, G.; Bianchi, D.; Emiliani, U.; Podini, P.; Franzosi, P. Optical Properties and Electron-Phonon Interaction in GaSe. Nuovo Cim. B 1979, 54, 211–227. [Google Scholar] [CrossRef]
- Cui, Y.; Dupere, R.; Burger, A.; Johnstone, D.; Mandal, K.C.; Payne, S.A. Acceptor Levels in GaSe: In Crystals Investigated by Deep-Level Transient Spectroscopy and Photoluminescence. J. Appl. Phys. 2008, 103, 13710. [Google Scholar] [CrossRef]
- Zhang, D.; Jia, T.; Dong, R.; Chen, D. Temperature-Dependent Photoluminescence Emission from Unstrained and Strained GaSe Nanosheets. Materials 2017, 10, 1282. [Google Scholar] [CrossRef] [PubMed]
- Aspnes, D.E. Spectroscopic Ellipsometry—A Perspective. J. Vac. Sci. Technol. A 2013, 31, 58502. [Google Scholar] [CrossRef]
- Isik, M.; Gasanly, N. Ellipsometric Study of Optical Properties of GaSxSe1−x Layered Mixed Crystals. Opt. Mater. 2016, 54, 155–159. [Google Scholar] [CrossRef]
- Alencar, R.S.; Longuinhos, R.; Rabelo, C.; Miranda, H.; Viana, B.C.; Filho, A.G.S.; Cançado, L.G.; Jorio, A.; Ribeiro-Soares, J. Raman Spectroscopy Polarization Dependence Analysis in Two-Dimensional Gallium Sulfide. Phys. Rev. B 2020, 102, 165307. [Google Scholar] [CrossRef]
- Tavana, A.; Sahmani, M.R. Electronic Structure and Optical Properties of β-GaSe Based on the TB-MBJ Approximation. RSC Adv. 2016, 6, 72238–72245. [Google Scholar] [CrossRef]
- Plucinski, L.; Johnson, R.L.; Kowalski, B.J.; Kopalko, K.; Orlowski, B.A.; Kovalyuk, Z.D.; Lashkarev, G.V. Electronic Band Structure of GaSe(0001): Angle-Resolved Photoemission and Ab Initio Theory. Phys. Rev. B 2003, 68, 125304. [Google Scholar] [CrossRef]
- Rybkovskiy, D.V.; Arutyunyan, N.R.; Orekhov, A.S.; Gromchenko, I.A.; Vorobiev, I.V.; Osadchy, A.V.; Salaev, E.Y.; Baykara, T.K.; Allakhverdiev, K.R.; Obraztsova, E.D. Size-Induced Effects in Gallium Selenide Electronic Structure: The Influence of Interlayer Interactions. Phys. Rev. B 2011, 84, 85314. [Google Scholar] [CrossRef]
- Brudnyi, V.N.; Sarkisov, S.Y.; Kosobutsky, A.V. Electronic Properties of GaSe, InSe, GaS and GaTe Layered Semiconductors: Charge Neutrality Level and Interface Barrier Heights. Semicond. Sci. Technol. 2015, 30, 115019. [Google Scholar] [CrossRef]
- Blöchl, P.E. Projector Augmented-Wave Method. Phys. Rev. B 1994, 50, 17953–17979. [Google Scholar] [CrossRef] [PubMed]
- Kresse, G.; Hafner, J. Ab Initio Molecular Dynamics for Liquid Metals. Phys. Rev. B 1993, 47, 558–561. [Google Scholar] [CrossRef] [PubMed]
- Wyckoff, R.W.G. Crystal Structures; Interscience Publishers: New York, NY, USA, 1963. [Google Scholar]
- Perdew, J.P.; Burke, K.; Ernzerhof, M. Generalized Gradient Approximation Made Simple. Phys. Rev. Lett. 1996, 77, 3865–3868. [Google Scholar] [CrossRef] [PubMed]
- Perdew, J.P.; Chevary, J.A.; Vosko, S.H.; Jackson, K.A.; Pederson, M.R.; Singh, D.J.; Fiolhais, C. Atoms, Molecules, Solids, and Surfaces: Applications of the Generalized Gradient Approximation for Exchange and Correlation. Phys. Rev. B 1992, 46, 6671–6687. [Google Scholar] [CrossRef] [PubMed]
- Becke, A.D.; Johnson, E.R. A Simple Effective Potential for Exchange. J. Chem. Phys. 2006, 124, 221101. [Google Scholar] [CrossRef] [PubMed]
- Tran, F.; Blaha, P. Accurate Band Gaps of Semiconductors and Insulators with a Semilocal Exchange-Correlation Potential. Phys. Rev. Lett. 2009, 102, 226401. [Google Scholar] [CrossRef] [PubMed]
- Camara, M.O.D.; Mauger, A.; Devos, I. Electronic Structure of the Layer Compounds GaSe and InSe in a Tight-Binding Approach. Phys. Rev. B 2002, 65, 125206. [Google Scholar] [CrossRef]
- Ghalouci, L.; Taibi, F.; Ghalouci, F.; Bensaid, M.O. Ab Initio Investigation into Structural, Mechanical and Electronic Properties of Low Pressure, High Pressure and High Pressure-High Temperature Phases of Indium Selenide. Comput. Mater. Sci. 2016, 124, 62–77. [Google Scholar] [CrossRef]
- Srour, J.; Badawi, M.; El Haj Hassan, F.; Postnikov, A. Comparative Study of Structural and Electronic Properties of GaSe and InSe Polytypes. J. Chem. Phys. 2018, 149, 54106. [Google Scholar] [CrossRef]
- Chen, G.; Zhang, L.; Li, L.; Cheng, F.; Fu, X.; Li, J.; Pan, R.; Cao, W.; Chan, A.S.; Panin, G.N.; et al. GaSe Layered Nanorods Formed by Liquid Phase Exfoliation for Resistive Switching Memory Applications. J. Alloys Compd. 2020, 823, 153697. [Google Scholar] [CrossRef]
- Wang, T.; Li, J.; Zhao, Q.; Yin, Z.; Zhang, Y.; Chen, B.; Xie, Y.; Jie, W. High-Quality GaSe Single Crystal Grown by the Bridgman Method. Materials 2018, 11, 186. [Google Scholar] [CrossRef] [PubMed]
- Feng, Z.C.; Zhao, D.; Wan, L.; Lu, W.; Yiin, J.; Klein, B.; Ferguson, I.T. Angle-Dependent Raman Scattering Studies on Anisotropic Properties of Crystalline Hexagonal 4H-SiC. Materials 2022, 15, 8751. [Google Scholar] [CrossRef] [PubMed]
- Le, V.L.; Kim, T.J.; Kim, Y.D.; Aspnes, D.E. Combined Interpolation, Scale Change, and Noise Reduction in Spectral Analysis. J. Vac. Sci. Technol. B 2019, 37, 52903. [Google Scholar] [CrossRef]
- Le, L.V.; Deijkers, J.A.; Kim, Y.D.; Wadley, H.N.G.; Aspnes, D.E. Noise Reduction and Peak Detection in X-ray Diffraction Data by Linear and Nonlinear Methods. J. Vac. Sci. Technol. B 2023, 41, 44004. [Google Scholar] [CrossRef]
- Rak, Z.; Mahanti, S.D.; Mandal, K.C.; Fernelius, N.C. Electronic Structure of Substitutional Defects and Vacancies in GaSe. J. Phys. Chem. Solids 2009, 70, 344–355. [Google Scholar] [CrossRef]
- Ghalouci, L.; Benbahi, B.; Hiadsi, S.; Abidri, B.; Vergoten, G.; Ghalouci, F. First Principle Investigation into Hexagonal and Cubic Structures of Gallium Selenide. Comput. Mater. Sci. 2013, 67, 73–82. [Google Scholar] [CrossRef]
- Capozzi, V. Direct and Indirect Excitonic Emission in GaSe. Phys. Rev. B 1981, 23, 836–840. [Google Scholar] [CrossRef]
- Aulich, E.; Brebner, J.L.; Mooser, E. Indirect Energy Gap in GaSe and GaS. Phys. Status Solidi 1969, 31, 129–131. [Google Scholar] [CrossRef]
- Kohn, S.; Petroff, Y.; Shen, Y.R. Wavelength Modulation Spectra of GaSe, GaS, and Alloys. Surf. Sci. 1973, 37, 205–211. [Google Scholar] [CrossRef][Green Version]
- Shih, Y.-T.; Lin, D.-Y.; Tseng, B.-C.; Kao, Y.-M.; Hwang, S.-B.; Lin, C.-F. Structural and Optical Characterization of GaS1−xSex Layered Mixed Crystals Grown by Chemical Vapor Transport. Mater. Today Commun. 2023, 37, 107047. [Google Scholar] [CrossRef]
- Lautenschlager, P.; Garriga, M.; Cardona, M. Temperature Dependence of the Interband Critical-Point Parameters of InP. Phys. Rev. B 1987, 36, 4813–4820. [Google Scholar] [CrossRef] [PubMed]
- Nguyen, H.T.; Kim, T.J.; Park, H.G.; Le, V.L.; Nguyen, X.A.; Koo, D.; Lee, C.-H.; Cuong, D.D.; Hong, S.C.; Kim, Y.D. Temperature Dependence of Optical Properties of Monolayer WS2 by Spectroscopic Ellipsometry. Appl. Surf. Sci. 2020, 511, 145503. [Google Scholar] [CrossRef]






Disclaimer/Publisher’s Note: The statements, opinions and data contained in all publications are solely those of the individual author(s) and contributor(s) and not of MDPI and/or the editor(s). MDPI and/or the editor(s) disclaim responsibility for any injury to people or property resulting from any ideas, methods, instructions or products referred to in the content. |
© 2024 by the authors. Licensee MDPI, Basel, Switzerland. This article is an open access article distributed under the terms and conditions of the Creative Commons Attribution (CC BY) license (https://creativecommons.org/licenses/by/4.0/).
Share and Cite
Le, L.V.; Nguyen, T.-T.; Nguyen, X.A.; Cuong, D.D.; Nguyen, T.H.; Nguyen, V.Q.; Cho, S.; Kim, Y.D.; Kim, T.J. A Systematic Study of the Temperature Dependence of the Dielectric Function of GaSe Uniaxial Crystals from 27 to 300 K. Nanomaterials 2024, 14, 839. https://doi.org/10.3390/nano14100839
Le LV, Nguyen T-T, Nguyen XA, Cuong DD, Nguyen TH, Nguyen VQ, Cho S, Kim YD, Kim TJ. A Systematic Study of the Temperature Dependence of the Dielectric Function of GaSe Uniaxial Crystals from 27 to 300 K. Nanomaterials. 2024; 14(10):839. https://doi.org/10.3390/nano14100839
Chicago/Turabian StyleLe, Long V., Tien-Thanh Nguyen, Xuan Au Nguyen, Do Duc Cuong, Thi Huong Nguyen, Van Quang Nguyen, Sunglae Cho, Young Dong Kim, and Tae Jung Kim. 2024. "A Systematic Study of the Temperature Dependence of the Dielectric Function of GaSe Uniaxial Crystals from 27 to 300 K" Nanomaterials 14, no. 10: 839. https://doi.org/10.3390/nano14100839
APA StyleLe, L. V., Nguyen, T.-T., Nguyen, X. A., Cuong, D. D., Nguyen, T. H., Nguyen, V. Q., Cho, S., Kim, Y. D., & Kim, T. J. (2024). A Systematic Study of the Temperature Dependence of the Dielectric Function of GaSe Uniaxial Crystals from 27 to 300 K. Nanomaterials, 14(10), 839. https://doi.org/10.3390/nano14100839

