Bifunctional Bicarbazole-Benzophenone-Based Twisted Donor–Acceptor–Donor Derivatives for Deep-Blue and Green OLEDs
Abstract
1. Introduction
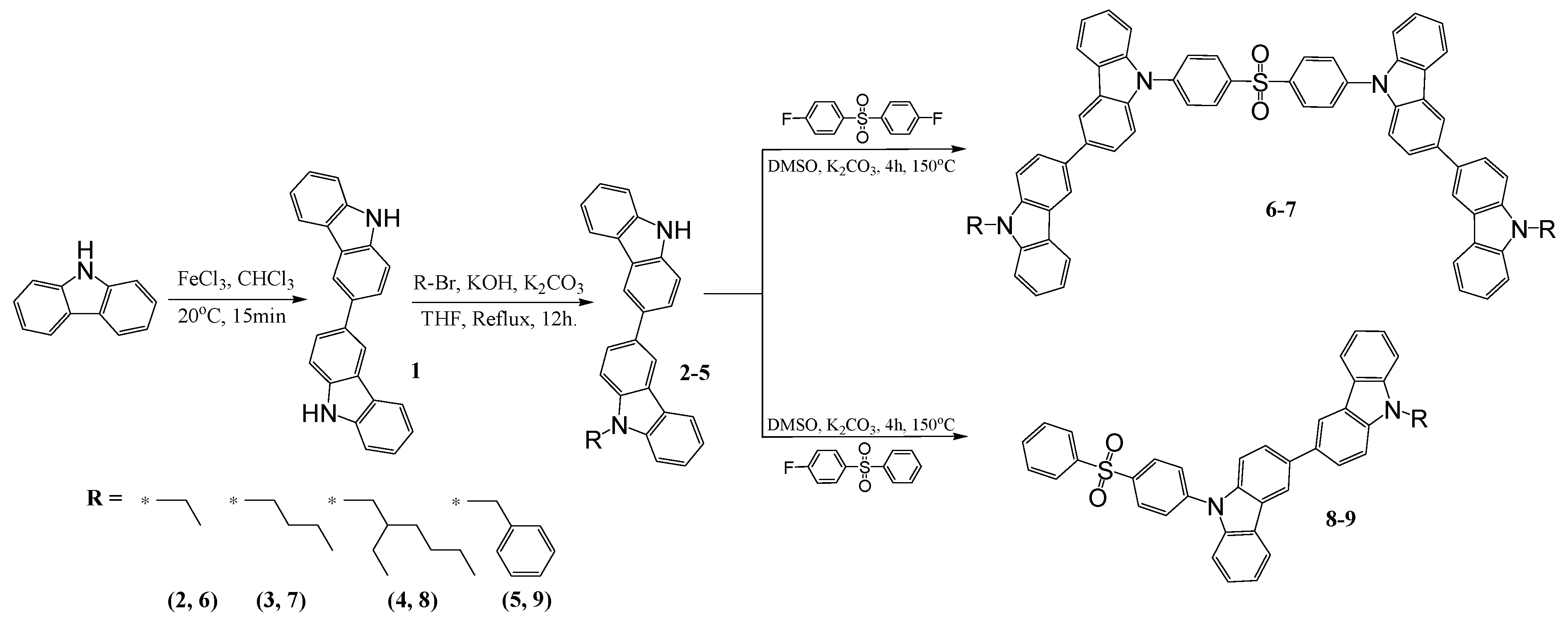
2. Experimental Section
2.1. Instrumentation
2.2. Device Fabrication
3. Result and Discussion
3.1. Characteristics of the Presented Materials
3.1.1. DFT Calculations
3.1.2. Photophysical Properties
3.1.3. Electrochemical Properties
3.1.4. Thermal Properties
3.2. Structure and Characterization of Electroluminescent OLED Devices
4. Conclusions
Supplementary Materials
Author Contributions
Funding
Data Availability Statement
Acknowledgments
Conflicts of Interest
References
- Chan, C.-Y.; Cui, L.-S.; Uk Kim, J.; Nakanotani, H.; Adachi, C.; Chan, C.; Cui, L.; Kim, J.U.; Nakanotani, H.; Adachi, C. Rational Molecular Design for Deep-Blue Thermally Activated Delayed Fluorescence Emitters. Adv. Funct. Mater. 2018, 28, 1706023. [Google Scholar] [CrossRef]
- Nayak, S.R.; Siddiqui, I.; Shahnawaz; Jou, J.-H.; Vaidyanathan, S. Diphenylimidazole Based Fluorophores for Explosive Chemosensors and as Efficient Host Materials for Green Phosphorescent Organic Light Emitting Diodes. ACS Appl. Opt. Mater. 2022, 1, 94–106. [Google Scholar] [CrossRef]
- Solanki, J.D.; Siddiqui, I.; Gautam, P.; Gupta, V.K.; Jou, J.H.; Surati, K.R. Blue Fluorescent Zinc(II) Complexes Bearing Schiff Base Ligand for Solution-Processed Organic Light-Emitting Diodes with CIEy ≤ 0.09. Opt. Mater. 2022, 134, 113222. [Google Scholar] [CrossRef]
- Nayak, S.R.; Shahnawaz; Siddiqui, I.; Jou, J.H.; Patel, S.; Vaidyanathan, S. Multifunctional 4,5-Diphenyl-1 H-Imidazole-Based Luminogens as Near UV/Deep Blue Emitters/Hosts for Organic Light-Emitting Diodes and Selective Picric Acid Detection. J. Phys. Chem. C 2022, 127, 499–515. [Google Scholar] [CrossRef]
- Sharma, A.; Thomas, K.R.J.; Kesavan, K.K.; Siddiqui, I.; Nagar, M.R.; Jou, J.H. Effect of Positional Isomerism on the Functional Properties of Carbazole-Phenanthroimidazole-Triphenylamine Triads. Dye. Pigment. 2021, 196, 109744. [Google Scholar] [CrossRef]
- Shahnawaz; Siddiqui, I.; Nagar, M.R.; Choudhury, A.; Lin, J.T.; Blazevicius, D.; Krucaite, G.; Grigalevicius, S.; Jou, J.H. Highly Efficient Candlelight Organic Light-Emitting Diode with a Very Low Color Temperature. Molecules 2021, 26, 7558. [Google Scholar] [CrossRef]
- De, J.; Sarkar, I.; Yadav, R.A.K.; Bala, I.; Gupta, S.P.; Siddiqui, I.; Jou, J.H.; Pal, S.K. Luminescent Columnar Discotics as Highly Efficient Emitters in Pure Deep-Blue OLEDs with an External Quantum Efficiency of 4.7%. Soft Matter 2022, 18, 4214–4219. [Google Scholar] [CrossRef]
- Singh, K.; Siddiqui, I.; Sridharan, V.; Kumar Yadav, R.A.; Jou, J.H.; Adhikari, D. Aggregation-Induced Enhanced Emission-Active Zinc(II) β-Diketiminate Complexes Enabling High-Performance Solution-Processable OLEDs. Inorg. Chem. 2021, 60, 19128–19135. [Google Scholar] [CrossRef]
- Sharma, A.; Thomas, K.R.J.; Kesavan, K.K.; Siddiqui, I.; Ram Nagar, M.; Jou, J.H. Effect of Cyano on the Functional Properties of Phenanthroimidazole-Substituted Carbazole Derivatives. ACS Appl. Electron. Mater. 2021, 3, 3876–3888. [Google Scholar] [CrossRef]
- Girase, J.D.; Tagare, J.; Shahnawaz; Nagar, M.R.; Siddiqui, I.; Jou, J.H.; Patel, S.; Vaidyanathan, S. Deep-Blue Emitters (CIEy ∼0.07) Based on Phenanthroimidazole: Remarkable Substitution Effects at the N1 Position of Imidazole on the Excited States and Electroluminescence Properties. Dye. Pigment. 2021, 196, 109791. [Google Scholar] [CrossRef]
- Chaskar, A.; Chen, H.-F.; Wong, K.-T. Bipolar Host Materials: A Chemical Approach for Highly Efficient Electrophosphorescent Devices. Wiley Online Libr. 2011, 23, 3876–3895. [Google Scholar] [CrossRef] [PubMed]
- Han, C.; Zhao, Y.; Xu, H.; Chen, J.; Deng, Z.; Ma, D.; Li, Q.; Yan, P. A Simple Phosphine-Oxide Host with a Multi-Insulating Structure: High Triplet Energy Level for Efficient Blue Electrophosphorescence. Chem.-A Eur. J. 2011, 17, 5800–5803. [Google Scholar] [CrossRef] [PubMed]
- Chien, C.H.; Chen, C.K.; Hsu, F.M.; Shu, C.F.; Chou, P.T.; Lai, C.H. Multifunctional Deep-Blue Emitter Comprising an Anthracene Core and Terminal Triphenylphosphine Oxide Groups. Adv. Funct. Mater. 2009, 19, 560–566. [Google Scholar] [CrossRef]
- Tao, Y.; Wang, Q.; Yang, C.; Zhong, C.; Qin, J.; Ma, D. Multifunctional Triphenylamine/Oxadiazole Hybrid as Host and Exciton-Blocking Material: High Efficiency Green Phosphorescent OLEDs Using Easily Available and Common Materials. Adv. Funct. Mater. 2010, 20, 2923–2929. [Google Scholar] [CrossRef]
- Sudheendran Swayamprabha, S.; Kumar Dubey, D.; Ashok Kumar Yadav, R.; Ram Nagar, M.; Sharma, A.; Tung, F.-C.; Jou, J.-H.; Sudheendran Swayamprabha, S.; Dubey, D.K.; K Yadav, R.A.; et al. Approaches for Long Lifetime Organic Light Emitting Diodes. Adv. Sci. 2021, 8, 2002254. [Google Scholar] [CrossRef]
- Devesing Girase, J.; Rani Nayak, S.; Tagare, J.; Shahnawaz; Ram Nagar, M.; Jou, J.H.; Vaidyanathan, S. Solution-Processed Deep-Blue (Y∼0.06) Fluorophores Based on Triphenylamine-Imidazole (Donor-Acceptor) for OLEDs: Computational and Experimental Exploration. J. Inf. Disp. 2022, 23, 53–67. [Google Scholar] [CrossRef]
- Anupriya; Thomas, K.R.J.; Nagar, M.R.; Shahnawaz; Jou, J.H. Phenanthroimidazole Substituted Imidazo[1,2-a]Pyridine Derivatives for Deep-Blue Electroluminescence with CIEy~0.08. J. Photochem. Photobiol. A Chem. 2022, 423, 113600. [Google Scholar] [CrossRef]
- Liu, H.; Kang, L.; Li, J.; Liu, F.; He, X.; Ren, S.; Tang, X.; Lv, C.; Lu, P. Highly Efficient Deep-Blue Organic Light-Emitting Diodes Based on Pyreno[4,5-d]Imidazole-Anthracene Structural Isomers. J. Mater. Chem. C Mater. 2019, 7, 10273–10280. [Google Scholar] [CrossRef]
- Kim, S.K.; Yang, B.; Ma, Y.; Lee, J.H.; Park, J.W. Exceedingly Efficient Deep-Blue Electroluminescence from New Anthracenes Obtained Using Rational Molecular Design. J. Mater. Chem. 2008, 18, 3376–3384. [Google Scholar] [CrossRef]
- Liu, X.; Li, J.; Qiu, X.; Ye, X.; Xu, L.; Hu, D. Highly Efficient Non-Doped Deep-Blue OLED with NTSC CIEy and Negligible Efficiency Roll-off Based on Emitter Possessing Hydrogen Bond and Hybridized Excited State. Dye. Pigment. 2022, 200, 110135. [Google Scholar] [CrossRef]
- Kamino, B.A.; Chang, Y.L.; Lu, Z.H.; Bender, T.P. Phthalonitrile Based Fluorophores as Fluorescent Dopant Emitters in Deep-Blue OLEDs: Approaching the NTSC Standard for Blue. Org. Electron. 2012, 13, 1479–1485. [Google Scholar] [CrossRef]
- Tan, Y.; Zhao, Z.; Shang, L.; Liu, Y.; Wei, C.; Li, J.; Wei, H.; Liu, Z.; Bian, Z.; Huang, C. A Novel Bipolar D–π–A Type Phenanthroimidazole/Carbazole Hybrid Material for High Efficiency Nondoped Deep-Blue Organic Light-Emitting Diodes with NTSC CIEy and Low Efficiency Roll-Off. J. Mater. Chem. C Mater. 2017, 5, 11901–11909. [Google Scholar] [CrossRef]
- Lee, J.H.; Chen, C.H.; Lee, P.H.; Lin, H.Y.; Leung, M.K.; Chiu, T.L.; Lin, C.F. Blue Organic Light-Emitting Diodes: Current Status, Challenges, and Future Outlook. J. Mater. Chem. C Mater. 2019, 7, 5874–5888. [Google Scholar] [CrossRef]
- Zhu, M.; Yang, C. Blue Fluorescent Emitters: Design Tactics and Applications in Organic Light-Emitting Diodes. Chem. Soc. Rev. 2013, 42, 4963–4976. [Google Scholar] [CrossRef]
- Xu, H.; Chen, R.; Sun, Q.; Lai, W.; Su, Q.; Huang, W.; Liu, X. Recent Progress in Metal–Organic Complexes for Optoelectronic Applications. Chem. Soc. Rev. 2014, 43, 3259–3302. [Google Scholar] [CrossRef]
- Du, C.; Lu, T.; Cheng, Z.; Chang, Y.; Liu, H.; Wang, J.; Wan, L.; Lv, Y.; Lu, P. Rational Molecular Design of Phenanthroimidazole-Based Fluorescent Materials towards High-Efficiency Non-Doped Deep Blue OLEDs. J. Mater. Chem. C Mater. 2022, 10, 14186–14193. [Google Scholar] [CrossRef]
- Wang, Z.; Yang, T.; Dong, S.; Wen, Z.; Xu, H.; Miao, Y.; Wang, H.; Yu, J. Anthracene and Carbazole Based Asymmetric Fluorescent Materials for High-Efficiency Deep-Blue Non-Doped Organic Light Emitting Devices with CIEy = 0.06. Dyes Pigment. 2022, 199, 110047. [Google Scholar] [CrossRef]
- Xing, L.; Zhu, Z.L.; He, J.; Qiu, Z.; Yang, Z.; Lin, D.; Chen, W.C.; Yang, Q.; Ji, S.; Huo, Y.; et al. Anthracene-Based Fluorescent Emitters toward Superior-Efficiency Nondoped TTA-OLEDs with Deep Blue Emission and Low Efficiency Roll-Off. Chem. Eng. J. 2021, 421, 127748. [Google Scholar] [CrossRef]
- Wang, Z.; Zheng, C.; Liu, H.; Ou, X.; Zhang, X. Efficient and Stable Non-Doped Deep-Blue Organic Light Emitting Diode Based on an Anthracene Derivative. Sci. China Chem. 2011, 54, 666–670. [Google Scholar] [CrossRef]
- Zheng, C.; Zhao, W.; Wang, Z.; Huang, D.; Ye, J.; Ou, X.; Zhang, X.; Lee, C.; Lee, S. Highly Efficient Non-Doped Deep-Blue Organic Light-Emitting Diodes Based on Anthracene Derivatives. J. Mater. Chem. 2010, 20, 1560–1566. [Google Scholar] [CrossRef]
- Chem, J.M.; Kim, S.H.; Cho, I.; Sim, M.K.; Park, S.; Park, S.Y. Highly Efficient Deep-Blue Emitting Organic Light Emitting Diode Based on the Multifunctional Fluorescent Molecule Comprising Covalently Bonded Carbazole and Anthracene Moieties. J. Mater. Chem. 2011, 21, 9139–9148. [Google Scholar] [CrossRef]
- Kotchapradist, P.; Prachumrak, N.; Tarsang, R.; Jungsuttiwong, S.; Keawin, T.; Sudyoadsuk, T.; Promarak, V. Pyrene-Functionalized Carbazole Derivatives as Non-Doped Blue Emitters for Highly Efficient Blue Organic Light-Emitting Diodes. J. Mater. Chem. C 2013, 1, 4916–4924. [Google Scholar] [CrossRef]
- Figueira-Duarte, T.M.; Del Rosso, P.G.; Trattnig, R.; Sax, S.; List, E.J.W.; Mullen, K. Designed Suppression of Aggregation in Polypyrene: Toward High-Performance Blue-Light-Emitting Diodes. Adv. Mater. 2010, 22, 990–993. [Google Scholar] [CrossRef] [PubMed]
- Figueira-Duarte, T.M.; Simon, S.C.; Wagner, M.; Druzhinin, S.I.; Zachariasse, K.A.; Müllen, K. Polypyrene Dendrimers. Angew. Chem. Int. Ed. 2008, 47, 10175–10178. [Google Scholar] [CrossRef]
- Kumar, D.; Thomas, K.R.J.; Lin, C.C.; Jou, J.H. Pyrenoimidazole-Based Deep-Blue-Emitting Materials: Optical, Electrochemical, and Electroluminescent Characteristics. Chem. Asian J. 2013, 8, 2111–2124. [Google Scholar] [CrossRef]
- Jou, J.; Chen, Y.; Tseng, J.; Wu, R.Z.; Shyue, J.J.; Thomas, K.J.; Kapoor, N.; Chen, C.T.; Lin, Y.P.; Wang, P.H.; et al. The Use of a Polarity Matching and High-Energy Exciton Generating Host in Fabricating Efficient Purplish-Blue OLEDs from a Sky-Blue Emitter. J. Mater. Chem. 2012, 22, 15500–15506. [Google Scholar] [CrossRef]
- Hu, L.; Wu, Z.; Wang, X.; Ma, Y.; Guo, T.; Ying, L.; Peng, J.; Cao, Y. Deep-Blue Light-Emitting Polyfluorenes with Asymmetrical Naphthylthio-Fluorene as Chromophores. J. Polym. Sci. A Polym. Chem. 2019, 57, 171–182. [Google Scholar] [CrossRef]
- Lee, J.Y.; Lee, K.H.; Kwon, Y.S.; Lee, J.Y.; Kang, S.; Yook, K.S.; Jeon, S.O.; Yoon, S.S. Highly Efficient Blue Organic Light-Emitting Diodes Based on 2-(Diphenylamino)Fluoren-7-Ylvinylarene Derivatives That Bear a Tert-Butyl Group. Chem.-A Eur. J. 2011, 17, 12994–13006. [Google Scholar] [CrossRef]
- Lai, W.Y.; Zhu, R.; Fan, Q.L.; Hou, L.T.; Cao, Y.; Huang, W. Monodisperse Six-Armed Triazatruxenes: Microwave-Enhanced Synthesis and Highly Efficient Pure-Deep-Blue Electroluminescence. Macromolecules 2006, 39, 3707–3709. [Google Scholar] [CrossRef]
- Lai, W.Y.; He, Q.Y.; Zhu, R.; Chen, Q.Q.; Huang, W. Kinked Star-Shaped Fluorene/ Triazatruxene Co-Oligomer Hybrids with Enhanced Functional Properties for High-Performance, Solution-Processed, Blue Organic Light-Emitting Diodes. Adv. Funct. Mater. 2008, 18, 265–276. [Google Scholar] [CrossRef]
- You, A.; Be, M.A.Y.; In, I. High Efficiency Deep-Blue Organic Light- Emitting Diode with a Blue Dye in Low- Polarity Host. Appl. Phys. Lett. 2008, 92, 193314. [Google Scholar] [CrossRef]
- Wang, L.; Jiang, Y.; Luo, J.; Zhou, Y.; Zhou, J.; Wang, J.; Pei, J.; Cao, Y. Highly Efficient and Color-Stable Deep-Blue Organic Light-Emitting Diodes Based on a Solution-Processible Dendrimer. Adv. Mater. 2009, 21, 4854–4858. [Google Scholar] [CrossRef] [PubMed]
- Liu, B.; Yu, Z.W.; He, D.; Li, M.D.; Xie, W.F.; Tong, Q.X. Productive Harvesting of Triplet Excitons in Anthracene-Based Emitters toward High-Performance Deep-Blue Nondoped Organic Light-Emitting Diodes. Mater. Today Chem. 2022, 23, 100630. [Google Scholar] [CrossRef]
- Chen, W.-C.; Yuan, Y.; Ni, S.-F.; Tong, Q.-X.; Wong, F.-L.; Lee, C.-S. Achieving Efficient Violet-Blue Electroluminescence with CIE y < 0.06 and EQE > 6% from Naphthyl-Linked Phenanthroimidazole-Carbazole Hybrid Fluorophores. Chem. Sci. 2017, 8, 3599–3608. [Google Scholar] [CrossRef] [PubMed]
- Lee, J.; Jeong, C.; Batagoda, T.; Coburn, C.; Thompson, M.E.; Forrest, S.R. ARTICLE Hot Excited State Management for Long-Lived Blue Phosphorescent Organic Light-Emitting Diodes. Nat. Commun. 2017, 8, 15566. [Google Scholar] [CrossRef] [PubMed]
- Yiu, T.C.; Gnanasekaran, P.; Chen, W.-L.; Lin, W.-H.; Lin, M.-J.; Wang, D.-Y.; Lu, C.-W.; Chang, C.-H.; Chang, Y.J. Multifaceted Sulfone–Carbazole-Based D–A–D Materials: A Blue Fluorescent Emitter as a Host for Phosphorescent OLEDs and Triplet–Triplet Annihilation Up-Conversion Electroluminescence. ACS Appl. Mater. Interfaces 2022, 15, 1748–1761. [Google Scholar] [CrossRef]
- Lin, S.L.; Chan, L.H.; Lee, R.H.; Yen, M.Y.; Kuo, W.J.; Chen, C.T.; Jeng, R.J. Highly Efficient Carbazole-π-Dimesitylborane Bipolar Fluorophores for Nondoped Blue Organic Light-Emitting Diodes. Adv. Mater. 2008, 20, 3947–3952. [Google Scholar] [CrossRef]
- Xin, J.; Li, Z.; Liu, Y.; Liu, D.; Zhu, F.; Wang, Y.; Yan, D. High-Efficiency Non-Doped Deep-Blue Fluorescent Organic Light-Emitting Diodes Based on Carbazole/Phenanthroimidazole Derivatives. J. Mater. Chem. C 2020, 8, 10185–10190. [Google Scholar] [CrossRef]
- Yang, H.; Peng, X.; Cao, C.; Wu, L.; Chen, N.; Zhang, X.; Xie, W.; Tong, Q.; Wu, Z. A Deep Blue Fluorescent Emitter Functioning as Host Material in Highly Efficient Phosphorescent and Hybrid White Organic Light-Emitting Devices. Org. Electron. 2020, 85, 105848. [Google Scholar] [CrossRef]
- Xu, J.; Liu, H.; Li, J.; Zhao, Z.; Tang, B.Z. Multifunctional Bipolar Materials Serving as Emitters for Efficient Deep-Blue Fluorescent OLEDs and as Hosts for Phosphorescent and White OLEDs. Adv. Opt. Mater. 2021, 9, 2001840. [Google Scholar] [CrossRef]
- Singh, G.; Bhalla, V.; Kumar, M. Carbazole-Functionalized Polyphenylene-Decorated Solid State Emissive D–A–D Molecules: Reduced Donor–Acceptor Interaction and Enhanced Emission in the Solid State. Phys. Chem. Chem. Phys. 2015, 17, 22079–22089. [Google Scholar] [CrossRef] [PubMed]
- Pereira, D.D.S.; Monkman, A.P. Methods of analysis of organic light emitting diodes. Disp. Imaging 2017, 2, 323–337. [Google Scholar]
- Inoue, S.; Minemawari, H.; Tsutsumi, J.; Chikamatsu, M.; Yamada, T.; Horiuchi, S.; Tanaka, M.; Kumai, R.; Yoneya, M.; Hasegawa, T. Effects of Substituted Alkyl Chain Length on Solution-Processable Layered Organic Semiconductor Crystals. Chem. Mater. 2015, 27, 3809–3812. [Google Scholar] [CrossRef]
- Yang, X.; Xu, X.; Zhou, G. Recent advances of the emitters for high performance deep-blue organic light-emitting diodes. J. Mater. Chem. C 2015, 3, 913–9440. [Google Scholar] [CrossRef]
- Tian, X.; Sheng, J.; Zhang, S.; Xiao, S.; Gao, Y.; Liu, H.; Yang, B. A Novel Deep Blue LE-Dominated HLCT Excited State Design Strategy and Material for OLED. Molecules 2021, 26, 4560. [Google Scholar] [CrossRef]
- Hedley, G.J.; Ruseckas, A.; Samuel, I.D.W. Ultrafast Luminescence in Ir(Ppy)3. Chem. Phys. Lett. 2008, 450, 292–296. [Google Scholar] [CrossRef]
- Wang, P.; Zhao, S.; Xu, Z.; Qiao, B.; Long, Z.; Huang, Q. The Electroluminescence Mechanism of Solution-Processed TADF Emitter 4CzIPN Doped OLEDs Investigated by Transient Measurements. Molecules 2016, 21, 1365. [Google Scholar] [CrossRef]
- Yook, K.P.; Lee, J.Y. Small Molecule Host Materials for Solution Processed Phosphorescent Organic Light-Emitting Diodes. Adv. Mater. 2014, 26, 4218–4233. [Google Scholar] [CrossRef]
- Krucaite, G.; Grigalevicius, S. 2,7(3,6)-Diaryl(arylamino)-substituted Carbazoles as Components of OLEDs: A Review of the Last Decade. Materials 2021, 14, 6754. [Google Scholar] [CrossRef]
- Romero, B.; Schaer, M.; Leclerc, M.; Ades, D.; Siove, A.; Zuppiroli, L. The role of carbazole in organic light-emitting devices. Synth. Met. 1996, 80, 271–277. [Google Scholar] [CrossRef]
- Vaitkeviciene, V.; Grigalevicius, S.; Grazulevicius, J.; Jankauskas, V.; Syromyatnikov, V. Hole-transporting [3,3′]bicarbazolyl-based polymers and well-defined model compounds. Eur. Polymer J. 2006, 42, 2254–2260. [Google Scholar] [CrossRef]

















| Emitter | λex (nm) | λem (nm) | Eg (eV) | Φ (%) | Decay (ns) | HOMO (eV) | LUMO (eV) | S1 (eV) | T1 (eV) | ΔEST (eV) | Td (°C) | Tg (°C) | |||||
|---|---|---|---|---|---|---|---|---|---|---|---|---|---|---|---|---|---|
| Theo. | Cal. | Theo. | Cal. | Theo. | Cal. | Theo. | Cal. | Theo. | Cal. | ||||||||
| DB 13 | 365.2 | 465.4 | 3.16 | 50.5 | 3.30 | 5.41 | 5.73 | 1.96 | 2.57 | 3.07 | 3.10 | 2.94 | 2.78 | 0.13 | 0.32 | 430 | 154 |
| DB 24 | 375.4 | 462.5 | 3.30 | 61.8 | 3.70 | 5.41 | 5.71 | 1.85 | 2.41 | 3.17 | 3.17 | 3.01 | 2.77 | 0.16 | 0.35 | 391 | 82 |
| DB 34 | 363.0 | 462.0 | 3.28 | 68.5 | 2.70 | 5.47 | 5.77 | 1.86 | 2.49 | 3.25 | 3.14 | 3.07 | 2.80 | 0.18 | 0.34 | 383 | 125 |
| DB 43 | 366.9 | 463.2 | 3.26 | 66.5 | 3.30 | 5.41 | 5.69 | 1.95 | 2.43 | 3.08 | 3.23 | 2.95 | 2.77 | 0.13 | 0.46 | 365 | 154 |
| Emitter | Concentration (wt%) | Turn-on Voltage (Von) | Power Efficacy (lm/W) | Current Efficacy (cd/A) | EQE (%) | CIE | Max Luminance (cd/m2) |
|---|---|---|---|---|---|---|---|
| @100/1000 cd/m 2 and Max | |||||||
| DB34 | 5.0 | 4.2 | 0.7/-/0.8 | 1.1/-/1.2 | 2.3/-/2.3 | (0.16, 0.07)/- | 589 |
| 10 | 4.0 | 0.8/-/0.8 | 1.2/-/1.2 | 2.0/-/2.0 | (0.16, 0.08)/- | 631 | |
| 15 | 3.8 | 0.8/-/1.0 | 1.3/-/1.4 | 1.8/-/2.0 | (0.16, 0.09)/- | 599 | |
| 100 | 3.4 | 0.2/-/0.3 | 0.2/-/0.3 | 0.1/-/0.2 | (0.19, 0.24)/- | 179 | |
| DB 24 | 5.0 | 5.1 | 0.8/-/0.8 | 1.5/-/1.5 | 2.5/-/2.5 | (0.16, 0.08)/- | 724 |
| 10 | 3.9 | 0.8/-/0.8 | 1.2/-/1.2 | 1.7/-/1.8 | (0.16, 0.09)/- | 830 | |
| 15 | 3.7 | 0.9/-/1.0 | 1.4/-/1.4 | 1.6/-/1.6 | (0.16, 0.11)/- | 867 | |
| 100 | 3.1 | 0.3/-/0.3 | 0.4/-/0.4 | 0.2/-/0.2 | (0.19, 0.21)/- | 238 | |
| DB 43 | 5.0 | 4.6 | 0.6/-/0.9 | 1.1/-/1.4 | 1.3/-/1.6 | (0.17, 0.11)/- | 631 |
| 10 | 4.1 | 0.9/-/1.2 | 1.5/-/1.7 | 1.6/-/1.4 | (0.18, 0.14)/- | 715 | |
| 15 | 4.0 | 0.9/-/1.2 | 1.5/-/1.6 | 1.2/-/1.2 | (0.19, 0.16)/- | 892 | |
| 100 | 3.2 | 0.2/-/0.3 | 0.2/-/0.3 | 0.1/-/0.1 | (0.25, 0.34)/- | 278 | |
| DB 13 | 5.0 | 4.6 | 1.1/0.7/1.1 | 1.8/1.5/1.8 | 3.2/2.5/3.4 | (0.16, 0.08)/(0.16, 0.08)/- | 2230 |
| 10 | 3.7 | 1.7/ 1.0/ 2.0 | 2.3/ 1.7/ 2.5 | 3.4/2.5/4.0 | (0.16, 0.09)/(0.16, 0.09)/- | 2987 | |
| 15 | 3.5 | 1.6/1.1/1.6 | 2.0/1.9/2.2 | 2.8/2.5/2.9 | (0.16, 0.10)/(0.16, 0.10)/- | 3167 | |
| 100 | 3.0 | 0.9/-/1.0 | 1.1/-/1.1 | 0.6/-/0.6 | (0.16, 0.2)/- | 928 | |
| Host | Ir(ppy)3 Doping con. (wt%) | Turn-on Voltage (V) | PEmax/CEmax/EQEmax (lm/W/cd/A/%) | PE100/CE100/EQE100 (lm/W/cd/A/%) | PE1,000/CE1000/EQE1000 (lm/W/cd/A/%) | PE10,000/CE10,000/EQE10,000 (lm/W/cd/A/%) | CIExy Coordinates | Maxi. Lum. (cd/m2) |
|---|---|---|---|---|---|---|---|---|
| DB 13 | 10 | 2.6 | 40.0/41.1/11.1 | 39.8/40.6/11.0 | 32.1/40.9/11.1 | 17.2/ 32.8/ 8.9 | (0.32, 0.62)/(0.32, 0.62)/(0.32, 0.62) | 33,870 |
| 12.5 | 3.1 | 45.4/43.4/ 10.6 | 40.0/43.3/ 10.6 | 33.4/ 42.5 /10.5 | 20.8/ 36.4/ 8.7 | (0.31, 0.62)/ (0.31, 0.62)/ (0.31, 0.63) | 37,680 | |
| 15 | 2.5 | 34.6/35.3/ 9.5 | 34.6/33.7/ 9.1 | 28.7/33.5/ 9.4 | 17.5/ 29.5/ 7.9 | (0.32, 0.62)/ (0.32, 0.62)/ (0.32, 0.62) | 32,300 | |
| DB 24 | 10 | 2.8 | 37.8/32.5/ 9.0 | 30.9/32.4/ 8.9 | 24.2/30.9/ 8.5 | 11.4/ 21.8/ 6.0 | (0.32, 0.62)/ (0.31, 0.62) (0.31, 0.62) | 1410 |
| 12.5 | 2.9 | 30.8/28.3/ 7.8 | 28.7/28.4/ 7.8 | 21.2/27.0/ 7.4 | 9.5 /18.2/ 5.0 | (0.32, 0.62)/ (0.31, 0.62)/ (0.31, 0.62) | 16,960 | |
| 15 | 2.8 | 25.7/26.2/ 7.2 | 23.3/26.0/ 7.2 | 16.8/24.1/ 6.6 | 6.4/ 14.3/ 3.9 | (0.32, 0.62)/ (0.32, 0.62)/ (0.31, 0.62) | 16,200 | |
| DB 34 | 10 | 2.6 | 37.9/36.2/ 9.8 | 33/ 34.7/ 9.4 | 27.1/34.5/ 9.3 | 12.8/ 24.5/ 6.6 | (0.32, 0.62)/ (0.32, 0.62)/ (0.32, 0.62) | 22,570 |
| 12.5 | 2.8 | 32.7/32.8/ 8.7 | 31.6/32.2/ 8.7 | 24.3/30.9/ 8.3 | 9.8/ 18.7/ 5.1 | (0.31, 0.62)/ (0.31, 0.62)/ (0.31, 0.63) | 21,430 | |
| 15 | 2.9 | 20.2/21.0/ 5.7 | 18.7/20.8/ 5.6 | 14.5/20.8/ 5.6 | 7.3/ 15.1/ 4.1 | (0.32, 0.62)/ (0.32, 0.62)/ (0.32, 0.62) | 22,100 |
| Host | 4CzIPN Doping con. (wt%) | Turn-on Voltage (V) | PEmax/ CEmax/EQEmax (lm/W/cd/A/ %) | PE100/CE100/EQE100 (lm/W/cd/A/ %) | PE1,000/CE1000/EQE1000 (lm/W/cd/A/ %) | CIExy Coordinates | Maxi. Lum. (cd/m2) |
|---|---|---|---|---|---|---|---|
| DB 13 | 1 | 3.2 | 16.6/15.8/4.8 | 7.9/11.1/3.6 | 4.1/8.5/3.1 | (0.32, 0.51)/(0.29, 0.46) | 3108 |
| 3 | 3.8 | 24.9/22.2/6.7 | 12.1/15.5/4.7 | 2.3/4.8/1.5 | (0.32, 0.55)/(0.29, 0.51) | 5869 | |
| 5 | 2.9 | 16.2/15.7/4.7 | 14.1/15.7/4.7 | 6.6/11.7/3.6 | (0.35, 0.55)/(0.34, 0.54) | 712 | |
| DB 24 | 1 | 3.1 | -/-/- | 10.1/12.9/4.6 | 3.7/7.0/2.7 | (0.29, 0.47)/(0.27, 0.42) | 2823 |
| 3 | 2.8 | 22.9/23.1/7.7 | 20.7/23.1/7.7 | 12.1/17.3/5.8 | (0.31, 0.52)/(0.30, 0.51) | 6231 | |
| 5 | 2.8 | 18.4/20.5/6.6 | 18.4/20.5/6.6 | 10.8/15.5/5.0 | (0.31, 0.54)/(0.31, 0.53) | 7689 | |
| DB 34 | 1 | 2.7 | 30.4/27.1/8.9 | 21.3/23.1/7.7 | 10.2/14.7/5.0 | (0.27, 0.51)/(0.26, 0.49) | 3782 |
| 3 | 2.6 | 37.5/33.5/10.8 | 32.0/32.6/10.6 | 15.8/22.6/7.4 | (0.30, 0.54)/(0.29, 0.53) | 9484 | |
| 5 | 2.6 | 34.7/33.2/10.5 | 34.7/33.2/10.5 | 18.9/24.0/7.6 | (0.30, 0.55)/(0.29, 0.55) | 12480 |
Disclaimer/Publisher’s Note: The statements, opinions and data contained in all publications are solely those of the individual author(s) and contributor(s) and not of MDPI and/or the editor(s). MDPI and/or the editor(s) disclaim responsibility for any injury to people or property resulting from any ideas, methods, instructions or products referred to in the content. |
© 2023 by the authors. Licensee MDPI, Basel, Switzerland. This article is an open access article distributed under the terms and conditions of the Creative Commons Attribution (CC BY) license (https://creativecommons.org/licenses/by/4.0/).
Share and Cite
Gautam, P.; Shahnawaz; Siddiqui, I.; Blazevicius, D.; Krucaite, G.; Tavgeniene, D.; Jou, J.-H.; Grigalevicius, S. Bifunctional Bicarbazole-Benzophenone-Based Twisted Donor–Acceptor–Donor Derivatives for Deep-Blue and Green OLEDs. Nanomaterials 2023, 13, 1408. https://doi.org/10.3390/nano13081408
Gautam P, Shahnawaz, Siddiqui I, Blazevicius D, Krucaite G, Tavgeniene D, Jou J-H, Grigalevicius S. Bifunctional Bicarbazole-Benzophenone-Based Twisted Donor–Acceptor–Donor Derivatives for Deep-Blue and Green OLEDs. Nanomaterials. 2023; 13(8):1408. https://doi.org/10.3390/nano13081408
Chicago/Turabian StyleGautam, Prakalp, Shahnawaz, Iram Siddiqui, Dovydas Blazevicius, Gintare Krucaite, Daiva Tavgeniene, Jwo-Huei Jou, and Saulius Grigalevicius. 2023. "Bifunctional Bicarbazole-Benzophenone-Based Twisted Donor–Acceptor–Donor Derivatives for Deep-Blue and Green OLEDs" Nanomaterials 13, no. 8: 1408. https://doi.org/10.3390/nano13081408
APA StyleGautam, P., Shahnawaz, Siddiqui, I., Blazevicius, D., Krucaite, G., Tavgeniene, D., Jou, J.-H., & Grigalevicius, S. (2023). Bifunctional Bicarbazole-Benzophenone-Based Twisted Donor–Acceptor–Donor Derivatives for Deep-Blue and Green OLEDs. Nanomaterials, 13(8), 1408. https://doi.org/10.3390/nano13081408

