A Novel Photo-Thermal-Electric Conversion System with an Integrated Support Material
Abstract
:1. Introduction
2. Materials and Methods
2.1. Materials
2.2. Fabrication of Photo-Thermal Layer
2.3. Fabrication of Water Transfer Layer
2.4. Fabrication of Thermoelectric Layer
2.5. Fabrication of Heat Dissipation Layer
2.6. Water Evaporation and Thermoelectric Performance Tests
2.7. Characterization
3. Results and Discussion
3.1. Component Materials and Structure of Photo-Thermal-Electric Conversion Devices
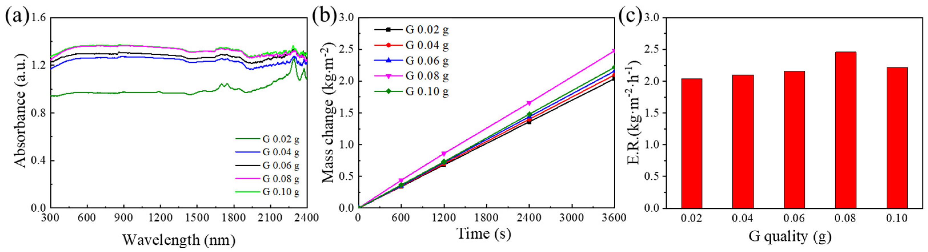
3.2. Optimizing the Performance of Photo-Thermal-Electrical Devices
3.3. Mechanism Analysis
3.4. Performance Comparison of Photo-Thermal-Electric Devices
3.5. Cyclic Stability
4. Conclusions
Author Contributions
Funding
Institutional Review Board Statement
Informed Consent Statement
Data Availability Statement
Acknowledgments
Conflicts of Interest
References
- Rabaia, M.K.H.; Abdelkareem, M.A.; Sayed, E.T.; Elsaid, K.; Chae, K.J.; Wilberforce, T.; Olabi, A.G. Environmental impacts of solar energy systems: A review. Sci. Total Environ. 2021, 754, 141989. [Google Scholar] [CrossRef] [PubMed]
- Zhang, S.; Wu, Z.; Liu, Z.; Lv, Y.; Hu, Z. Nanostructured Broadband Solar Absorber for Effective Photothermal Conversion and Electricity Generation. Energies 2022, 15, 1354. [Google Scholar] [CrossRef]
- Cheng, H.; Liu, Y.; Cao, F.; Zhang, Q.; Ouyang, J. Integration of an electronic thermoelectric material with ionogels to harvest heat from both temperature gradient and temperature fluctuation. Chem. Eng. J. 2022, 450, 138433. [Google Scholar] [CrossRef]
- Fitriani; Ovik, R.; Long, B.D.; Barma, M.C.; Riaz, M.; Sabri, M.F.M.; Said, S.M.; Saidur, R. A review on nanostructures of high-temperature thermoelectric materials for waste heat recovery. Renew. Sustain. Energy Rev. 2016, 64, 635–659. [Google Scholar] [CrossRef]
- Ding, T.; Zhou, Y.; Ong, W.L.; Ho, G.W. Hybrid solar-driven interfacial evaporation systems: Beyond water production towards high solar energy utilization. Mater. Today 2021, 42, 178–191. [Google Scholar] [CrossRef]
- Chen, J.; Wang, D.; Li, X.; Sun, H.; Zhao, H.; Li, Y.; Liu, X.; Shi, G. Photothermal Membrane of CuS/Polyacrylamide–Carboxymethyl Cellulose for Solar Evaporation. ACS Appl. Polym. Mater. 2021, 3, 2402–2410. [Google Scholar] [CrossRef]
- Liu, G.; Chen, T.; Xu, J.; Li, G.; Wang, K. Solar evaporation for simultaneous steam and power generation. J. Mater. Chem. A 2020, 8, 513–531. [Google Scholar] [CrossRef]
- Gui, J.; Li, C.; Cao, Y.; Liu, Z.; Shen, Y.; Huang, W.; Tian, X. Hybrid solar evaporation system for water and electricity co-generation: Comprehensive utilization of solar and water energy. Nano Energy 2023, 107, 108155. [Google Scholar] [CrossRef]
- Chen, L.; Ren, J.; Gong, J.; Qu, J.; Niu, R. Cost-effective, scalable fabrication of self-floating xerogel foam for simultaneous photothermal water evaporation and thermoelectric power generation. Chem. Eng. J. 2023, 454, 140383. [Google Scholar] [CrossRef]
- Zhu, L.; Ding, T.; Gao, M.; Peh, C.K.N.; Ho, G.W. Shape Conformal and Thermal Insulative Organic Solar Absorber Sponge for Photothermal Water Evaporation and Thermoelectric Power Generation. Adv. Energy Mater. 2019, 9, 1900250. [Google Scholar] [CrossRef]
- Ying, L.; Huang, Z.; Dong, Y.; Lin, F.; Ding, J.; Wang, W.; Lu, J. Hybrid nanoarchitectonics of carbon/titanium carbide integrated hydrogel/melamine foam for highly efficient solar steam and thermoelectric power generation. Desalination 2023, 549, 116328. [Google Scholar] [CrossRef]
- Cui, Y.; Liu, J.; Li, Z.; Ji, M.; Zhao, M.; Shen, M.; Han, X.; Jia, T.; Li, C.; Wang, Y. Donor–Acceptor-Type Organic-Small-Molecule-Based Solar-Energy-Absorbing Material for Highly Efficient Water Evaporation and Thermoelectric Power Generation. Adv. Funct. Mater. 2021, 31, 2106247. [Google Scholar] [CrossRef]
- Zhou, Y.; Ding, T.; Gao, M.; Chan, K.H.; Cheng, Y.; He, J.; Ho, G.W. Controlled heterogeneous water distribution and evaporation towards enhanced photothermal water-electricity-hydrogen production. Nano Energy 2020, 77, 105102. [Google Scholar] [CrossRef]
- Mu, X.; Zhou, J.; Wang, P.; Chen, H.; Yang, T.; Chen, S.; Miao, L.; Mori, T. A robust starch–polyacrylamide hydrogel with scavenging energy harvesting capacity for efficient solar thermoelectricity–freshwater cogeneration. Energy Environ. Sci. 2022, 15, 3388–3399. [Google Scholar] [CrossRef]
- Wu, Y.; Li, Y.; Long, Y.; Xu, Y.; Yang, J.; Zhu, H.; Liu, T.; Shi, G. High-Efficiency Photo-Thermo-Electric System with Waste Heat Utilization and Energy Storage. ACS Appl. Mater. Interfaces 2022, 14, 40437–40446. [Google Scholar] [CrossRef]
- Wang, H.; Shi, Y.; Liu, T.; Zheng, X.; Gao, S.; Lu, J. “One stone two birds” or “you can’t have your cake and eat it too”? Effects of device dimensions and position of the thermoelectric module on simultaneous solar-driven water evaporation and thermoelectric generation. J. Mater. Chem. A 2023, 11, 419–433. [Google Scholar] [CrossRef]
- Younes, Y.A.; Kospa, D.A.; Salama, R.S.; Ahmed, A.I.; Ibrahim, A.A. Hydrophilic candle wastes microcapsules as a thermal energy storage material for all-day steam and electricity cogeneration. Desalination 2023, 550, 116377. [Google Scholar] [CrossRef]
- Zhou, X.; Zhao, F.; Guo, Y.; Zhang, Y.; Yu, G. A hydrogel-based antifouling solar evaporator for highly efficient water desalination. Energy Environ. Sci. 2018, 11, 1985–1992. [Google Scholar] [CrossRef]
- Kang, Y.H.; Bae, E.J.; Lee, M.H.; Han, M.; Kim, B.J.; Cho, S.Y. Highly Flexible and Durable Thermoelectric Power Generator Using CNT/PDMS Foam by Rapid Solvent Evaporation. Small 2022, 18, e2106108. [Google Scholar] [CrossRef]
- Zeng, X.; Sun, J.; Yao, Y.; Sun, R.; Xu, J.B.; Wong, C.P. A Combination of Boron Nitride Nanotubes and Cellulose Nanofibers for the Preparation of a Nanocomposite with High Thermal Conductivity. ACS Nano 2017, 11, 5167–5178. [Google Scholar] [CrossRef]
- González, M.; Baselga, J.; Pozuelo, J. Modulating the electromagnetic shielding mechanisms by thermal treatment of high porosity graphene aerogels. Carbon 2019, 147, 27–34. [Google Scholar] [CrossRef]
- Cong, X.; Wu, J.B.; Lin, M.L.; Liu, X.L.; Shi, W.; Venezuela, P.; Tan, P.H. Stokes and anti-Stokes Raman scattering in mono- and bilayer graphene. Nanoscale 2018, 10, 16138–16144. [Google Scholar] [CrossRef] [PubMed]
- Ji, W.; Li, L.; Song, W.; Wang, X.; Zhao, B.; Ozaki, Y. Enhanced Raman Scattering by ZnO Superstructures: Synergistic Effect of Charge Transfer and Mie Resonances. Angew. Chem. Int. Ed. Engl. 2019, 58, 14452–14456. [Google Scholar] [CrossRef] [PubMed]
- Marimuthu, T.; Anandhan, N.; Thangamuthu, R. Electrochemical synthesis of one-dimensional ZnO nanostructures on ZnO seed layer for DSSC applications. Appl. Surf. Sci. 2018, 428, 385–394. [Google Scholar] [CrossRef]
- Han, W.; Ge, C.; Zhang, R.; Ma, Z.; Wang, L.; Zhang, X. Boron nitride foam as a polymer alternative in packaging phase change materials: Synthesis, thermal properties and shape stability. Appl. Energy 2019, 238, 942–951. [Google Scholar] [CrossRef]
- Amin, M.S.; Molin, T.E.; Tampubolon, C.; Kranbuehl, D.E.; Schniepp, H.C. Boron Nitride Nanotube Impurity Detection and Purity Verification. Chem. Mater. 2020, 32, 9090–9097. [Google Scholar] [CrossRef]
- Acharya, S.; Yu, B.K.; Hwang, J.; Kim, J.; Kim, W. High Thermoelectric Performance of ZnO by Coherent Phonon Scattering and Optimized Charge Transport. Adv. Funct. Mater. 2021, 31, 2105008. [Google Scholar] [CrossRef]
- Amollo, T.A.; Mola, G.T.; Kirui, M.S.K.; Nyamori, V.O. Graphene for Thermoelectric Applications: Prospects and Challenges. Crit. Rev. Solid State Mater. Sci. 2017, 43, 133–157. [Google Scholar] [CrossRef]
- Yu, Z.; Wu, P. Biomimetic MXene-Polyvinyl Alcohol Composite Hydrogel with Vertically Aligned Channels for Highly Efficient Solar Steam Generation. Adv. Mater. Technol. 2020, 5, 2000065. [Google Scholar] [CrossRef]









Disclaimer/Publisher’s Note: The statements, opinions and data contained in all publications are solely those of the individual author(s) and contributor(s) and not of MDPI and/or the editor(s). MDPI and/or the editor(s) disclaim responsibility for any injury to people or property resulting from any ideas, methods, instructions or products referred to in the content. |
© 2023 by the authors. Licensee MDPI, Basel, Switzerland. This article is an open access article distributed under the terms and conditions of the Creative Commons Attribution (CC BY) license (https://creativecommons.org/licenses/by/4.0/).
Share and Cite
Kang, P.; Petrescu, F.I.T.; Wu, Y.; Li, Y.; Li, X.; Wang, L.; Shi, G. A Novel Photo-Thermal-Electric Conversion System with an Integrated Support Material. Nanomaterials 2023, 13, 1301. https://doi.org/10.3390/nano13081301
Kang P, Petrescu FIT, Wu Y, Li Y, Li X, Wang L, Shi G. A Novel Photo-Thermal-Electric Conversion System with an Integrated Support Material. Nanomaterials. 2023; 13(8):1301. https://doi.org/10.3390/nano13081301
Chicago/Turabian StyleKang, Peng, Florian Ion Tiberiu Petrescu, Yao Wu, Ying Li, Xin Li, Likui Wang, and Gang Shi. 2023. "A Novel Photo-Thermal-Electric Conversion System with an Integrated Support Material" Nanomaterials 13, no. 8: 1301. https://doi.org/10.3390/nano13081301
APA StyleKang, P., Petrescu, F. I. T., Wu, Y., Li, Y., Li, X., Wang, L., & Shi, G. (2023). A Novel Photo-Thermal-Electric Conversion System with an Integrated Support Material. Nanomaterials, 13(8), 1301. https://doi.org/10.3390/nano13081301

