Optoelectrical Properties of Hexamine Doped-Methylammonium Lead Iodide Perovskite under Different Grain-Shape Crystallinity
Abstract
1. Introduction
2. Experimental Details
2.1. Perovskite Solar Cells Preparations
2.2. Perovskite Film Characterizations
2.3. Photovoltaic Performance Analysis
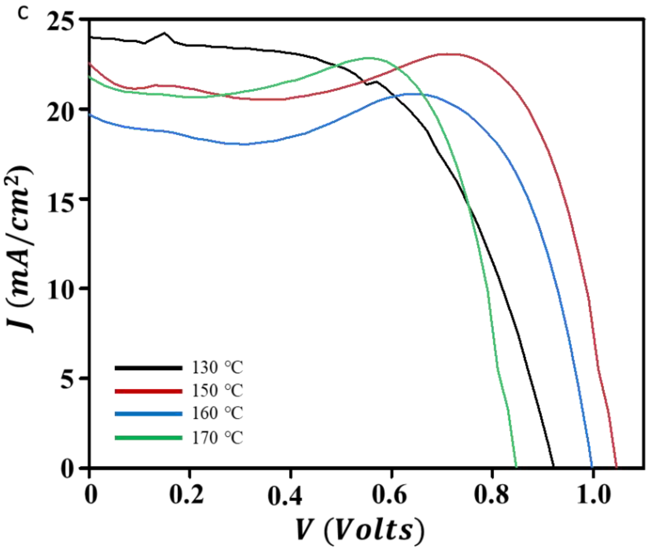
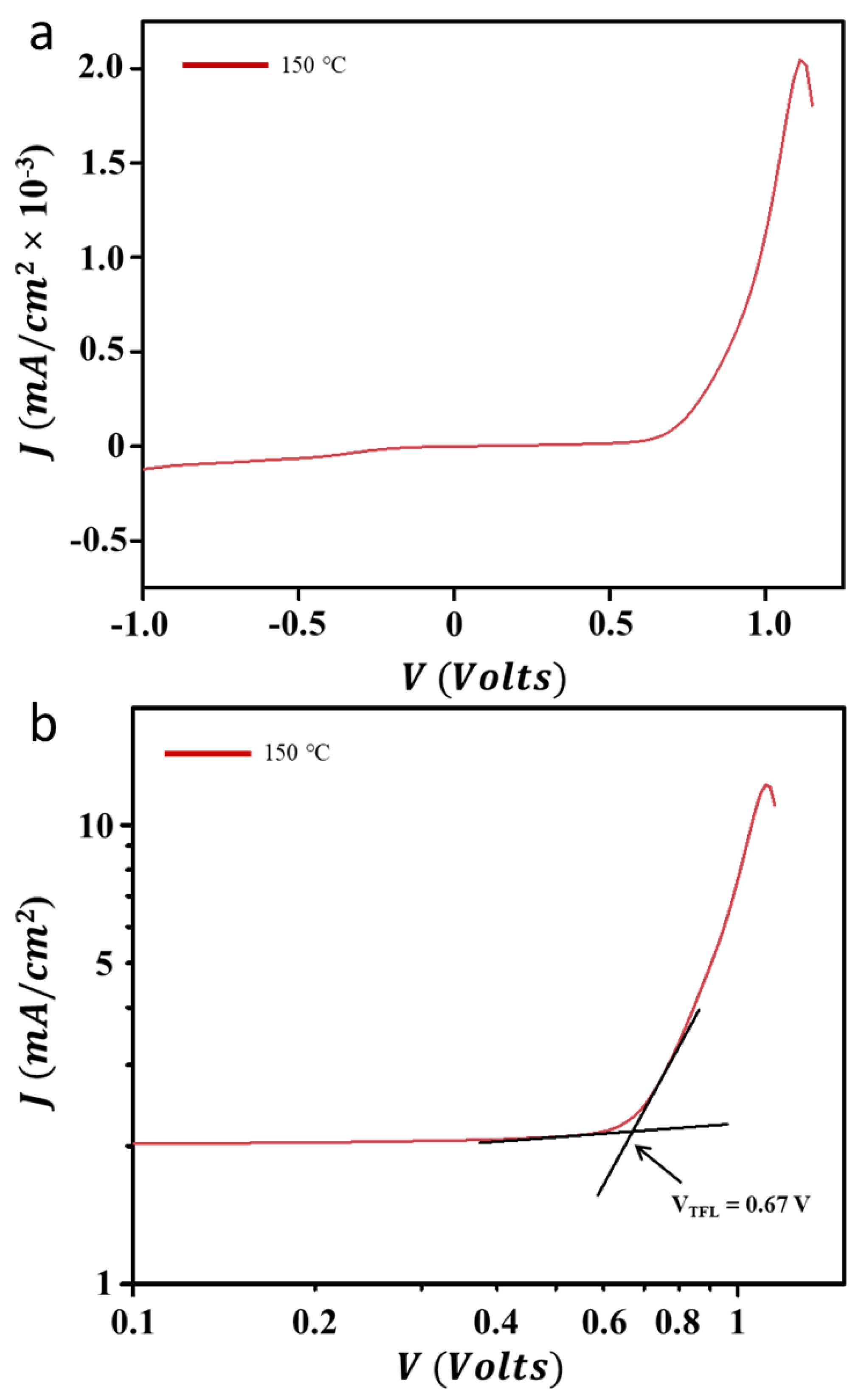
3. Results and Discussions
4. Conclusions
Author Contributions
Funding
Data Availability Statement
Acknowledgments
Conflicts of Interest
References
- Kim, J.Y.; Lee, J.-W.; Jung, H.S.; Shin, H.; Park, N.-G. High-efficiency perovskite solar cells. Chem. Rev. 2020, 120, 7867–7918. [Google Scholar] [CrossRef]
- Park, N.G. Research direction toward scalable, stable, and high efficiency perovskite solar cells. Adv. Energy Mater. 2020, 10, 1903106. [Google Scholar] [CrossRef]
- Ali, E.; Elleithy, K. High-efficiency crystalline silicon-based solar cells using textured TiO2 layer and plasmonic nanoparticles. Nanomaterials 2022, 12, 1589. [Google Scholar]
- Gulomov, J.; Accouche, O.; Al Barakeh, Z.; Aliev, R.; Gulomova, I.; Neji, B. Atom-to-Device Simulation of MoO3/Si Heterojunction Solar Cell. Nanomaterials 2022, 12, 4240. [Google Scholar] [CrossRef] [PubMed]
- Yu, R.; Wu, G.; Cui, Y.; Wei, X.; Hong, L.; Zhang, T.; Zou, C.; Hu, S.; Hou, J.; Tan, Z. Multi-Functional Solid Additive Induced Favorable Vertical Phase Separation and Ordered Molecular Packing for Highly Efficient Layer-by-Layer Organic Solar Cells. Small 2021, 17, 2103497. [Google Scholar] [CrossRef]
- Li, W.; Rothmann, M.U.; Zhu, Y.; Chen, W.; Yang, C.; Yuan, Y.; Choo, Y.Y.; Wen, X.; Cheng, Y.-B.; Bach, U. The critical role of composition-dependent intragrain planar defects in the performance of MA1−xFAxPbI3 perovskite solar cells. Nat. Energy 2021, 6, 624–632. [Google Scholar] [CrossRef]
- Kang, D.H.; Park, N.G. On the current–voltage hysteresis in perovskite solar cells: Dependence on perovskite composition and methods to remove hysteresis. Adv. Mater. 2019, 31, 1805214. [Google Scholar] [CrossRef] [PubMed]
- Yoo, J.J.; Seo, G.; Chua, M.R.; Park, T.G.; Lu, Y.; Rotermund, F.; Kim, Y.-K.; Moon, C.S.; Jeon, N.J.; Correa-Baena, J.-P. Efficient perovskite solar cells via improved carrier management. Nature 2021, 590, 587–593. [Google Scholar] [CrossRef]
- Jeong, J.; Kim, M.; Seo, J.; Lu, H.; Ahlawat, P.; Mishra, A.; Yang, Y.; Hope, M.A.; Eickemeyer, F.T.; Kim, M. Pseudo-halide anion engineering for α-FAPbI3 perovskite solar cells. Nature 2021, 592, 381–385. [Google Scholar] [CrossRef]
- Castro-Méndez, A.F.; Hidalgo, J.; Correa-Baena, J.P. The role of grain boundaries in perovskite solar cells. Adv. Energy Mater. 2019, 9, 1901489. [Google Scholar] [CrossRef]
- Yang, Y.; Lu, H.; Feng, S.; Yang, L.; Dong, H.; Wang, J.; Tian, C.; Li, L.; Lu, H.; Jeong, J. Modulation of perovskite crystallization processes towards highly efficient and stable perovskite solar cells with mxene quantum dot-modified SnO2. Energy Environ. Sci. 2021, 14, 3447–3454. [Google Scholar] [CrossRef]
- Liu, G.; Zheng, H.; Ye, J.; Xu, S.; Zhang, L.; Xu, H.; Liang, Z.; Chen, X.; Pan, X. Mixed-phase low-dimensional perovskite-assisted interfacial lead directional management for stable perovskite solar cells with efficiency over 24%. ACS Energy Lett. 2021, 6, 4395–4404. [Google Scholar] [CrossRef]
- Alias, N.; Umar, A.A.; Sadikin, S.N.; Ridwan, J.; Hamzah, A.A.; Umar, M.I.A.; Ehsan, A.A.; Nurdin, M.; Zhan, Y. Air-processable perovskite solar cells by hexamine molecules phase stabilization. 2023; unpublished. [Google Scholar]
- Morita, H.; Tsunashima, R.; Nishihara, S.; Inoue, K.; Omura, Y.; Suzuki, Y.; Kawamata, J.; Hoshino, N.; Akutagawa, T. Ferroelectric behavior of a hexamethylenetetramine-based molecular perovskite structure. Angew. Chem. Int. Ed. 2019, 58, 9184–9187. [Google Scholar] [CrossRef]
- Alias, N.; Ali Umar, A.; Malek, N.A.A.; Liu, K.; Li, X.; Abdullah, N.A.; Rosli, M.M.; Rahman, M.Y.A.; Shi, Z.; Zhang, X.; et al. Photoelectrical dynamics uplift in perovskite solar cells by atoms thick 2D TiS2 layer passivation of TiO2 nanograss electron transport layer. ACS Appl. Mater. Interfaces 2021, 13, 3051–3061. [Google Scholar] [CrossRef]
- Umar, A.A.; Zhang, X.; Md Saad, S.K.; Abd Malek, N.A.; Liu, K.; Alias, N.; Abdullah, N.A.; Li, X.; Liu, F.; Shi, Z.; et al. Enhancing the interfacial carrier dynamic in perovskite solar cells with an ultra-thin single-crystalline nanograss-like TiO2 electron transport layer. J. Mater. Chem. A 2020, 8, 13820–13831. [Google Scholar] [CrossRef]
- Malek, N.A.A.; Alias, N.; Umar, A.A.; Zhang, X.; Li, X.; Saad, S.K.M.; Abdullah, N.A.; Zhang, H.; Weng, Z.; Shi, Z. Enhanced charge transfer in atom-thick 2H–WS2 nanosheets’ electron transport layers of perovskite solar cells. Sol. RRL 2020, 4, 2000260. [Google Scholar] [CrossRef]
- Raaijmakers, S.; Pols, M.; Vicent-Luna, J.M.; Tao, S. Refined GFN1-xTB parameters for engineering phase-stable CSPBX3 perovskites. J. Phys. Chem. C 2022, 126, 9587–9596. [Google Scholar] [CrossRef]
- Zheng, K.; Ge, J.; Liu, C.; Lou, Q.; Chen, X.; Meng, Y.; Yin, X.; Bu, S.; Liu, C.; Ge, Z. Improved phase stability of CsPbI2Br perovskite by released microstrain toward highly efficient and stable solar cells. InfoMat 2021, 3, 1431–1444. [Google Scholar] [CrossRef]
- Tenailleau, C.; Aharon, S.; Cohen, B.-E.; Etgar, L. Cell refinement of cspbbr 3 perovskite nanoparticles and thin films. Nanoscale Adv. 2019, 1, 147–153. [Google Scholar] [CrossRef]
- Wang, Q.; Smith, J.A.; Skroblin, D.; Steele, J.A.; Wolff, C.M.; Caprioglio, P.; Stolterfoht, M.; Köbler, H.; Li, M.; Turren-Cruz, S.-H. Managing phase purities and crystal orientation for high-performance and photostable cesium lead halide perovskite solar cells. Sol. RRL 2020, 4, 2000213. [Google Scholar] [CrossRef]
- Kim, K.; Han, J.; Maruyama, S.; Balaban, M.; Jeon, I. Role and contribution of polymeric additives in perovskite solar cells: Crystal growth templates and grain boundary passivators. Sol. RRL 2021, 5, 2000783. [Google Scholar] [CrossRef]
- Jia, P.; Qin, L.; Zhao, D.; Tang, Y.; Song, B.; Guo, J.; Li, X.; Li, L.; Cui, Q.; Hu, Y. The trapped charges at grain boundaries in perovskite solar cells. Adv. Funct. Mater. 2021, 31, 2107125. [Google Scholar] [CrossRef]
- Levine, I.; Al-Ashouri, A.; Musiienko, A.; Hempel, H.; Magomedov, A.; Drevilkauskaite, A.; Getautis, V.; Menzel, D.; Hinrichs, K.; Unold, T. Charge transfer rates and electron trapping at buried interfaces of perovskite solar cells. Joule 2021, 5, 2915–2933. [Google Scholar] [CrossRef]
- Ghimire, S.; Rehhagen, C.; Fiedler, S.; Parekh, U.; Lesyuk, R.; Lochbrunner, S.; Klinke, C. Synthesis, optoelectronic properties, and charge carrier dynamics of colloidal quasi-two-dimensional Cs3Bi2I9 perovskite nanosheets. Nanoscale 2023, 15, 2096–2105. [Google Scholar] [CrossRef]
- Tong, J.; Song, Z.; Kim, D.H.; Chen, X.; Chen, C.; Palmstrom, A.F.; Ndione, P.F.; Reese, M.O.; Dunfield, S.P.; Reid, O.G. Carrier lifetimes of >1 μs in sn-pb perovskites enable efficient all-perovskite tandem solar cells. Science 2019, 364, 475–479. [Google Scholar] [CrossRef]
- Jeong, B.; Cho, S.M.; Cho, S.H.; Lee, J.H.; Hwang, I.; Hwang, S.K.; Cho, J.; Lee, T.W.; Park, C. Humidity controlled crystallization of thin CH3NH3PbI3 films for high performance perovskite solar cell. Phys. Status Solidi (RRL)–Rapid Res. Lett. 2016, 10, 381–387. [Google Scholar] [CrossRef]








| Sample | (V) Max (avg sd) | (mA/cm2) Max (avg sd) | FF Max (avg sd) | PCE (%) Max (avg sd) | (Ω) | (Ω) | (Ω) | N () | Crystallite Size (nm) |
|---|---|---|---|---|---|---|---|---|---|
| 130 °C | 0.93 (0.94 ± 0.06) | 23.96 (18.04 ± 4.70) | 0.57 (0.60 ± 0.08) | 12.70 (10.17 ± 2.49) | 7.24 | 25.04 | 7.07 | 3.94 × 1022 | 537.7 |
| 150 °C | 1.05 (1.02 ± 0.02) | 22.27 (19.50 ± 2.67) | 0.76 (0.75 ± 0.03) | 17.77 (14.92 ± 2.02) | 5.30 | 19.99 | 3.62 | 3.18 × 1022 | 561.6 |
| 160 °C | 0.99 (0.92 ± 0.09) | 19.55 (17.16 ± 4.10) | 0.77 (0.68 ± 0.07) | 14.90 (10.74 ± 2.82) | 5.88 | 19.14 | 2.82 | 3.84 × 1022 | 578.9 |
| 170 °C | 0.85 (0.85 ± 0.06) | 21.62 (18.15 ± 3.93) | 0.75 (0.65 ± 0.06) | 13.78 (10.03 ± 2.45) | 6.77 | 13.45 | 1.42 | 3.89 × 1022 | 781.7 |
Disclaimer/Publisher’s Note: The statements, opinions and data contained in all publications are solely those of the individual author(s) and contributor(s) and not of MDPI and/or the editor(s). MDPI and/or the editor(s) disclaim responsibility for any injury to people or property resulting from any ideas, methods, instructions or products referred to in the content. |
© 2023 by the authors. Licensee MDPI, Basel, Switzerland. This article is an open access article distributed under the terms and conditions of the Creative Commons Attribution (CC BY) license (https://creativecommons.org/licenses/by/4.0/).
Share and Cite
Ali Umar, M.I.; Ahdaliza, A.Z.; El-Bahy, S.M.; Aliza, N.; Sadikin, S.N.; Ridwan, J.; Ehsan, A.A.; Amin, M.A.; El-Bahy, Z.M.; Ali Umar, A. Optoelectrical Properties of Hexamine Doped-Methylammonium Lead Iodide Perovskite under Different Grain-Shape Crystallinity. Nanomaterials 2023, 13, 1281. https://doi.org/10.3390/nano13071281
Ali Umar MI, Ahdaliza AZ, El-Bahy SM, Aliza N, Sadikin SN, Ridwan J, Ehsan AA, Amin MA, El-Bahy ZM, Ali Umar A. Optoelectrical Properties of Hexamine Doped-Methylammonium Lead Iodide Perovskite under Different Grain-Shape Crystallinity. Nanomaterials. 2023; 13(7):1281. https://doi.org/10.3390/nano13071281
Chicago/Turabian StyleAli Umar, Marjoni Imamora, Annisa Zahra Ahdaliza, Salah M. El-Bahy, Nur Aliza, Siti Naqiyah Sadikin, Jaenudin Ridwan, Abang Annuar Ehsan, Mohammed A. Amin, Zeinhom M. El-Bahy, and Akrajas Ali Umar. 2023. "Optoelectrical Properties of Hexamine Doped-Methylammonium Lead Iodide Perovskite under Different Grain-Shape Crystallinity" Nanomaterials 13, no. 7: 1281. https://doi.org/10.3390/nano13071281
APA StyleAli Umar, M. I., Ahdaliza, A. Z., El-Bahy, S. M., Aliza, N., Sadikin, S. N., Ridwan, J., Ehsan, A. A., Amin, M. A., El-Bahy, Z. M., & Ali Umar, A. (2023). Optoelectrical Properties of Hexamine Doped-Methylammonium Lead Iodide Perovskite under Different Grain-Shape Crystallinity. Nanomaterials, 13(7), 1281. https://doi.org/10.3390/nano13071281

