Nanoscale Phase Change Material Array by Sub-Resolution Assist Feature for Storage Class Memory Application
Abstract
1. Introduction
2. Experimental Details
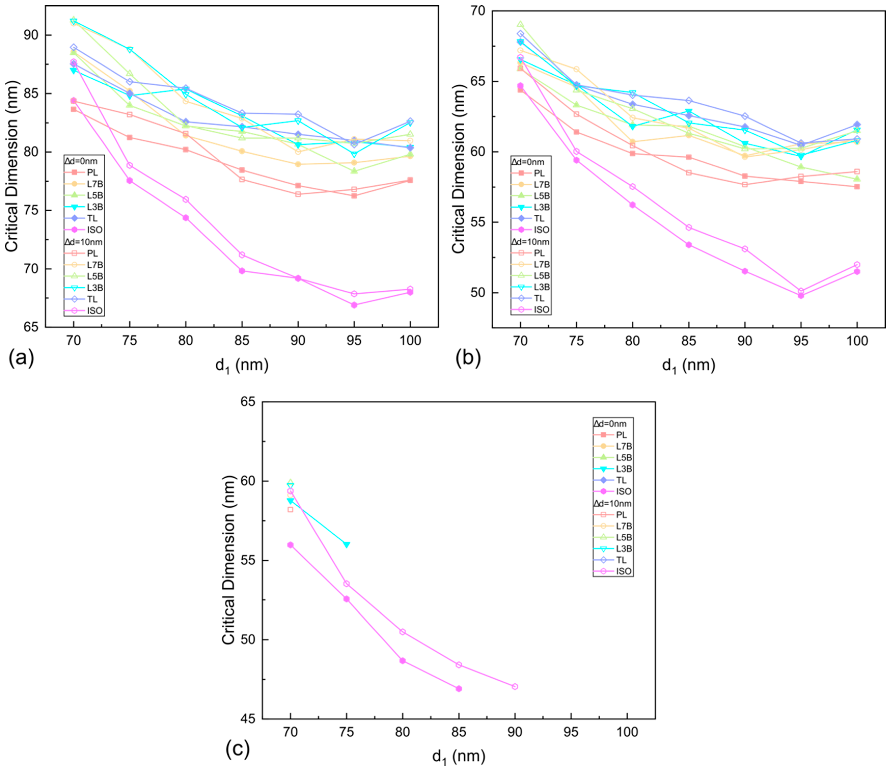
3. Results and Discussion
4. Conclusions
Author Contributions
Funding
Data Availability Statement
Conflicts of Interest
References
- Sebastian, A.; Le Gallo, M.; Khaddam-Aljameh, R.; Eleftheriou, E. Memory Devices And Applications For In-Memory Computing. Nat. Nanotechnol. 2020, 15, 529–544. [Google Scholar] [CrossRef]
- Di Ventra, M.; Pershin, Y.V. The Parallel Approach. Nat. Phys. 2013, 9, 200–202. [Google Scholar] [CrossRef]
- Fong, S.W.; Neumann, C.M.; Wong, H.S.P. Phase-Change Memory—Towards A Storage-Class Memory. IEEE Trans. Electron Devices 2017, 64, 4374–4385. [Google Scholar] [CrossRef]
- Kim, T.; Lee, S. Evolution Of Phase-Change Memory For The Storage-Class Memory And Beyond. IEEE Trans. Electron Devices 2020, 67, 1394–1406. [Google Scholar] [CrossRef]
- Wong, H.S.P.; Raoux, S.; Kim, S.; Liang, J.; Reifenberg, J.P.; Rajendran, B.; Asheghi, M.; Goodson, K.E. Phase Change Memory. Proc. IEEE 2010, 98, 2201–2227. [Google Scholar] [CrossRef]
- Burr, G.W.; Brightsky, M.J.; Sebastian, A.; Cheng, H.Y.; Wu, J.Y.; Kim, S.; Sosa, N.E.; Papandreou, N.; Lung, H.L.; Pozidis, H.; et al. Recent Progress In Phase-Change Memory Technology. IEEE J. Emerg. Sel. Top. Circuits Syst. 2016, 6, 146–162. [Google Scholar] [CrossRef]
- Zhang, W.; Mazzarello, R.; Wuttig, M.; Ma, E. Designing Crystallization In Phase-Change Materials For Universal Memory And Neuro-inspired Computing. Nat. Rev. Mater. 2019, 4, 150–168. [Google Scholar] [CrossRef]
- Rao, F.; Ding, K.; Zhou, Y.; Zheng, Y.; Xia, M.; Lv, S.; Song, Z.; Feng, S.; Ronneberger, I.; Mazzarello, R.; et al. Reducing The Stochasticity Of Crystal Nucleation To Enable Subnanosecond Memory Writing. Science 2017, 358, 1423–1427. [Google Scholar] [CrossRef]
- Wong, H.S.P.; Salahuddin, S. Memory Leads The Way To Better Computing. Nat. Nanotechnol. 2015, 10, 191–194. [Google Scholar] [CrossRef]
- Song, Z.; Cai, D.; Cheng, Y.; Wang, L.; Lv, S.; Xin, T.; Feng, G. 12-State Multi-Level Cell Storage Implemented In A 128 Mb Phase Change Memory Chip. Nanoscale 2021, 13, 10455–10461. [Google Scholar] [CrossRef]
- Lu, Y.; Li, X.; Yan, B.; Yan, L.; Zhang, T.; Song, Z.; Huang, R.; Yang, Y. In-Memory Realization Of Eligibility Traces Based On Conductance Drift Of Phase Change Memory For Energy-Efficient Reinforcement Learning. Adv. Mater. 2022, 34, 2107811. [Google Scholar] [CrossRef] [PubMed]
- Yan, L.; Li, X.; Zhu, Y.; Yan, B.; Lu, Y.; Zhang, T.; Yang, Y.; Song, Z.; Huang, R. Uncertainty Quantification Based On Multilevel Conductance And Stochasticity Of Heater Size Dependent C-doped Ge2Sb2Te5 PCM Chip. In Proceedings of the 2021 IEEE International Electron Devices Meeting (IEDM), San Francisco, CA, USA, 11–16 December 2021; pp. 28.2.1–28.2.4. [Google Scholar]
- Eryilmaz, S.B.; Kuzum, D.; Jeyasingh, R.; Kim, S.; BrightSky, M.; Lam, C.; Wong, H.S.P. Brain-Like Associative Learning Using A Nanoscale Non-Volatile Phase Change Synaptic Device Array. Front. Neurosci. 2014, 8, 205. [Google Scholar] [CrossRef] [PubMed]
- Ito, T.; Okazaki, S. Pushing The Limits Of Lithography. Nature 2000, 406, 1027–1031. [Google Scholar] [CrossRef] [PubMed]
- Shibuya, M. Resolution Enhancement Techniques For Optical Lithography And Optical Imaging Theory. Opt. Rev. 2001, 4, A151. [Google Scholar] [CrossRef]
- Mogab, C.J. The Loading Effect In Plasma Etching. J. Electrochem. Soc. 1977, 124, 1262–1268. [Google Scholar] [CrossRef]
- Hedlund, C.; Blom, H.O.; Berg, S. Microloading Effect In Reactive Ion Etching. J. Vac. Sci. Technol. 1993, 12, 1962–1965. [Google Scholar] [CrossRef]
- Luk-Pat, G.T.; Miloslavsky, A.; Ikeuchi, A.; Suzuki, H.; Kyoh, S.; Izuha, K.; Tseng, F.; Wen, L. Correcting Lithography Hot Spots During Physical-Design Implementation. Proc. SPIE 2006, 6349, 634920. [Google Scholar]
- Liebmann, L.W. Resolution Enhancement Techniques In Optical Lithography: It’s Not Just A Mask Problem. Proc. SPIE 2001, 4409, 23–32. [Google Scholar]
- Omran, A.; Lippincott, G.; Schacht, J.; Lei, J.; Hong, L.; Friedrich, L.; Shen, R.; Chou, R. Can Fast Rule-Based Assist Feature Generation In Random-Logic Contact Layout Provide Sufficient Process Window? Proc. SPIE 2012, 8326, 83261P. [Google Scholar]
- Pusuluri, R.M.V.; Bashaboina, P.Y.; Oberschmidt, J.M. Efficient Method For SRAF Rule Determination. Proc. SPIE 2011, 8081, 80810T. [Google Scholar]
- Barnes, L.D.; Painter, B.D.; Melvin, L.S., III. Model-Based Placement And Optimization Of Subresolution Assist Features. Proc. SPIE 2006, 6154, 61542C. [Google Scholar]
- Lin, T.; Robert, F.; Borjon, A.; Russell, G.; Martinelli, C.; Moore, A.; Rody, Y. SRAF Placement And Sizing Using Inverse Lithography Technology. Proc. SPIE 2007, 6520, 65202A. [Google Scholar]
- Born, M.; Wolf, E. Principles of Optics: Electromagnetic Theory of Propagation, Interference and Diffraction of Light, 7th ed.; Cambridge University Press: London, UK, 1999. [Google Scholar]
- Goodman, J.W. Introduction to Fourier Optics, 3rd ed.; Roberts New York: Englewood, CO, USA, 2005. [Google Scholar]
- Abbe, E. Beiträge zur Theorie des Mikroskops und der mikroskopischen Wahrnehmung. Arch. Für Mikrosk. Anat. 1873, 9, 413–468. [Google Scholar] [CrossRef]
- Gottscho, R.A.; Jurgensen, C.W.; Vitkavage, D.J. Microscopic Uniformity In Plasma-Etching. J. Vac. Sci. Technol. B 1992, 10, 2133–2147. [Google Scholar] [CrossRef]
- Hynes, A.M.; Ashraf, H.; Bhardwaj, J.K.; Hopkins, J.; Johnston, I.; Shepherd, J.N. Recent Advances In Silicon Etching For MEMS Using The ASE™ Process. Sens. Actuators A-Phys. 1999, 74, 13–17. [Google Scholar] [CrossRef]
- Hopkins, J.; Ashraf, H.; Bhardwaj, J.K.; Hynes, A.M.; Johnston, I.; Shepherd, J.N. The Benefits Of Process Parameter Ramping During The Plasma Etching Of High Aspect Ratio Silicon Structures. MRS Online Proc. Libr. 1998, 546, 63–68. [Google Scholar] [CrossRef]
- Laermer, F.; Urban, A. Challenges, Developments And Applications Of Silicon Deep Reactive Ion Etching. Microelectron. Eng. 2003, 67–68, 349–355. [Google Scholar] [CrossRef]
- Li, X.; Chen, H.; Xie, C.; Cai, D.; Song, S.; Chen, Y.; Lei, Y.; Zhu, M.; Song, Z. Enhancing The Performance Of Phase Change Memory For Embedded Applications. Phys. Status Solidi-Rapid Res. Lett. 2019, 13, 1800558. [Google Scholar] [CrossRef]
- Ahn, C.; Fong, S.W.; Kim, Y.; Lee, S.; Sood, A.; Neumann, C.M.; Asheghi, M.; Goodson, K.E.; Pop, E.; Wong, H.S.P. Energy-Efficient Phase-Change Memory With Graphene As A Thermal Barrier. Nano Lett. 2015, 15, 6809–6814. [Google Scholar] [CrossRef] [PubMed]
- Song, Z.T.; Cai, D.L.; Li, X.; Wang, L.; Chen, Y.F.; Chen, H.P.; Wang, Q.; Zhan, Y.P.; Ji, M.H. High Endurance Phase Change Memory Chip Implemented Based On Carbon-Doped Ge2Sb2Te5 In 40 nm Node For Embedded Application. In Proceedings of the 2018 IEEE International Electron Devices Meeting (IEDM), San Francisco, CA, USA, 1–5 December 2018; pp. 27.5.1–27.5.4. [Google Scholar]
- Zhou, X.; Xia, M.; Rao, F.; Wu, L.; Li, X.; Song, Z.; Feng, S.; Sun, H. Understanding Phase-change Behaviors Of Carbon-doped Ge2Sb2Te5 For Phase-change Memory Application. ACS Appl. Mater. Interfaces 2014, 6, 14207–14214. [Google Scholar] [CrossRef]
- Zhou, X.; Wu, L.; Song, Z.; Rao, F.; Zhu, M.; Peng, C.; Yao, D.; Song, S.; Liu, B.; Feng, S. Carbon-Doped Ge2Sb2Te5 Phase Change Material: A Candidate For High-density Phase Change Memory Application. Appl. Phys. Lett. 2012, 101, 142104. [Google Scholar] [CrossRef]
- Zhou, W.; Wu, L.; Zhou, X.; Rao, F.; Song, Z.; Yao, D.; Yin, W.; Song, S.; Liu, B.; Qian, B.; et al. High Thermal Stability And Low Density Variation Of Carbon-Doped Ge2Sb2Te5 For Phase-change Memory Application. Appl. Phys. Lett. 2014, 105, 243113. [Google Scholar] [CrossRef]
- Sanders, D.P. Advances in Patterning Materials For 193 nm Immersion Lithography. Chem. Rev. 2010, 110, 321–360. [Google Scholar] [CrossRef] [PubMed]
- Park, Y.; Shin, S.; Kim, Y.; Kim, S.; Lim, J.; Kim, S.H.; Jung, H.; Lee, C.; Han, M.; Lim, S.; et al. Investigation on spin-on hard mask integration. Proc. SPIE 2017, 10146, 1014616. [Google Scholar]
- Lin, B.J. Optical Lithography: Here Is Why, 2nd ed.; SPIE Press Books: Bellingham, DC, USA, 2010. [Google Scholar]
- Mack, C. Fundamental Principles of Optical Lithography: The Science of Microfabrication, 1st ed.; John Wiley & Sons: New York, NY, USA, 2008. [Google Scholar]
- Xu, X.; Lin, Y.; Li, M.; Matsunawa, T.; Nojima, S.; Kodama, C.; Kotani, T.; Pan, D.Z. Subresolution Assist Feature Generation With Supervised Data Learning. IEEE Trans. Comput.-Aided Des. Integr. Circuits Syst. 2018, 37, 1225. [Google Scholar] [CrossRef]








Disclaimer/Publisher’s Note: The statements, opinions and data contained in all publications are solely those of the individual author(s) and contributor(s) and not of MDPI and/or the editor(s). MDPI and/or the editor(s) disclaim responsibility for any injury to people or property resulting from any ideas, methods, instructions or products referred to in the content. |
© 2023 by the authors. Licensee MDPI, Basel, Switzerland. This article is an open access article distributed under the terms and conditions of the Creative Commons Attribution (CC BY) license (https://creativecommons.org/licenses/by/4.0/).
Share and Cite
Zhang, J.; Fang, W.; Wang, R.; Li, C.; Zheng, J.; Zou, X.; Song, S.; Song, Z.; Zhou, X. Nanoscale Phase Change Material Array by Sub-Resolution Assist Feature for Storage Class Memory Application. Nanomaterials 2023, 13, 1050. https://doi.org/10.3390/nano13061050
Zhang J, Fang W, Wang R, Li C, Zheng J, Zou X, Song S, Song Z, Zhou X. Nanoscale Phase Change Material Array by Sub-Resolution Assist Feature for Storage Class Memory Application. Nanomaterials. 2023; 13(6):1050. https://doi.org/10.3390/nano13061050
Chicago/Turabian StyleZhang, Jiarui, Wencheng Fang, Ruobing Wang, Chengxing Li, Jia Zheng, Xixi Zou, Sannian Song, Zhitang Song, and Xilin Zhou. 2023. "Nanoscale Phase Change Material Array by Sub-Resolution Assist Feature for Storage Class Memory Application" Nanomaterials 13, no. 6: 1050. https://doi.org/10.3390/nano13061050
APA StyleZhang, J., Fang, W., Wang, R., Li, C., Zheng, J., Zou, X., Song, S., Song, Z., & Zhou, X. (2023). Nanoscale Phase Change Material Array by Sub-Resolution Assist Feature for Storage Class Memory Application. Nanomaterials, 13(6), 1050. https://doi.org/10.3390/nano13061050

