One–Step Synthesis of Three–Dimensional Na3V2(PO4)3/Carbon Frameworks as Promising Sodium–Ion Battery Cathode
Abstract
1. Introduction
2. Materials and Methods
2.1. Synthesis of NVP@C and NVP Bulk
2.2. Characterization of Materials
2.3. Electrochemical Measurements
2.4. Electrochemical Characterization
3. Results and Discussion
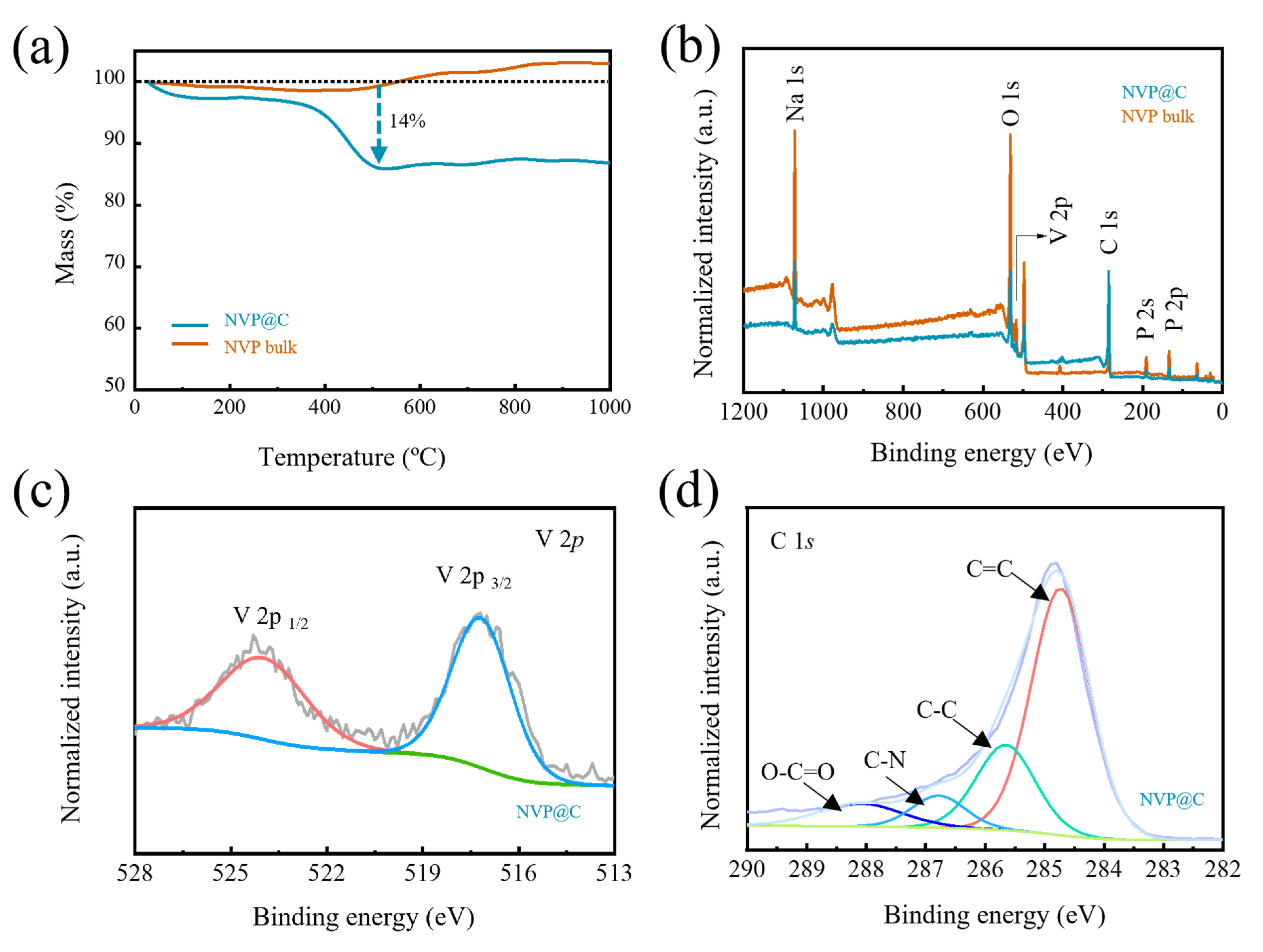
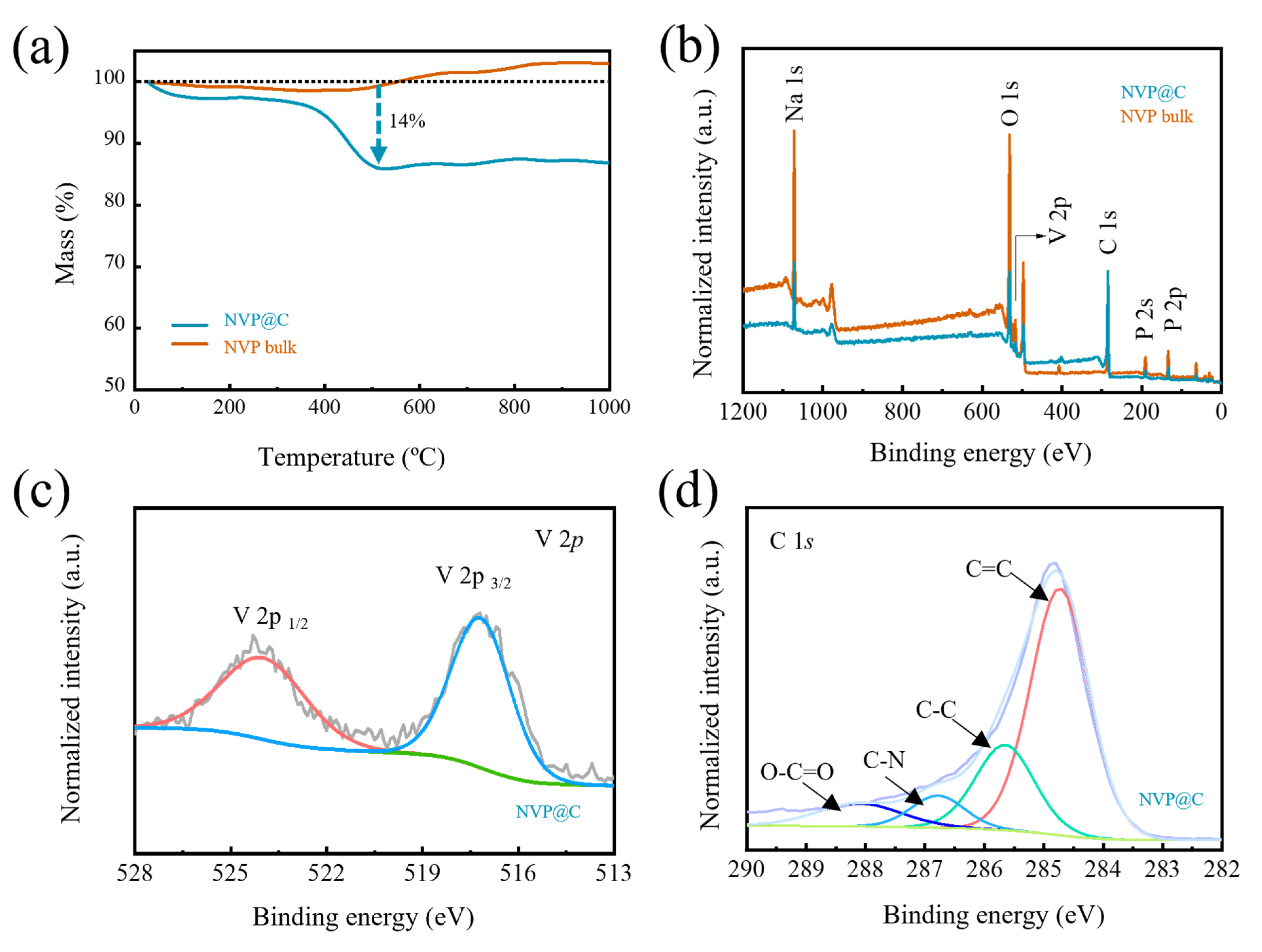
3.1. Synthesis and Structural Characterization
3.2. Electrochemical Properties of NVP@C and NVP Bulk
3.3. Electrochemical Mechanism
4. Conclusions
Supplementary Materials
Author Contributions
Funding
Data Availability Statement
Conflicts of Interest
References
- Kim, J.; Kim, H.-G.; Kim, H.-S.; Dang Van, C.; Lee, M.H.; Jeon, K.-W. Facile Gram-Scale Synthesis of Co3O4 Nanocrystal from Spent Lithium Ion Batteries and Its Electrocatalytic Application toward Oxygen Evolution Reaction. Nanomaterials 2022, 13, 125. [Google Scholar] [CrossRef] [PubMed]
- Zhang, J.; Wang, P.F.; Bai, P.; Wan, H.; Liu, S.; Hou, S.; Pu, X.; Xia, J.; Zhang, W.; Wang, Z.; et al. Interfacial Design for a 4.6 V High-Voltage Single-Crystalline LiCoO2 Cathode. Adv. Mater. 2022, 34, e2108353. [Google Scholar] [CrossRef]
- Singh, A.N.; Hajibabaei, A.; Ha, M.; Meena, A.; Kim, H.-S.; Bathula, C.; Nam, K.-W. Reduced Potential Barrier of Sodium-Substituted Disordered Rocksalt Cathode for Oxygen Evolution Electrocatalysts. Nanomaterials 2022, 13, 10. [Google Scholar] [CrossRef] [PubMed]
- Li, Z.; Zhang, L.; Ge, X.; Li, C.; Dong, S.; Wang, C.; Yin, L. Core-shell structured CoP/FeP porous microcubes interconnected by reduced graphene oxide as high performance anodes for sodium ion batteries. Nano Energy 2017, 32, 494–502. [Google Scholar] [CrossRef]
- Zhang, F.; Qin, D.; Xu, J.; Liu, Z.; Zhao, Y.; Zhang, X. Nitrogen and oxygen co-doping carbon microspheres by a sustainable route for fast sodium-ion batteries. Electrochim. Acta 2019, 303, 140–147. [Google Scholar] [CrossRef]
- Li, X.; Wang, S.; Tang, X.; Zang, R.; Li, P.; Li, P.; Man, Z.; Li, C.; Liu, S.; Wu, Y.; et al. Porous Na3V2(PO4)3/C nanoplates for high-performance sodium storage. J. Colloid Interface Sci. 2019, 539, 168–174. [Google Scholar] [CrossRef]
- Fang, Y.; Liu, Q.; Xiao, L.; Ai, X.; Yang, H.; Cao, Y. High-Performance Olivine NaFePO4 Microsphere Cathode Synthesized by Aqueous Electrochemical Displacement Method for Sodium Ion Batteries. ACS Appl. Mater. Interfaces 2015, 7, 17977–17984. [Google Scholar] [CrossRef]
- Peng, J.; Zhang, W.; Liu, Q.; Wang, J.; Chou, S.; Liu, H.; Dou, S. Prussian Blue Analogues for Sodium-Ion Batteries: Past, Present, and Future. Adv. Mater. 2022, 34, e2108384. [Google Scholar] [CrossRef]
- Ju, X.; Huang, H.; Zheng, H.; Deng, P.; Li, S.; Qu, B.; Wang, T. A facile method to hunt for durable high-rate capability Na0.44MnO2. J. Power Sources 2018, 395, 395–402. [Google Scholar] [CrossRef]
- Zhang, B.; Ma, K.; Lv, X.; Shi, K.; Wang, Y.; Nian, Z.; Li, Y.; Wang, L.; Dai, L.; He, Z. Recent advances of NASICON-Na3V2(PO4)3 as cathode for sodium-ion batteries: Synthesis, modifications, and perspectives. J. Alloys Compd. 2021, 867, 159060. [Google Scholar] [CrossRef]
- Yang, J.; Han, D.-W.; Jo, M.R.; Song, K.; Kim, Y.-I.; Chou, S.-L.; Liu, H.-K.; Kang, Y.-M. Na3V2(PO4)3 particles partly embedded in carbon nanofibers with superb kinetics for ultra-high power sodium ion batteries. J. Mater. Chem. A 2015, 3, 1005–1009. [Google Scholar] [CrossRef]
- Wang, E.; Xiang, W.; Rajagopalan, R.; Wu, Z.; Yang, J.; Chen, M.; Zhong, B.; Dou, S.X.; Chou, S.; Guo, X.; et al. Construction of 3D pomegranate-like Na3V2(PO4)3/conducting carbon composites for high-power sodium-ion batteries. J. Mater. Chem. A 2017, 5, 9833–9841. [Google Scholar] [CrossRef]
- Yang, J.; Choi, D.; Kim, K.S.; Kim, D.U.; Kim, J. Poly(vinylalcohol) (PVA) Assisted Sol-Gel Fabrication of Porous Carbon Network-Na3V2(PO4)3 (NVP) Composites Cathode for Enhanced Kinetics in Sodium Ion Batteries. Polymers 2021, 14, 149. [Google Scholar] [CrossRef] [PubMed]
- Zhang, Q.; Zhang, X.; He, W.; Xu, G.; Ren, M.; Liu, J.; Yang, X.; Wang, F. In situ fabrication of Na3V2(PO4)3 quantum dots in hard carbon nanosheets by using lignocelluloses for sodium ion batteries. J. Mater. Sci. Technol. 2019, 35, 2396–2403. [Google Scholar] [CrossRef]
- Zhao, L.; Zhao, H.; Wang, J.; Zhang, Y.; Li, Z.; Du, Z.; Swierczek, K.; Hou, Y. Micro/Nano Na3V2(PO4)3/N-Doped Carbon Composites with a Hierarchical Porous Structure for High-Rate Pouch-Type Sodium-Ion Full-Cell Performance. ACS Appl. Mater. Interfaces 2021, 13, 8445–8454. [Google Scholar] [CrossRef]
- Wei, T.; Yang, G.; Wang, C. Bottom–up assembly of strongly–coupled Na3V2(PO4)3/C into hierarchically porous hollow nanospheres for high–rate and –stable Na–ion storage. Nano Energy 2017, 39, 363–370. [Google Scholar] [CrossRef]
- Li, S.; Dong, Y.; Xu, L.; Xu, X.; He, L.; Mai, L. Effect of carbon matrix dimensions on the electrochemical properties of Na3V2(PO4)3 nanograins for high-performance symmetric sodium-ion batteries. Adv. Mater. 2014, 26, 3545–3553. [Google Scholar] [CrossRef]
- Rui, X.; Sun, W.; Wu, C.; Yu, Y.; Yan, Q. An Advanced Sodium-Ion Battery Composed of Carbon Coated Na3V2(PO4)3 in a Porous Graphene Network. Adv. Mater. 2015, 27, 6670–6676. [Google Scholar] [CrossRef]
- Xu, J.; Gu, E.; Zhang, Z.; Xu, Z.; Xu, Y.; Du, Y.; Zhu, X.; Zhou, X. Fabrication of porous Na3V2(PO4)3/reduced graphene oxide hollow spheres with enhanced sodium storage performance. J. Colloid Interface Sci. 2020, 567, 84–91. [Google Scholar] [CrossRef]
- Lin, B.; Li, Q.; Liu, B.; Zhang, S.; Deng, C. Biochemistry-directed hollow porous microspheres: Bottom-up self-assembled polyanion-based cathodes for sodium ion batteries. Nanoscale 2016, 8, 8178–8188. [Google Scholar] [CrossRef]
- Cong, X.; Wang, T.; Shen, J.; Chen, P.; Yao, H.; Wang, Z. Na3V2(PO4)3/Porous Carbon Skeleton Embellished with ZIF-67 for Sodium-Ion Storage. Inorg. Chem. 2020, 59, 9252–9260. [Google Scholar] [CrossRef] [PubMed]
- Wang, S.; Zhao, L.; Dong, Y.; Zhu, H.; Yang, Y.; Xu, H.; Wang, B.; Yuan, Y.; Ren, Y.; Huang, X.; et al. Pre-zeolite framework super-MIEC anodes for high-rate lithium-ion batteries. Energy Environ. Sci. 2022. [Google Scholar] [CrossRef]
- Sun, H.; Liu, Z.; Lai, F.; Wang, X.; Wang, C.; Yu, N.; Geng, B. Freeze-drying assisted biotemplated route to 3D mesoporous Na3V2(PO4)3@NC composites as cathodes with high performance for sodium-ion batteries. Chem. Commun. 2020, 56, 11961–11964. [Google Scholar] [CrossRef]
- Cao, X.; Pan, A.; Yin, B.; Fang, G.; Wang, Y.; Kong, X.; Zhu, T.; Zhou, J.; Cao, G.; Liang, S. Nanoflake-constructed porous Na3V2(PO4)3/C hierarchical microspheres as a bicontinuous cathode for sodium-ion batteries applications. Nano Energy 2019, 60, 312–323. [Google Scholar] [CrossRef]
- Xiong, H.; Sun, G.; Liu, Z.; Zhang, L.; Li, L.; Zhang, W.; Du, F.; Qiao, Z.A. Polymer Stabilized Droplet Templating towards Tunable Hierarchical Porosity in Single Crystalline Na3V2(PO4)3 for Enhanced Sodium-Ion Storage. Angew. Chem. Int. Ed. Engl. 2021, 60, 10334–10341. [Google Scholar] [CrossRef]
- Ma, P.; Kang, W.; Wang, Y.; Cao, D.; Sun, D. Phytic acid assisted synthesis of carbon-coated Na3V2(PO4)3 as a superior cathode material for sodium ion batteries. Mater. Today Commun. 2020, 22, 100855. [Google Scholar] [CrossRef]
- Zhu, Y.; Xu, E.; Zhang, J.; Quan, J.; Wang, H.; Sun, Z.; Jiang, Y. Fabrication of a Sandwiched Core Carbon Sphere@Na3V2(PO4)2O2F@N-Doped Carbon Cathode for Superior Sodium-Ion Batteries. ACS Appl. Energy Mater. 2021, 4, 3952–3961. [Google Scholar] [CrossRef]
- Zhao, L.; Wang, S.; Dong, Y.; Quan, W.; Han, F.; Huang, Y.; Li, Y.; Liu, X.; Li, M.; Zhang, Z.; et al. Coarse-grained reduced MoxTi1−xNb2O7+y anodes for high-rate lithium-ion batteries. Energy Storage Mater. 2021, 34, 574–581. [Google Scholar] [CrossRef]
- Wang, Q.; Gao, H.; Li, J.; Liu, G.B.; Jin, H. Importance of Crystallographic Sites on Sodium-Ion Extraction from NASICON-Structured Cathodes for Sodium-Ion Batteries. ACS Appl. Mater. Interfaces 2021, 13, 14312–14320. [Google Scholar] [CrossRef]
- Sadan, M.K.; Haridas, A.K.; Kim, H.; Kim, C.; Cho, G.B.; Cho, K.K.; Ahn, J.H.; Ahn, H.J. High power Na3V2(PO4)3 symmetric full cell for sodium-ion batteries. Nanoscale Adv. 2020, 2, 5166–5170. [Google Scholar] [CrossRef]
- Liu, X.; Li, M.; Yang, X.; Zeng, X.; Wang, H.; Jiang, H. Carbon encapsulation and chlorine doping enable Na3V2(PO4)3 superior sodium ion storage properties as cathode material for sodium ion battery. Powder Technol. 2020, 364, 70–77. [Google Scholar] [CrossRef]
- Wang, Y.; Zhao, K.; Wang, K.; Li, H.; Jiang, H.; Chen, L. N-doped carbon confined Na3V2(PO4)3 derived from an organophosphonic acid as a high-performance cathode for sodium-ion batteries. J. Alloys Compd. 2020, 844, 156118. [Google Scholar] [CrossRef]
- Zhao, L.; Zhao, H.; Du, Z.; Wang, J.; Long, X.; Li, Z.; Świerczek, K. Delicate lattice modulation enables superior Na storage performance of Na3V2(PO4)3 as both an anode and cathode material for sodium-ion batteries: Understanding the role of calcium substitution for vanadium. J. Mater. Chem. A 2019, 7, 9807–9814. [Google Scholar] [CrossRef]
- Liu, X.; Zhao, L.; Wang, S.; Chao, M.; Li, Y.; Leng, J.; Zhang, J.; Tang, Z. Hierarchical-structure anatase TiO2 with conductive network for high-rate and high-loading lithium-ion battery. Sci. Bull. 2019, 64, 1148–1151. [Google Scholar] [CrossRef] [PubMed]
- Simon, P.; Gogotsi, Y.; Dunn, B. Materials science. Where do batteries end and supercapacitors begin? Science 2014, 343, 1210–1211. [Google Scholar] [CrossRef]
- Wang, S.; Quan, W.; Zhu, Z.; Yang, Y.; Liu, Q.; Ren, Y.; Zhang, X.; Xu, R.; Hong, Y.; Zhang, Z.; et al. Lithium titanate hydrates with superfast and stable cycling in lithium ion batteries. Nat. Commun. 2017, 8, 627. [Google Scholar] [CrossRef]
- Yoon, M.; Dong, Y.; Yoo, Y.; Myeong, S.; Hwang, J.; Kim, J.; Choi, S.H.; Sung, J.; Kang, S.J.; Li, J.; et al. Unveiling Nickel Chemistry in Stabilizing High-Voltage Cobalt-Rich Cathodes for Lithium-Ion Batteries. Adv. Funct. Mater. 2019, 30, 1907903. [Google Scholar] [CrossRef]
- Fu, A.; Lin, J.; Zhang, Z.; Xu, C.; Zou, Y.; Liu, C.; Yan, P.; Wu, D.-Y.; Yang, Y.; Zheng, J. Synergistical Stabilization of Li Metal Anodes and LiCoO2 Cathodes in High-Voltage Li||LiCoO2 Batteries by Potassium Selenocyanate (KSeCN) Additive. ACS Energy Lett. 2022, 7, 1364–1373. [Google Scholar] [CrossRef]




Disclaimer/Publisher’s Note: The statements, opinions and data contained in all publications are solely those of the individual author(s) and contributor(s) and not of MDPI and/or the editor(s). MDPI and/or the editor(s) disclaim responsibility for any injury to people or property resulting from any ideas, methods, instructions or products referred to in the content. |
© 2023 by the authors. Licensee MDPI, Basel, Switzerland. This article is an open access article distributed under the terms and conditions of the Creative Commons Attribution (CC BY) license (https://creativecommons.org/licenses/by/4.0/).
Share and Cite
Zhao, L.; Liu, X.; Li, J.; Diao, X.; Zhang, J. One–Step Synthesis of Three–Dimensional Na3V2(PO4)3/Carbon Frameworks as Promising Sodium–Ion Battery Cathode. Nanomaterials 2023, 13, 446. https://doi.org/10.3390/nano13030446
Zhao L, Liu X, Li J, Diao X, Zhang J. One–Step Synthesis of Three–Dimensional Na3V2(PO4)3/Carbon Frameworks as Promising Sodium–Ion Battery Cathode. Nanomaterials. 2023; 13(3):446. https://doi.org/10.3390/nano13030446
Chicago/Turabian StyleZhao, Lijiang, Xinghua Liu, Jinsong Li, Xungang Diao, and Junying Zhang. 2023. "One–Step Synthesis of Three–Dimensional Na3V2(PO4)3/Carbon Frameworks as Promising Sodium–Ion Battery Cathode" Nanomaterials 13, no. 3: 446. https://doi.org/10.3390/nano13030446
APA StyleZhao, L., Liu, X., Li, J., Diao, X., & Zhang, J. (2023). One–Step Synthesis of Three–Dimensional Na3V2(PO4)3/Carbon Frameworks as Promising Sodium–Ion Battery Cathode. Nanomaterials, 13(3), 446. https://doi.org/10.3390/nano13030446

