A 37–40 GHz 6-Bits Switched-Filter Phase Shifter Using 150 nm GaN HEMT
Abstract
:1. Introduction
2. Design of 6-Bits Switched-Type Phase Shifter
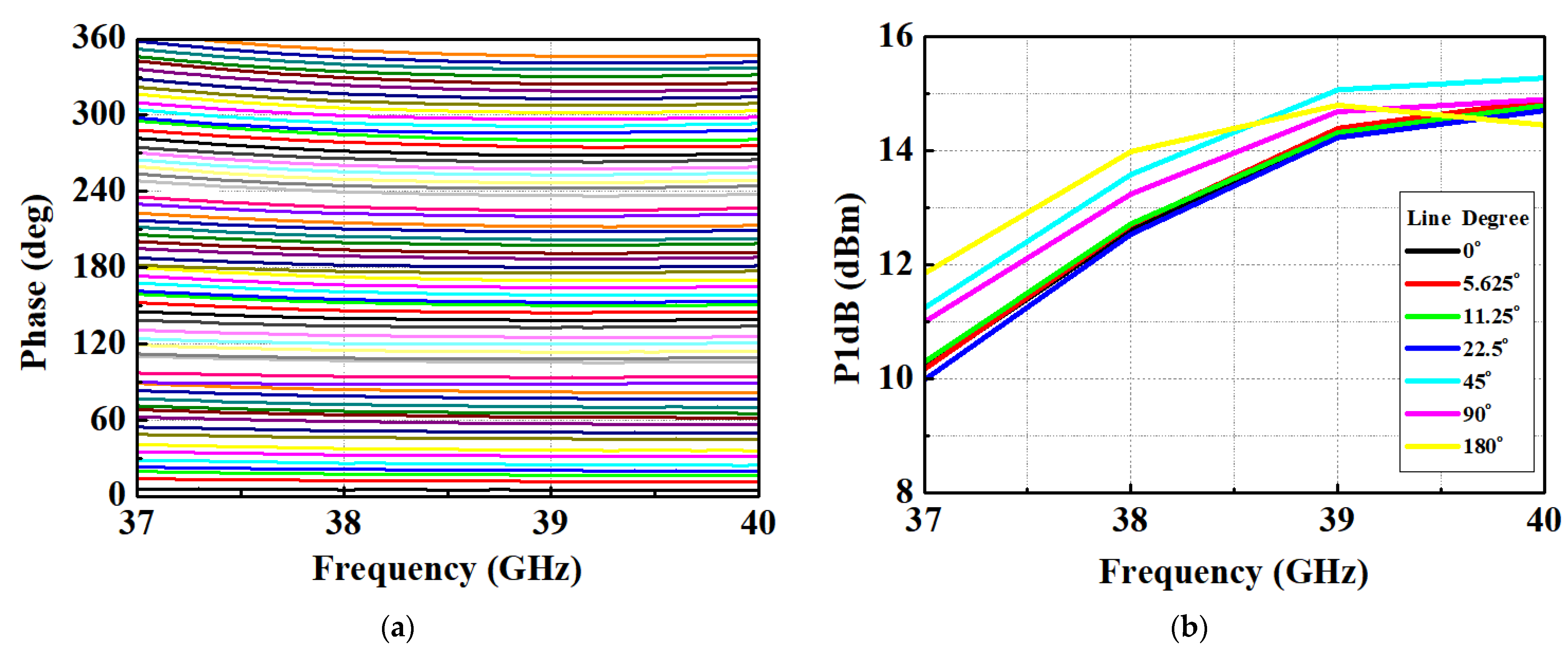
3. Fabrication and Measurement
4. Conclusions
Author Contributions
Funding
Data Availability Statement
Acknowledgments
Conflicts of Interest
References
- Lee, J.H.; Park, J.S.; Hong, S.C. Frequency Reconfigurable Dual Band CMOS Power Amplifier for Millimeter Wave 5G Communications. In Proceedings of the IEEE MTT-S International Microwave Symposium (IMS), Atlanta, GA, USA, 7–25 June 2021. [Google Scholar]
- Wang, F.; Wang, H. An Instantaneously Broadband Ultra-Compact Highly Linear PA with Compensated Distributed-Balun Output Network Achieving > 17.8 dBm P1dB and >36.6% PAEP1dB over 24 to 40 GHz and Contunuously Supporting 64-256-QAM 5G NR Signals over 24 to 42 GHz. In Proceedings of the 2020 IEEE International Solid-State Circuits Conference—(ISSCC), San Francisco, CA, USA, 16–20 February 2020. [Google Scholar]
- Asbeck, P.; Bharadia, D.; Galton, I.; Hall, D.; Le, H.P.; Mercier, P.; Rebeiz, G. Integrated Circuits for Wireless Communications: Research Activities at the University of California, San Diego. In IEEE Microwave Magazine; IEEE: Piscataway, NJ, USA, 2023; Volume 24, pp. 30–44. [Google Scholar]
- Anjos, E.V.P.; Schreurs, D.M.M.P.; Vandenbosch, G.A.E.; Geurts, M. A Compact 26.5-29.5-GHz LNA-Phase Shifter Combo with 360° Continuous Phase Tuning Based on All-Pass Networks for Millimeter-Wave 5G. IEEE Trans. Circuits Syst. I 2021, 68, 3927–3940. [Google Scholar] [CrossRef]
- Li, Y.; Duan, Z.; Fang, Y.; Li, X.; Deng, B.; Dai, Y.; Sun, L.; Gao, H. A 32-40 GHz 7-bit Bi-Directional Phase Shifter with 0.36 dB/1.6° RMS Magnitude/Phase Errors for Phased Array Systems. IEEE Trans. Circuits Syst. I 2022, 69, 4000–4013. [Google Scholar] [CrossRef]
- Sellers, A.J.; Tine, C.; Kini, R.L.; Hontz, M.R.; Khanna, R.; Lemmon, A.N.; Shahabi, A.; New, C. Effects of parasitic inductance on performance of 600-V GaN devices. In Proceedings of the 2017 IEEE Electric Ship Technologies Symposium (ESTS), Arlington, VA, USA, 14–17 August 2017. [Google Scholar]
- Pace, L.; Idir, N.; Thierry, D.; Jaeger, J.C.D. Parasitic Loop Inductances Reduction in the PCB Layout in GaN-Based Power Converters Using S-Parameters and EM Simulations. Energies 2021, 14, 1495. [Google Scholar] [CrossRef]
- Pour, F.L.; Reed, R.T.; Ha, D.S. Design and performance Investigation of a Temperature Compensated Transmitter with GaN HEMTs for Phased-Array Applications. IEEE Trans. Microw. Theory Tech. 2022, 70, 3640–3651. [Google Scholar] [CrossRef]
- Ross, T.N.; Hettak, K.; Cormier, G.; Wight, J.S. Design of X-Band GaN Phase Shifters. IEEE Trans. Microw. Theory Tech. 2015, 63, 244–255. [Google Scholar] [CrossRef]
- He, E.T.; Zhang, Z.H.; Xu, S. A GaN HEMT 6-Bit Digital Phase Shifter for Millimeter Wave Phased Array System. In Proceedings of the 2022 IEEE MTT-S International Microwave Workshop Series on Advanced Materials and Processes for RF and THz Applications (IMWS-AMP), Guangzhou, China, 27–29 November 2022. [Google Scholar]
- Anjos, E.V.P.; Schreurs, D.M.M.P.; Vandenbosch, G.A.E.; Geurts, M. A 15–43.5 GHz Swiched-Bit Phase Shifter for 5G Mobile Handsets. In Proceedings of the 2019 IEEE Asia-Pacific Microwave Conference (APMC), Singapore, 10–13 December 2019. [Google Scholar]
- Yang, M.S.; Lin, Y.T.; Kao, K.Y.; Lin, K.Y. A Compact E-Mode GaAs pHEMT Phase Shifter MMIC for 5G Phased-Array Systems. In Proceedings of the IEEE Asia-Pacific Microwave Conference, Singapore, 10–13 December 2019. [Google Scholar]
- Tsai, J.H.; Lin, K.J.; Xiao, H. A 39 GHz 5-Bit Switch Type Phase Shifter using 65 nm CMOS Technology. In Proceedings of the 2019 IEEE 8th Global Conference on Consumer Electronics (GCCE), Osaka, Japan, 15–18 October 2019. [Google Scholar]
- Jung, M.; Min, B.W. A compact Ka-band 4-bit phase shifter with low group delay deviation. IEEE Microw. Wirel. Compon. Lett. 2020, 30, 414–416. [Google Scholar] [CrossRef]
- Lin, Y.H.; Tsai, Z.M. A Wideband Compact 5-Bit Phase Shifter with Low Loss and RMS Errors for 5G Applications. IEEE Microw. Wirel. Compon. Lett. 2021, 31, 1134–1137. [Google Scholar] [CrossRef]
- Meng, F.; Ma, K.; Yeo, K.S.; Xu, S. A 57-to-64-GHz 0.094-mm² 5-bit passive phase shifter in 65-nm CMOS. IEEE Trans. Very Large Scale Integr. (VLSI) Syst. 2016, 24, 1917–1925. [Google Scholar] [CrossRef]
- Xia, J.; Farouk, M.; Boumaiza, S. Digitally-assisted 27-33 GHz reflection-type phase shifter with enhanced accuracy and low IL-variation. In Proceedings of the 2019 IEEE Radio Frequency Integrated Circuits Symposium (RFIC), Boston, MA, USA, 2–4 June 2019. [Google Scholar]
- Kadam, M.; Kumar, A.; Aniruddhan, S. A 28 GHz reflective-type transmission-line-based phase shifter. IEEE Trans. Circuits Syst. I. 2020, 67, 4641–4650. [Google Scholar] [CrossRef]
- Bardeh, M.G.; Fu, J.; Naseh, N.; Paramesh, J.; Entesari, K. A Wideband Low RMS Phase/Gain Error mm-Wave Phase Shifter in 22-nm CMOS FDSOI. IEEE Microw. Wireless Technol. Lett. 2023, 33, 739–742. [Google Scholar] [CrossRef]
- Wang, S.; Park, J.; Hong, S. A K-bnad variable-gain phase shifter based on Gilbert-cell vector synthesizer with RC-RL poly-phase filter. IEEE Microw. Wirel. Compon. Lett. 2021, 31, 393–396. [Google Scholar] [CrossRef]
- Park, J.; Jeong, G.; Hong, S. A Ka-band variable-gain phase shifter with multiple vector generators. IEEE Trans. Circuits Syst. II Exp. Briefs. 2020, 68, 1798–1802. [Google Scholar] [CrossRef]
- Kodak, U.; Rebeiz, G.M. A 5G 28-GHz common-leg T/R front-end in 45-nm CMOS SOI with 3.7-dB NF and -30-dBc EVM with 64-QAM/500-MBaud modulation. IEEE Trans. Microw. Theory Tech. 2019, 67, 318–331. [Google Scholar] [CrossRef]
- Eblabla, A.; Li, X.; Wallis, D.J.; Guiney, I.; Elgaid, K. High-Performance MMIC Inductors for GaN-on-Low-Resistivity Silicon for Microwave Applications. IEEE Microw. Wirel. Compon. Lett. 2018, 28, 99–101. [Google Scholar] [CrossRef]
- Chander, S.; Bansal, K.; Gupta, S.; Gupta, M. Design and Analysis of High Performance Air-Bridge spiral circular inductors for GaN MMICs up to Ku Band. In Proceedings of the 2017 Devices for Integrated Circuit (DevIC), Kalyani, India, 23–24 March 2017. [Google Scholar]
- Burghartz, J.N.; Edelstein, D.C.; Soyuer, M.; Ainspan, H.A.; Jenkins, K.A. RF Circuit Design Aspects of Spiral Inductors on Silicon. IEEE J. Silid-State Circuits 1998, 33, 2028–2033. [Google Scholar] [CrossRef]
- Lee, H.S.; Min, B.W. W-Band CMOS 4-bit Phase Shifter for High Power and Phase Compression points. IEEE Trans. Circuits Syst. II Exp. Briefs 2015, 62, 1–5. [Google Scholar] [CrossRef]







| This Work | [11] | [12] | [13] | [14] | [15] | [5] | [19] | |
|---|---|---|---|---|---|---|---|---|
| Process | 150 nm GaN | 250 nm BiCMOS | 150 nm GaAs | 65 nm CMOS | 28 nm CMOS | 65 nm CMOS | 65 nm CMOS | 22 nm FD SOI |
| Topology *** | STPS | APN | STPS | STPS | STPS | STPS | PVSPS | AVSPS |
| Frequency (GHz) | 37~40 | 37~43 | 36~39 | 38~40.5 | 29~37 | 35~41.9 | 32~40 | 24~36 |
| FBW (%) | 7.8 | 15 | 8 | 6.4 | 24 | 17.95 | 22 | 40 |
| No. of Bit | 6 | 2 | 4 | 5 | 4 | 5 | 7 | 5 |
| Resolution (°) | 5.625 | 45 | 22.5 | 11.25 | 22.5 | 11.25 | ||
| Gain (dB) | −10.5 | −13.25 | −10.6 | −14.5 | −12.8 | −7.56 | −17.5 | −6.6 |
| Gain var. (dB) | ±5.5 | ±0.75 | ±2.9 | ±2 | ±2.5 | ±0.22 | ±0.6 | ±1.6 |
| Gain/Bit (dB) | −1.75 | −6.63 | −2.65 | −2.9 | 3.2 | −1.5 | −2.5 | −1.32 |
| IP1dB (dBm) | >10–16 ** | N/A | N/A | N/A | 5 | >7.1 | 10.2–13.5 | <4 |
| RMS PE (°) | <5.36 | <5 | <9.7 | <4 | <8.8 | <5.9 | <1.6 | <4 |
| RMS GE (dB) | <3.21 | <0.5 | <1.81 | <1.4 | N/A | <0.22 | <0.36 | <0.6 |
| Pdc (mW) | 0 | 0 | 0 | 0 | 0 | 0 | 0 | 7.2 |
| Area (mm2) | 3.36 * | 0.28 | 0.65 | 0.4 | 0.08 | 0.13 | 0.14 | 0.58 |
Disclaimer/Publisher’s Note: The statements, opinions and data contained in all publications are solely those of the individual author(s) and contributor(s) and not of MDPI and/or the editor(s). MDPI and/or the editor(s) disclaim responsibility for any injury to people or property resulting from any ideas, methods, instructions or products referred to in the content. |
© 2023 by the authors. Licensee MDPI, Basel, Switzerland. This article is an open access article distributed under the terms and conditions of the Creative Commons Attribution (CC BY) license (https://creativecommons.org/licenses/by/4.0/).
Share and Cite
Song, J.-H.; Lee, E.-G.; Lee, J.-E.; Son, J.-T.; Kim, J.-H.; Baek, M.-S.; Kim, C.-Y. A 37–40 GHz 6-Bits Switched-Filter Phase Shifter Using 150 nm GaN HEMT. Nanomaterials 2023, 13, 2752. https://doi.org/10.3390/nano13202752
Song J-H, Lee E-G, Lee J-E, Son J-T, Kim J-H, Baek M-S, Kim C-Y. A 37–40 GHz 6-Bits Switched-Filter Phase Shifter Using 150 nm GaN HEMT. Nanomaterials. 2023; 13(20):2752. https://doi.org/10.3390/nano13202752
Chicago/Turabian StyleSong, Jae-Hyeok, Eun-Gyu Lee, Jae-Eun Lee, Jeong-Taek Son, Joon-Hyung Kim, Min-Seok Baek, and Choul-Young Kim. 2023. "A 37–40 GHz 6-Bits Switched-Filter Phase Shifter Using 150 nm GaN HEMT" Nanomaterials 13, no. 20: 2752. https://doi.org/10.3390/nano13202752
APA StyleSong, J.-H., Lee, E.-G., Lee, J.-E., Son, J.-T., Kim, J.-H., Baek, M.-S., & Kim, C.-Y. (2023). A 37–40 GHz 6-Bits Switched-Filter Phase Shifter Using 150 nm GaN HEMT. Nanomaterials, 13(20), 2752. https://doi.org/10.3390/nano13202752

